可靠性设计

通过设计实现产品可靠性指标的方法。产品的可靠性是通过设计、生产和管理而实现的,而首先是产品的设计。它决定着产品的固有可靠性。电子产品可靠性设计技术包括许多内容,主要有可靠性分配、可靠性预测、冗余技术、漂移设计、故障树分析和故障模式、效应和致命度分析、元件器件的优选和筛选、应力-强度分析、降负荷使用、热设计、潜在通路分析、电磁兼容和设计评审等。

可靠性分配

根据用户对系统或设备提出的可靠性指标,对分系统、整机等组成部分提出相应的可靠性指标,逐级向下,直到元件、器件、工艺、材料等的可靠性指标。可靠性分配是系统或设备的总体部门的一项可靠性设计任务。

对于有L个组成成分的系统,最简单的情况是这些组成成分的可靠性是互相独立的。若第i组成分不可靠,则系统就不可靠,系统可靠性为qq1q2qL 〔若第 i组成分的不可靠性为Pi=1-qi,则系统的不可靠性为P=1-q=1-(1-P1)(1-P2)…(1-PL)≈P1P2+…+PL〕。这是系统可靠性分配的基本公式。可靠性分配本质上不是数学问题,而是人力、物力的统一调度和运用的工程管理问题。因为不同整机、元件、器件的现实可靠性水平是很不相同的,而把它们的可靠性提高到一定水平所需要的人力、物力和时间往往差别很大,因而不能采取均匀提高的纯数学方案。在实际工作中,需进行多个方案的协调、比较后才能决定。

可靠性预测

主要是根据电子元件、器件的故障和产品设计时所用的元件、器件数和使用条件,对产品的可靠性进行估计。最简单的情况是:产品由 k种电子元件、器件组成,第i种元件、器件的寿命为指数分布,故障率为λi,用量为ni。任一元件和器件发生故障都会引起产品故障,故产品的故障率为

λn1λ1n2λ2+…+nkλk

这是在设计阶段根据元件、器件的故障率对产品故障率提出预测的基本公式。在实际使用时,还要增加一些修正和补充。元件、器件的故障率还会随环境和其他条件而发生变化。若实验室条件下的元件、器件的故障率为公式 符号,则在环境A下的故障率为

公式 符号

式中k公式 符号为元件、器件在环境A下的环境因子。在恶劣环境下,环境因子值可能很大。例如,导弹发射环境下的环境因子可能达到20~80。用预测公式测得的λ 值还需要乘上一个修正因子(1+α)。对于比较成熟的设计,α可取10%左右;对不太成熟的设计,α可取30%以上。预测的故障率与实际投入使用后的现场故障率有一些差异是正常的。事实上,在设计阶段可靠性预测主要是相对可靠性,而不是绝对可靠性。

冗余技术

当产品设计中发现某个组成部分的可靠性过低,影响产品的总可靠性指标时,便采取所谓冗余技术来提高这一部分的可靠性。有 k个组成部分的产品,各组成部分的可靠性是互相独立的。若其中一个部分出故障,产品就出故障,则这些组成部分构成一个可靠性串联系统。若产品的第i部分的可靠性为qi,则产品的可靠性q=q1q2qk;若其中的一个部分不出故障,产品就能完成预定任务,则这些组成部分构成一个可靠性并联系统。这时,q=1-(1-q1)(1-q2)…(1-qi)。

如果k=2,q1=q2=0.99,则组成可靠性并联系统后,q=0.9999。即经可靠性并联后大大提高了可靠性。所谓“多数表决”冗余技术,是只要k个组成部分中多数不出故障,产品就能完成预定任务。一般说来,很少使用整机作为冗余的组成部分,通常是对整机的薄弱环节进行冗余处理。

