药材名称:芫花
名称出处:《本经》
概况异名:头疼花(《纲目》),闷头花(陕西),野丁香花(山东),老鼠花(江苏、江西、陕西),金腰带(《植物名实图考》)。
基源:为瑞香科瑞香属植物芫花的花。
原植物:芫花Daphne genkwa Sieb.et Zucc.,又名大救驾(湖南)。历史 芫花始载于《本经》。历代本草均有收载。《纲目》引苏颂注《图经本草》云:“生淮源山谷,在处有之。宿根旧枝,茎紫,长一、二寸,根入土深三、五寸,白色似榆根。春生苗叶,小而尖,似杨柳枝叶,二月开紫花,颇似紫荆而作穗,又似藤花而细。”所述及附图即本种。
形态:落叶灌木,高30~100cm;根多分枝,富含纤维;幼枝密被淡黄色绢状毛,老枝无毛。单叶对生,偶互生,纸质,椭圆形、长圆形至卵状披针形,长3~5cm,宽1~2cm,幼叶下面密被淡黄色绢状毛,老叶除下面中脉微被绢状毛外其余部分无毛。花先叶开放,淡紫色或淡紫红色,3~6朵成簇腋生;花被筒状,长约15mm,外被绢状毛,裂片4,卵形,长5mm,顶端圆形;雄蕊8,2轮,分别着生于花被筒中部及上部;花盘环状;子房卵状,长2mm,密被淡黄色柔毛。核果白色。花期3~5月,果期6~7月。(图见《中国高等植物图鉴》.第2册.950页.图3630)
生境与分布:生于路旁及山坡林下。分布于河北、陕西、江苏、浙江、安徽、江西、福建、台湾、河南、湖北、湖南、云南、贵州、四川。
生药栽培:宜温暖湿润气候,能耐旱。以土层深厚、肥沃疏松的砂质壤土为好。用种子繁殖,在9~10月播种,按行距23~27cm划沟条播,播幅7~10cm,深3~4cm,播后覆土盖草,保持土壤湿润。出苗时揭草,结合松土除草,进行匀苗、追肥。培育2~3年,即可出圃定植,于9~10月移栽,行株距各33cm,每穴栽苗2~3株。栽后每年结合中耕除草,在春季或秋季追肥1次,用人畜粪水或堆肥、厩肥追施,并结合培土。雨季注意排水。
采集:春季花未开放前采摘,拣去杂质,晒干或烘干。药材主产于安徽、江苏、浙江、四川、山东、福建、湖北。
鉴别
性状:花常3~7朵簇生于短花轴上,基部着生小苞片1~2片,多脱落为单朵,单朵呈棒槌状,多弯曲,长1~1.7cm,直径约1.5mm;花被筒表面淡紫色或灰绿色,密被短柔毛,先端4裂,呈花瓣状,裂片卵形,淡紫色或黄棕色。质软。气微,味辛、辣。以淡紫色、花蕾多而整齐者为佳。
显微 粉末:黄绿色。 ①花粉粒球形,直径23~45μm,外壁有不甚明显的网状纹理,萌发孔3个,明显。 ②花粉囊内壁细胞呈环状突起,木化。 ③花被上表皮细胞多角形;下表皮细胞不规则形,密被单细胞非腺毛。非腺毛常断裂,完整者长88~910μm,直径15~23μm,壁较厚。 ④有时可见幼叶上的单细胞非腺毛,壁微具疣状突起。(图见《中药鉴定学》.图11-9)
理化:取样品粉末1g,置沙氏提取器中,用石油醚(60~90℃)回流提取6小时后,再用甲醇回流提取,提取液点于硅胶G板上,以羟基芫花素为对照,以苯-乙酸乙酯-甲酸(5∶4∶1)为展开剂,展开后,置紫外灯下检视。(图见《中药材薄层色谱鉴别》.312页.图214)
加工炮制:常用的炮制品有芫花和醋炙芫花。 ①芫花 取原药材,除去杂质,筛去泥土。 ②醋炙芫花 取净芫花,加醋拦匀,润透,用文火炒至醋被吸尽,取出阴干。每100kg芫花,用醋30kg。
贮藏:置通风干燥处,防霉,防蛀。醋芫花密闭,置阴凉干燥处。
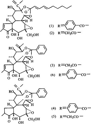
化学性质花蕾及花中共得到6种二萜原酸酯类成分:芫花酯甲(Yuanhuacin)(1)、芫花酯乙(Yuanhuadin)(2)、芫花酯丙(Yuanhuafin)(3)、芫花酯丁(Yuanhuatin)(4)、芫花酯戊(Yuanhuapin)(5)[1]和12苯甲酰氧基瑞香毒素(12-Benzoxydaphneioxin)(6)[2];4种黄酮类化合物:芫花素(Genkwanin)、芹菜素(Apigenin)、芫根甙(Yu-enkanin)、3’羟基芫花素(3’-Hydrox-ygenkwanin)[3],以及β-谷甾醇,苯甲酸等[4]。
