仙茅

概况

异名:独茅(《开宝本草》),独脚仙茅(广东、广西),千年棕、独脚仙茅(江西、湖南),地棕(湖南、广东、四川),小棕苞、假虫草(云南)。

基源:为石蒜科仙茅属植物仙茅的干燥根状茎。仙茅属全世界10余种,分布于热带地区,中国约7种。仙茅、大叶仙茅为药用植物

原植物:仙茅Curculigo orchioides Gaertn.,又名仙茅参、山棕皮、尖刀草(云南)。

历史:仙茅始载于《雷公炮炙论》。《海药本草》谓仙茅“其叶似茅,久服轻身,故名。”《开宝本草》云:“又名独茅,婆罗门参。”《图经本草》谓:“仙茅生西域……,今大庚岭、蜀川、江湖两浙诸州亦有之,叶青如茅而软,腹略宽,而有纵纹,又似初生棕榈,秧高尺许,至冬尽枯,春初乃生,3月有花如栀子,花黄色,不结实,其根独茎而直,大如小指,下有短细肉根相附,外皮稍粗,褐色,内肉黄白色,二月八月采根曝干。”以上描述与本种相符。本品为少常用中药。药材主产四川。此外广西、云南、贵州、广东各地亦产。行销中国各地。

形态:多年生草本,高10~40cm,根状茎向下直生,圆柱形,长可达30cm,粗约1cm,肉质,外皮褐色;须根常丛生,两端细,中间粗,长可达6cm,肉质,具环状横纹。地上茎不明显。叶基生,3~6枚,披针形,长10~30cm,宽0.1~2.5cm,顶端渐尖;基部下延成柄,柄基部扩大成鞘状;叶脉明显,两面疏生长柔毛,后渐光滑。花葶极短,隐藏于叶鞘内;苞片披针形,膜质,具缘毛;花黄色;直径约1cm,下部花筒线形,长约25cm,上部6裂,裂片披针形,被长柔毛;雄蕊6枚,子房下位,花柱细长,柱头棒状,浆果长矩圆形,稍肉质,长约1.2cm,顶端宿存有细长的花被筒。呈喙状。种子稍呈球形,亮黑色,有喙,表面有波状沟纹。花果期4~9月。(图见《中药志》.第2册.318页.图242)

生境与分布:生于海拔1600m以下的林中、草地或荒坡上。分布于浙江、福建、江西、台湾、湖南、湖北、广东、广西、四川、贵州、云南。

生药

栽培:适于温暖环境,能稍耐荫蔽和干旱,宜在深厚、疏松肥沃、排水良好的砂质壤土栽种。用种子繁殖,育苗移栽,在3~4月播种,按行距24~30cm开沟,深4cm,将种子拌入草木灰或细土后播下,播后覆薄土,每亩用种子量2~2.5kg,幼苗出土后结合松土除草,用人畜粪水追肥,培育2年后即可移栽,亦可将根茎折成2cm长的短节繁殖,培育1~2年后移栽。移栽可在秋末或早春进行,按行株距各23~27cm穴栽,深10cm左右每穴栽苗2~3株,栽后覆土压紧。生长中注意中耕除草,追肥2次。

采集:2~4月发芽前或7~9月苗枯萎时挖取根茎,洗净,除去须根和根头,晒干。或蒸后晒干。

鉴别

性状:根茎圆柱形,略弯曲,长3~10cm直径3~8mm表面棕褐色或黑褐色,粗糙,有纵沟及横皱纹与细孔状的粗根痕。质硬脆,易折断,断面平坦,略呈角质状,淡褐色或棕褐色,近中心处色较深,并有一深色环。气微苦辛。以条粗、表面黑褐色者为佳。

显微 根茎(直径0.8cm)的横切面:木栓层为4~7列木栓细胞。皮层宽广,有少数根迹维管束;内皮层明显。中柱维管束散列,中柱鞘处排列较密;维管束周木型或外韧型。基本组织中散有粘液细胞,类圆形,直径84~168μm,内含草酸钙针晶束,长约84μm,薄壁细胞内充满淀粉粒。(图见《中药志》.第2册.第2版.图243)

