假辣蓼

概况

异名:水红花子(内蒙古、山东药材名),大马蓼(《常用中药彩色图谱》)。

基源:为蓼科蓼属植物酸模叶蓼及其变种柳叶蓼的全草及果实。

原植物:酸模叶蓼Polygonum lapathifolium L.(P.scabrum Moench; P.nodosum Pers.)及柳叶蓼Polygonum lapathifolium L.var.salicifolium Sibth.

形态:一年生直立草本。茎高20~120cm,圆柱形,表面常有红紫色斑点,节部常膨大,分枝或不分枝。叶互生;叶片披针形,长3~20cm,宽0.5~5cm,先端急尖或渐尖,基部楔形,两面无毛或上面疏被短伏毛并有暗色斑块,下面有腺点,边缘及中脉常有伏贴硬糙毛,侧脉显著,7~30对;叶柄长0.2~1.5cm,被粗伏毛;托叶鞘膜质,筒状,长0.7~2cm,顶端截形,偶有短缘毛。穗状花序密花,长1.5~10cm,直立或点头,常分枝;总花梗常被腺点,苞片斜漏斗形,内有数花;花被粉红色或绿白色,通常4裂,长2~2.5mm,外轮2片,具脉纹,有黄色腺点,果时各具3条凸起脉纹,脉纹成钩状分枝;雄蕊6枚;花柱2,基部稍合生,上部向外弯曲。瘦果扁平,圆卵形,长2~3mm,黑褐色,有光泽,外包宿存花被。花果期4~11月。(图见《中国高等植物图鉴》.第1册.558页.图1116)

生境与分布:生于旷野荒田、路旁、水田中及沟旁,有时可生沼泽及浅水中。分布于中国南北各地。印度、菲律宾、朝鲜、日本、西伯利亚及欧洲也有。

柳叶蓼与大马蓼的主要区别在于幼茎、总花梗及叶片下面被白色绵毛。花期5~7月。(图见《中药志》.第3册.第2版.282页图180)生于山谷、溪边、田边或水湿田及小河中。分布于中国南北各地。西伯利亚、日本、印度也有。

生药

采集:夏、秋季采收,晒干或鲜用。

化学性质

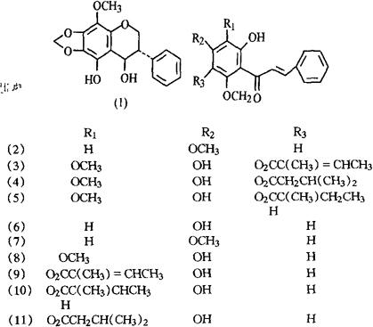
从地上部分分得三个查耳酮化合物[1]山柰酚、槲皮素和14个黄酮甙,鉴定了6个,分别为:槲皮素3-O-β-D吡喃葡萄糖甙、槲皮素3-OβD-吡喃半乳糖甙、槲皮素3-O-β-D-葡萄糖甙-2″-棓酸酯、槲皮素3-O-α-L呋喃阿拉伯糖甙、山柰酚3-O-β-D-吡喃半乳糖甙、山柰酚3-O-β-D-葡萄糖甙-2″-棓酸酯[2]。从开花时的地上部分得5个新化合物:酸模蓼醇(Lapathinol)(1)、酸模蓼酮(Lapathone)(2)、当归酸模蓼酮(Angelafolone)(3)、戊酸模蓼酮(Valafolone)(4)、甲酸模蓼酮(Melafolone)(5)及六个(6~11)已知查耳酮化合物[3]

参考文献

[1] CA 1988;109∶167276a。
[2] CA 1987;106∶81533h。
[3] Phytochemistry 1990;29(6)∶2009。

药性

性味:辛、辣,温。

功效:消肿止痛。

主治:《陆川本草》:“腹痛肿疡。”

用法用量:内服:煎汤,3~10g。外用:捣敷。

临床应用

单方应用:《全国中草药汇编》:“本品为水红花同属植物,其子入药,功用相同。”