附 芫花叶中含有木脂素类化合物芫花木内酯(Genkdaphin)[5],7种黄酮类成分:异槲皮甙(Isoquercetrin)、芫花素、3’-羟基芫花素、木犀草甙(Luteolin5-O-β-D-glucopyranoside)、芫花叶甙(Yuanhuanin)、木犀草素(Luteolin)、芫根甙[6],以及4种绿原酸类化合物:3’-O-咖啡酰奎宁酸甲酯(Methyl 3’-O-caffeoylqumate)、4’-O-咖啡酰奎宁酸甲酯、5’-O-咖啡酰奎宁酸甲酯、5’-O-(3,4二甲氧基)桂皮酰奎宁酸甲酯(Methyl 5’-O-(3,4-dimethoxy)-cinnamoyl quinate)[7]等。
参考文献
[1] 化学学报 1986;44(8):843。
[2] Phytochemistrv 1981;20(11):2592。
[3] 中草药 1983;14(9):392。
[4] 中药大辞典上册,上海人民出版社,1977:1047。
[5] 药学学报 1990;25(11):866。
[6] 中草药 1986:17(11):487。
[7] 中草药 1989;20(2):57。
药理
①中枢抑制作用 芫花乙醇提取物500mg,250mg/kgip可明显提高小鼠(热板法)痛阈;500mg,100mg/kg ip明显抑制小鼠扭体反应(酒石酸锑钾);250mg,500mg/kg对电击致痛有明显镇痛作用。且吗啡受体阻断剂纳洛酮能阻断其镇痛作用;ip 1g/kg具有镇静作用。且有抗士的宁及咖啡因惊厥的作用;28mg/kgip明显增强戊巴比妥钠对犬的麻醉作用[1]。 ②对心血管的作用 0.31%~5%的芫花煎剂高浓度对离体蛙心的收缩力及频率呈明显抑制作用。低浓度作用不明显[2]。 ③利尿作用 大鼠ig 10g/kg芫花煎剂,可引起尿量、排钠量增加[3,4],排钾量无明显增加;20g/kg时,排尿、钠及钾量均有显著增加;而其灰份的利尿、排钠作用均较差[4];麻醉狗iv50%芫花煎剂0.4~1.0g/kg,亦能观察到利尿现象[3]。 ④对消化系统的作用 生芫花与醋制芫花的水煎剂、水浸剂及醇浸剂1.8mg/ml均有兴奋离体兔回肠的作用,使肠蠕动增加、张力提高,加大剂量则呈现抑制作用。生芫花与醋芫花醇浸剂对免、犬能轻度致泻,对犬尚有致吐作用[5]。0.31%~5%炙芫花煎剂高浓度能兴奋家兔离体肠段,低浓度作用较弱[2];sc2ml10%芫花煎剂对大鼠实验性胃溃疡的发生率有明显的降低[6]。 ⑤抗早孕作用 芫花酯甲0.01μg/ml显著增强离体大鼠或豚鼠子宫的节律性收缩,在体宫腔内注射100μg/kg呈现强烈宫缩[7]。芫花酯甲和酯乙在10-3mol/L时明显增强动情及早孕期大鼠离体子宫收缩力,后者的作用分别相当于前者的51%和40.1%,酯甲2.9×10-8-2.9×10-7mol/L对动情期大鼠离体宫缩张力明显强于早孕期,两药与15-甲基-PGF2。对早孕大鼠的宫缩张力有相加作用[8]。芫花酯甲药膜1~50μg/kg宫腔内使用,可使家兔子宫局部及泄殖腔近子宫部分有明显的充血,水肿、炎性细胞浸润及血管扩张作用等刺激性改变,但1wk后逐渐恢复,光镜及电镜观察证实对子宫无细胞毒性作用,其抗早孕作用机理可能与此有关[9]。早孕妇女宫腔内注入芫花萜100μg,6h后羊水PGF开始升高,随含量增加,产程开始,高峰时流产,药物引起内源性前列腺素分泌增加,可能是引产发动的主要因素[17]。 ⑥其它 芫花的甲醇提取物、Genkwadaphnin及芫花酯甲对小鼠P388白血病显示了明显的抑制作用,这两种成分每天给予0.8mg/kg时,T/C分别为173%和151%,它们的作用主要在于抑制P-388癌细胞核酸与蛋白质的合成[10]。芫花乙醚提取物10mg/ml,水提物100mg/ml对Raji细胞EB病毒早期抗原有诱发作用[11]。