理化:取样品粉末5g,加乙醚10ml,室温浸泡24小时,滤过,滤液浓缩至小体积,点于硅胶G板上,以甲苯-乙酸乙酯-甲酸(6∶3∶1)为展开剂,展距12cm置荧光灯(365nm)下检视。(图见《中药材薄层色谱鉴别》.图166)

加工炮制:常用炮制方法有切制和酒制。 ①切制 取原药材,除去杂质,洗净,稍润,切段,干燥。 ②酒制 取净仙茅,喷淋黄酒拌匀,稍闷后,置锅内,用文火加热,炒干,取出放凉。每仙茅100kg,用黄酒10kg。此外,尚有米制、泔制等。

贮藏:置通风干燥处,防潮,防蛀。

化学性质

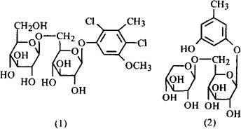
含酚甙类成分有:5,7-二甲氧双氢杨梅素3-O-α-L-吡喃木糖基-4-Oβ-D吡喃葡萄糖甙(5,7-Dimethoxy-dihydromyricetin-3-O-α-L-xylopyranoy-4-O-β-D-glucopyranoside)、5-羟基-2-O-β-D-吡喃葡萄糖苯甲酰、2’,6’二甲氧基-苯甲酸酯、仙茅甙(Curculigoside)、苔黑酚葡萄糖甙(Orcinol glucoside)、2,4-二氯-3-甲基-5-甲氧基苯酚-β-D-吡喃葡萄糖基(1→6)-β-D-吡喃葡萄糖甙,即仙茅素A(Curculigine A)(1)、地衣酚-3-β-D-吡喃木糖(1→6)-吡喃葡萄糖(Corchioside A)(2)[1~5]

其它成分有:丝兰皂甙(Yuccagenin)和石蒜碱(Lyconne)二种生物碱,3甲氧基-5-乙酰基-31-三十三烷烯、21-羟基四十烷-20-酮、4-甲基十七烷酸、4-乙酰基3-甲氧基-5-甲基三十烷、4-羟基三十烷-25-酮、8-羟基三十烷-29-酮、N-乙酰基-N-羟基甲酸甲酯、3-乙酰基5-甲酯基-2H-3,4,5,6-四氢-l,2,3-5,6,-氧杂连四氮苯、N,N,N’,N’-四甲基琥珀酰胺、三十一醇、β-谷甾醇、豆甾醇、环木菠罗烷醇、蔗糖。此外,还含鞣质4%、树脂、甘露糖、葡萄糖[6~13]

参考文献

[1] CA 1976;85:43707h。
[2] CA 1984;100:56826z。
[3] 中草药 1986;17(6):8。
[4] 中草药 1987;18(5):2。
[5] CA 1989;111∶130757y。
[6] CA 1978;89∶160126m。
[7] CA 1982;97:141652d。
[8] CA 1985;102:42854m。
[9] CA 1983;99:50270c。
[10] CA 1985;102:42834e。
[11] CA 1989;110:132190m。
[12] 中药大辞典.上册.上海人民出版社,1977:1364。
[13] 全国中草药汇编.上册.人民卫生出版社,1976:275。

