棕树皮

概况

基源:为棕榈科棕榈属植物棕榈的叶鞘纤维。

原植物:棕榈Trachycarpus fortunei(Hook.f.)H.Wendl.(Camaerops fortunei Hook.f.;Trachycarpus excelsus Wendl.)

余项参见“棕树心”条。

生药

采集:全年可采,一般多于9~10月采剥纤维状鞘片,除去残皮,晒干。药材产于江西、江苏、安徽、浙江、福建、台湾、广东、广西、湖南、湖北、四川、贵州、云南。

鉴别:棕榈皮的陈久者,称“陈棕皮”。将叶柄削去外面纤维,晒干,称“棕骨”。多取自破旧棕床的废棕绳,称“陈棕”。

陈棕皮为粗长的纤维,成束状或片状,长20~40cm,大小不等,色棕褐,质韧,不易撕断。气无,味淡。棕骨又名棕板,长条形,长短不一,红棕色,基部较宽而扁平,或略向内变曲,向上侧渐窄而厚,背面中央隆起,成三角形,两侧平坦,有厚密的红棕色毛茸,腹面平坦,或略向内凹,有左右交叉的纹理。撕去表皮,可见坚韧的纤维。质坚韧,不能折断,气无,味淡。

陈棕为破碎的网状,色深棕,粗糙,质坚韧,不易断,气微,味淡。

贮藏:置通风干燥处。

化学性质

鞣质[1]

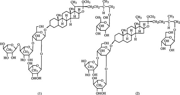
附 从茎得到薯蓣皂甙(Dioscin)、重楼皂甙b(Pb)(参见棕榈叶)和甲基原薯蓣皂甙(Me Protodioscin)(1)[2]

参考文献

[1] 江苏新医学院.中药大辞典.下册.上海人民出版社,1977:2295。
[2] Chem Pharm Bull 1984;32(1):295。

药理

止血 陈棕(即陈棕皮,取自破旧棕床或棕毡)100%煎剂,陈棕炭30%煎剂,陈棕炭混悬剂12%,陈棕皮(未加工成棕制品而直接供药用者)炭30%煎剂及12%混悬剂,均用0.8mlig,对小鼠凝血时(毛细管法)及出血时(剪尾法)均有明显缩短;但新棕皮、新棕皮炭、新棕板、新棕板炭、陈棕板、陈棕板炭均无效,陈棕皮煎剂也无效。

参考文献

中药通报 1983;8(2):23。

药性

性味:苦、涩,平。《海药本草》:“平、温。”

归经:①《要药分剂》:“入肝、脾二经。” ②《中国药典1990年版》:“归肺、肝、大肠经。”

功效:收敛止血。

主治:吐血,衄血,尿血,便血,崩漏下血。 ①《本草拾遗》:“烧作灰,主破血止血。” ②《海药本草》:“主金疮疥癣,生肌止血.并宜烧灰使用。” ③《日华子本草》:“止鼻洪,吐血,破癥,止崩中,带下,肠风,赤白痢。”

用法用量:内服:煎汤,9~15g;研末,3~6g。外用:研末撒。

使用注意:《本草经疏》:“暴得吐血,瘀滞方动;暴得崩中,恶露未竭;湿热下痢初发;肠风带下方炽,悉不宜遽用,即用亦无效。”

临床应用

配伍应用:①配血余炭,治崩漏及各种出血症。 ②配侧柏叶,治妇人经血不止。 ③配熟艾,治肠风泻血。 ④配血余炭、荷叶,治功能性子宫出血。 ⑤配血余炭、陈莲蓬,治衄血,崩漏。 ⑥配地榆、黄芩,治肠中积热,大便下血或痢疾。 ⑦配血余炭,侧柏叶,治吐血、衄血、尿血、崩漏。 ⑧配牡蛎、麝香,治血崩。 ⑨配刺蓟、桦皮、龙骨,治鼻衄久不止。 ⑩配大蓟,小蓟蒲黄、侧柏叶,治鼻衄、咯血、吐血、血崩等症。

方选和验方: ①棕榈散(《圣惠方》)治妇人崩中,下血数升,气欲绝:棕榈90g(烧灰),紫参30g,麝香3g(细研),伏龙肝60g(细研)。上药捣细罗为散,入麝香研令匀,不计时候,以热酒调下6g。 ②棕榈散(《鸡峰普济方》)治久鼻衄不止:棕榈、刺蓟、桦皮、龙骨各等份。为细末,每服6g,米饮调下。 ③棕榈皮散(《圣济总录》)治妇人经血不止:棕榈皮(烧灰)、柏叶(焙)各30g。上2味捣罗为散,酒调下6g。 ④棕灰散(《圣济总录》)治妊娠胎动,下血不止,脐腹疼痛:棕榈皮(烧灰)、原蚕沙(炒)各30g,阿胶(炙燥)1g。上3味捣罗为散,每服4g,温酒调下。

⑤棕艾散(《圣济总录》)治肠风泻血:棕榈灰60g,熟艾(捣罗成者)30g。上2味用熟鸡子2个,同研得所;别炮附子去皮脐,为末,每服用水1盏,附子末3g,煎数沸放温,调前药4g,空心食前服。 ⑥棕毛散(《普济方》)治赤白带下,崩漏,胎气久冷,脐腹疼痛:棕毛(烧存性),蒲黄(炒)各等份。每服9g,好酒调下,空心食前,每日2服。 ⑦《百一选方》:“治血崩:棕榈皮(烧存性,细研如粉)3g,牡蛎(火煅,研如粉)1.5g,入麝香少许。拌令匀,空心米饮调下。” ⑧《江西草药》:“治高血压.鲜棕榈皮18g,鲜向日葵花盘60g。水煎服,每日1剂。” ⑨《全国中草药汇编》:“治功能性子宫出血:棕榈炭、血余炭各6g,荷叶30g。水煎服。”

单方应用:①《简易方论》:“治鼻血不止:棕榈灰,随左右吹之。” ②《妇人良方》:“治血崩不止:棕榈皮烧存性,为末,空心淡酒服9g。” ③《近效方》:“治水谷痢下:棕榈皮,烧研,水服3g。” ④《卫生家宝方》:“治血淋不止,棕榈皮,半烧半炒为末。每服6g,甚效。” ⑤《摄生众妙方》:“治小便不通:棕树皮毛,烧灰存性,以水酒调下6g。” ⑥《湖南药物志》:“治衄血,吐血:棕榈皮烧存性,开水冲服适量。”

医药家论述

赵其光《本草求原》:“棕皮,能引血归经,止上下失血,止下血尤良。不但性涩能收脱也。同发灰、侧柏、卷柏灰饭丸或煎服,止远年下血。此物止血,不在烧灰,但血见黑侧止之说,痼已久,姑从之。”