毒性:芫花煎剂小鼠ip LD50为5.5±0.36g/kg[6];芫花萜膜液小鼠LD50为3.58mg/kg[12];芫花与醋制芫花的醇浸剂,小鼠ipLD50分别为1.0g/kg和7.07g/kg,而其水浸剂的LD50分别为8.30g/kg与17.78g/kg[5];芫花萜乳剂与酊剂小鼠ip LD50为1.8与1.9mg/kg[13]。亚急性毒性试验表明,芫花萜膜剂量相当于人用量的155倍时大鼠体重下降、精神呆板、食量减少、肝肾功能损害,77.5倍时对肾功能有轻度损害,40倍剂量对肝肾功能、血常规无明显影响,子宫内膜给芫花萜50μg,200μg刺激试验可见表面瘀血,中性炎细胞浸润,两周复常;0.01μg-216μg/ml体外溶血试验阴性;隔日ip药膜3.5μg3次,d141ml攻击,对豚鼠无过敏现象[12]。芫花酯甲给豚鼠宫腔内注射50μg/kg,兔iv100μg/kg,皮下囊腔注入100~200μg/kg均能引起动物发热,其致热作用可能是通过内生性致热原引起的[7]。另有芫花根、芫花酯乙用于中期引产子宫破裂及急性弥漫性血管内凝血并急性肾功能衰竭的报道[14,15,16]。
参考文献
[1] 中草药 1981;12(3):27。
[2] 中药通报 1986;11(4):49。
[3] 河南医学院学报 1960;(7):30。
[4] 药学学报 1966;13(6):454。
[5] 浙江中医药 1978;(6):27。
[6] 中成药研究 1982;(2):28。
[7] 中国药理学报 1981;2(3):186。
[8] 生殖与避孕 1988;8(2):60。
[9] 河南中医 1989;9(3):37。
[10] J Pharm Sci 1982;71(11):1263。
[11] 中国医学科学院学报 1984;6(2):84。
[12] 中草药 1987;18(6):30。
[13] 医药工业 1978;(1):6。
[14] 陕西新医药 1979;(7):59。
[15] 中国人民解放军军医进修学院学报 1987;(2):138。
[16] 山东医学院学报 1980;(1):74。
[17] 生殖与避孕 1983;3(4):49。
性味:辛、苦,温。有毒。 ①《本经》:“辛,温。” ②《别录》:“苦,微温。有小毒。” ③《药性论》:“有大毒。”
归经:入肺,脾经。 ①《长沙药解》:“入足太阳膀胱经。” ②《得配本草》:“入手太阴经。” ③《本草求真》:“入脾,肺,肾。”
功效:逐水,涤痰。
主治:痰饮癖积,喘咳,水肿,胁痛,心腹癥结胀满,食物中毒,疟母.痈肿。 ①《本经》:“主咳逆上气,喉鸣喘,咽肿短气,鬼疟,疝瘕,痈肿。” ②《别录》:“消胸中痰水,喜唾,水肿,五水在五脏皮肤及腰痛,下寒毒,肉毒。” ③《药性论》:“治心腹胀满,去水气,利五脏寒痰,涕唾如胶者。主通利血脉,治恶疮风痹湿,一切毒风,四肢挛急,不能行步,能泻水肿胀满。” ④《日华子本草》:“疗嗽,瘴疟。” ⑤《纲目》:“治水饮痰澼,胁下痛。” ⑥《本草原始》:“煎汁渍丝线,系痔易落,(并能)系瘤。” ⑦《新华本草纲要》:“泻下逐饮,祛痰解毒。用于水肿胀满,痰饮喘满及急性乳腺炎的治疗。”
用法用量:内服:煎汤,1.5~3g;或入丸,散。外用:研末调敷或煎水含漱。
使用注意:体质虚弱及孕妇忌服。《本草经集注》:“决明为之使。反甘草。”
临床应用配伍应用:①配甘遂、大戟,治水饮停于胸腹。 ②配当归、桂心,治妇人积年血气癥块结痛。 ③配朱砂,治疟母弥年,结为癥癖。 ④配大戟、甘草,治小瘤。 ⑤配枳壳,治蛊胀。 ⑥配椒目,治酒疽。 ⑦配大枣,治卒得咳嗽。 ⑧配雄黄,治头疮、白秃、顽癣。
方选和验方: ①十枣汤(《伤寒论》)治太阳中风,下利呃逆,表解,其人