药理

①耐缺氧、耐高温 仙茅醇浸剂ig或ip可显著延长小鼠在缺氧或高温环境中的存活时间,说明仙茅有耐缺氧、耐高温等适应原样作用[1]。 ②镇静、抗惊厥 仙茅醇浸剂[1]和石蒜碱[2]可显著延长戊巴化妥钠的催眠时间。仙茅醇浸液可显著延长印防己毒素所致小鼠惊厥的潜伏期[1]。 ③抗炎 仙茅醇浸剂可显著抑制巴豆油所致小鼠耳郭肿胀度[1]。 ④免疫促进作用 仙茅醇浸剂及仙茅甙可大幅度提高巨噬细胞的增生能力和吞噬功能[1,3]。仙茅醇浸剂虽不能提高正常小鼠T淋巴细胞百分率,但对环磷酰胺所致免疫功能受抑制小鼠的T淋巴细胞降低有明显的升高作用[1]。仙茅水提液可促进抗体生成并延长其功效[2]。 ⑤雄激素样作用 切除睾丸的雄性大鼠给仙茅醇浸剂ig,连续21d,可使大鼠精囊腺重量显著增加[1]。仙茅煎剂给大鼠ig,5d可使垂体前叶重量、卵巢重量、子宫重量都明显增加。卵巢HCG/LH受体特异性结合力增加,血浆LH无变化[2]。 ⑥抗菌、抗癌作用 平板挖沟法表明,仙茅煎剂对史氏、福氏、宋氏痢疾杆菌有抑制作用[4]。仙茅丙酮提取物对艾氏腹水癌实体型有抑制作用[5]。 ⑦其它 仙茅水提液可扩张冠脉、强心、加快心率[2]

毒性:仙茅毒性很低,醇浸剂给小鼠1次ig 150g生药/kg,7d内未见死亡[1]

参考文献

[1] 中国中药杂志 1989;14(10):42。
[2] 抗衰老中药学.中医古籍出版,1989:119。
[3] Planta Med 1983;47(1):52。
[4] 药学通报 1960;8:(2)59。
[5] 药学杂志(日) 1964;84:373。

药性

性味:辛,温。有小毒。 ①《海药本草》:“甘,微温,有小毒。” ②《开宝本草》:“辛,温,有毒。” ③《滇南本草》:“辛、微咸,温”。 ④《纲目》:“热。”

归经:入肾、肝经。 ①《滇南本草》:“入肾、肝二经。” ②《本草求真》:“专入命门。” ③《本草再新》:“入肝、肾二经。”

功效:温肾阳,壮筋骨。

主治:阳痿精冷,小便失禁,崩漏,心腹冷痛,腰脚冷痹,痈疽,瘰疬。 ①《海药本草》:“主风,补暖腰脚,清安五脏,强筋骨,消食。宣而复补,主丈夫七伤,明耳目,益筋力,填骨髓,益阳。” ②《日华子本草》:“治一切风气,补五劳七伤,开胃下气。” ③《开宝本草》:“主心腹冷气不能食,腰脚风冷挛痹不能行,丈夫虚劳,老人失溺。” ④《滇南本草》:“治妇人红崩下血,攻痈疽,排脓。” ⑤《生草药性备要》:“补肾,止痛,治白浊,理痰火,煲肉食。十蒸九晒,用沙糖藏好,早晨茶送,能壮精神,乌须发。” ⑥《玉楸药解》:“治皮肤风癞。”

用法用量:内服:煎汤,7.5~15g;或入丸、散。外用:捣敷。

使用注意:凡阴虚火旺者忌服。 ①《雷公炮炙论》:“易犯铁,斑人须鬓。” ②《本草经疏》:“凡一概阴虚发热,咳嗽、吐血、衄血、齿血、溺血、血淋,遗精白浊,梦交,肾虚腰痛,脚膝无力,虚火上炎,口干咽痛,失志阴瘘,水涸精竭,不能孕育,老人孤阳无阴,遗溺失精,血虚不能养筋,以致偏枯痿痹,胃家邪热不能杀谷,胃家虚火嘈杂易饥,三消五疸,阴虚内热外寒,阳厥火极似水等证,法并禁用。”

临床应用

配伍应用:①配淫羊藿、菟丝子,治阳痿,精冷,小便频数,遗尿。 ②配杜仲、桑寄生,治腰膝冷痛,四肢无力。 ③配巴戟天、独活,治寒湿痹痛,拘挛。 ④配淫羊藿,治妇女更年期高血压。 ⑤配女贞子、枸杞子,治头昏耳鸣。 ⑥配夜交藤、合欢皮,治失眠。 ⑦配蔓荆子,治头痛。

方选和验方: ①仙茅丸(《圣济总录》)壮筋骨,益精神,明目:仙茅1000g(糯米泔浸5日,去赤水,夏月浸3日,铜刀刮锉,阴干,取500g),苍术1000g(米泔浸5日,刮皮,焙干,取1000g),枸杞子1000g,车前子360g,白茯苓(去皮)、茴香(炒)、柏子仁(去壳)各240g,生地黄(焙)、熟地黄(焙)各120g。为末,酒煮糊丸,如梧子大。每服50丸,食前温酒下,日2服。 ②神秘散(《三因方》)定喘,补心肾,下气:白仙茅15g(米泔浸3宿,晒干,炒),团参0.4g,阿胶38g(炒),鸡内金45g。上为末,每服6g,糯米饮调,空腹服。 ③二仙汤(《中医研究工作资料汇编》)治冲任不调症状的高血压病:仙茅、仙灵脾、巴戟、知母、黄柏、当归。6味等份,煎成浓缩液。口服2次,每次15~30g。 ④《全国中草药汇编》:“治血清胆固醇过高症:仙茅,徐长卿、五指毛桃、何首乌各15g,楤木9g。水煎,2次分服,每日1剂。” ⑤《全国中草药汇编》:“治硬皮病:仙茅、淫羊藿、桂枝、红花、芍药各9g,川芎12g,生、熟地各3g,炙甘草3g。煎服,每日1剂。” ⑥《全国中草药汇编》:“治阳瘘:仙茅6g,淫羊藿15g,枸杞子、菟丝子各9g。水煎服。” ⑦《滇南本草》:“治妇人红崩下血,已成漏症:仙茅10g,研末,取全当归、蛇果草各等分,以2味汤,点水酒将仙茅末送下。” ⑧江西《草药手册》:“治休克:仙茅9g,鹅不食草3g,卷柏6g。水煎服。” ⑨江西《草药手册》:“治毒蛇咬伤:1)仙茅根茎18g,生甘草6g。研末内服,或以水煎服,日服1剂,重症日服3次。2)仙茅根茎12g,半边莲24g。研末,水煎服汁,药渣外敷,轻症1日1剂,分2次服,重症1日2剂,对全身出血,肌肤有瘀斑者尤宜。”

单方应用:①江西《草药手册》:“治滑精、白浊:仙茅15g,莲心6g。水煎服。” ②《贵州草药》:“治老年遗尿:仙茅30g。泡酒服。” ③《福建药物志》:“治小儿疳积:仙茅、淡菜各15g。水炖服。” ④《浙江单方验方》:“治蜈蚣咬伤:仙茅15g。水煎服,日服1剂,连服3~5剂。”

食疗:①仙茅炖肉(《华夏药膳保健顾问》)治肾虚阳痿,耳鸣:仙茅、金樱子各15g。洗净捣碎布包,与肉同炖1~2小时,吃肉喝汤。 ②江西《草药手册》:“治肾虚腰痛:仙茅6g,遥逍竹9g,猪肾2个。加水共炖,食汤和猪肾。” ③江西《草药手册》:“治风湿冷痛:鲜仙茅,苡米各45g,木瓜30g,桂枝9g。水煎汁,冲鸡蛋2个服。” ④江西《草药手册》:“治风冷牙痛:仙茅9~15g,鸡蛋2个。共煮服。”

医药家论述

①李时珍《纲目》:“仙茅,性热。补三焦、命门之药也。惟阳弱精寒,禀赋素怯者宜之。若体壮相火炽盛者,服之反能动火。” ②张德裕《本草正义》:“仙茅是补阳温肾之专药,亦兼能祛除寒痹,与巴戟天、仙灵脾相类而猛烈又过之,惟禀性阴寒者,可以为回阳之用,而必不可以为补益之品。”

参考文章