汗出,发作有时,头痛,心下痞硬满,引胁下痛,干呕短气,汗出不恶寒者:芫花(熬)、甘遂、大戟。上3味,等份,各别捣为散。以水300m1.先煮大枣肥者10枚,取160ml去渣,内药末。强人服2g,羸人服1g,温服之,平旦服。若下后病不除者,明日更服,加1.5g,得快下利后,糜粥自养。 ②芫花丸(《备急千金要方》)治小儿心下痞,痰癖结聚,腹大胀满,身体壮热,不欲哺乳:芫花、黄芩各30g,大黄、雄黄各75g。研末,炼蜜为丸,如粟米大。1~3岁每服1丸。 ③芫花煎(《备急千金要方》)治新久咳嗽:芫花、干姜各60g,二药研末,用白蜜300ml,文火煎如糜状。每服如枣核许,日3次,夜1次。 ④小消化丸(《圣济总录》)治水病通身微肿,腹大,食饮不消:芫花(微炒)、甘遂(微炒)、大黄(锉碎、醋炒拌干)、葶苈(炒令紫色)各30g,巴豆(去心、皮,麸炒,研出油尽)40枚。上5味,捣罗为末,炼蜜为丸,如小豆大。每服,饮下3丸,不知,稍增至5丸,以知为度。 ⑤芫花散(《太平圣惠方》)治妇人腹中宿有瘀血,积聚不散,疼痛:芫花30g,炮乌头、鬼箭羽、桃仁、水蛭、虻虫各0.3g。研为散,每服1.5g,食前温酒调下。 ⑥《仁存堂经验方》:“治诸般气痛:芫花(醋煮)15g,延胡索(炒)45g。为末,每服3g。疟疾,乌梅汤下;妇人血气痛,当归酒下;诸气痛,香附汤下;小肠气痛,茴香汤下。” ⑦《世医得效方》:“治小瘤:先用甘草煎膏,笔蘸妆瘤傍四周,干后复妆,凡3次,然后以药:大戟、芫花、甘草各等份为末,米醋调,别笔妆敷其中,不得近著甘草处。次日缩小,又以甘草膏妆,小晕3次,中间仍用大戟、芫花、甘草如前法,自然焦缩。” ⑧十枣汤(《中药基础知识简编》)治胸腔积液(渗出性胸膜炎),肝硬化腹水而体质尚好者:芫花、甘遂、大枣各1等份,研末混和,装入胶囊。第1天服1.5g,以后每天加0.3g,渐加至3g。用大枣5~10枚煎汤,清晨空腹送服,疗程不超过5~6天,不宜久服。 ⑨芫花注射液(《福建药物志》)治银屑病:芫花挥发油的水溶液制成每支20ml的注射剂,每日1次,每次60ml,静脉滴注,15天为1疗程。
单方应用:①《时后方》:“治酒疸尿黄:芫花、椒目等份,烧末,水服1.5g,日2服。” ②《补缺肘后方》:“治卒得咳嗽:芫花30g,水600ml,煮取200ml,去渣。以枣14枚,煎令汁尽,1日1食之,3日讫。” ③《千金方》:“治天行毒病七八日,热积胸中,烦乱欲死:芫花30g,水600ml,煮取300ml,渍故布薄胸上。不过再三薄,热即除,当温四肢护厥逆也。” ④《千金方》:“治痈:芫花为末,胶和如粥敷之。” ⑤《普济方》:“治水蛊胀满:芫花、枳壳等份,以醋煮芫花至烂,乃下枳壳煮烂,捣丸梧子大。每服30丸,白汤下。” ⑥《集效方》:“治白秃头疮:芫花末,猪脂和涂之。” ⑦《世医得效方》:“治一切菌毒:芫花生研,新汲水服3g,以利为度。” ⑧《中草药学》:“治腹水:芫花水煎服;或研末0.15~0.45g吞服。”
医药家论述①李时珍《纲目》:“张仲景治伤寒太阳,表不解,心下有水气,干呕发热而咳,或喘或利者,小青龙汤主之。若表已解,有时头痛出汗恶寒。心下有水气,干呕,痛引两胁,或喘或咳者,十枣汤主之。盖小青龙汤治未发散表邪,使水气自毛窍而出,乃《内经》所谓开鬼门法也。十枣汤驱逐里邪,使水气自大小便而泄,乃《内经》所谓洁净府,去陈莝法也。……芫花、大戟、甘遂之性,逐水泄湿,能直达水饮窠囊隐僻之处,但可徐徐用之,取效甚捷,不可过剂,泄人真元也。” ②张璐《本经逢原》:“芫花,消痰饮水肿,故《本经》治咳逆咽肿,疝瘕痈毒,皆是痰湿内壅之象。” ③黄宫绣《本草求真》:“芫花主治颇与大戟、甘遂同,皆能达水饮窠囊隐僻之处,然此味苦而辛,苦则内泄,辛则外搜,故凡水饮痰癣,皮肤胀满,喘急痛引胸胁,咳嗽,瘴疟,里外水闭,危迫殆甚者,用此,毒性至紧,无不立应。” ④张寿颐:“芫花气味,《本经》虽称辛温,然所主诸病,皆湿热痰水为虐。功用专在破泄积水,而非可以治脾肾虚寒之水肿,则辛虽能散,必非温燥之药,故《别录》改作微温。”