漂移设计

元件、器件的性能参数容许有一定的散布。其上限为上公差,下限为下公差。随着出厂时间的增加,性能参数产生漂移。温度和其他环境条件的变化也会造成参数漂移。只要元件、器件的漂移不超过公差的上、下限,就是合格的。电路的设计应该是,只要所用的元件、器件性能参数在规定的容许上、下限以内,电路的性能参数就应该是合格的,即使元件、器件的参数值到了规定容许的上、下限的边缘,也应如此,这称为电路的漂移设计。在满足元件、器件规定容许的上、下限前提下,在理论分析上,元件、器件有一些最坏组合,使电路的性能参数产生最大的偏离。如果这些最坏组合产生的电路仍能满足要求,则电路就满足漂移设计要求,这也可以通过最坏组合的实际电路加以验证,称漂移试验。但是,最坏组合方法往往偏于过分保守。如果能知道元件、器件性能参数的概率分布,则可以分析出电路性能参数的概率分布,从而作漂移分析和漂移试验,这称为概率法。这往往比最坏组合法更符合实际情况。

图

故障树分析

故障树分析是美国贝尔实验室1961年首创的一种系统分析方法。其优点是较易处理复杂系统,容易发现可能导致系统出现故障的情况,有利于消除潜在故障。在设计阶段,它有助于发现系统的薄弱环节,是改进和提高设计可靠性的有力工具。故障树是一种树状的逻辑因果关系图,它利用一系列符号和逻辑门来描述各种事件之间的因果关系,使人们对这些关系一目了然。例如,基本事件的符号为○、结果事件的符号为嘑。逻辑门的输入事件为因,输出事件为果。以某房间照明系统为例,其原理和故障树如图。故障树的定量分析是根据基本事件出现的概率,计算出系统不希望发生的故障事件的出现概率,定量地计算出系统薄弱环节的不可靠性,找出对系统可靠性有关键作用的元件、部件,通常是从求最小割集着手。一个最小割集包括若干个基本事件。如果这些基本事件都出现,系统就出故障。只要其中有一个不出现,割集中的其他基本事件都出现也不会使系统出故障。寻找所有最小割集的方法很多,但都未彻底解决工作量随基本事件数的增加而指数增大这一困难。一个系统的故障树是一本很好的故障维修指南。它能使维修人员迅速发现故障,进而迅速排除故障。

故障模式、效应、致命度分析

这种分析方法是将系统分成若干个组成部分。如果发生故障,分析它属于哪种故障模式(不必一定查清故障的确切原因);分析各组成部分可能出现的故障模式对系统有什么影响;对各种故障模式的影响进行半定性半定量的评价,对那些具有致命性影响的故障模式制定适当的解决措施或改进设计方案。这种分析方法是由系统的基本故障事件上推到系统故障,而傅里叶变换则是由系统故障下推到基本故障事件。两者结合起来,相辅相成,可以在设计阶段找出潜在的可靠性问题。

元件、器件的可靠性

可靠性质量保证体系的元件、器件的可靠性部门,通过调查研究制订出本部门的元件、器件优选目录,尽量压缩元件、器件的品种、规格和生产厂点。设计人员不得选用目录以外的元件、器件。如果设计人员认为必须选用目录外的元件、器件,则应经过元件、器件可靠性部门调查试验认为可用后,再正式补入目录,以备选用。元件、器件可靠性部门与生产厂保持密切的联系,监督元件、器件生产质量的一致性和稳定性。必要时,派出专人监督本部门定购批次的生产。不论对元件、器件的生产过程如何严格控制,材料、工艺、生产环境等并不能绝对一致。因此,不可避免地有一部分产品会存在一些潜在的缺陷和弱点。这些有缺陷和弱点的电子元件、器件的平均寿命比正常产品的平均寿命短得多,使电子元件、器件的早期故障率较高。如果对电子元件、器件不加处理就装入整机,便会使整机的早期故障率大大增加。因此,在把电子元件、器件装入整机前,应采取施加强应力或其他手段,尽可能地剔除这种早期故障的产品。这就是电子元件、器件的可靠性筛选。筛选所加的强应力,可以是电的、热的、机械的或综合的。筛选项目须根据元件、器件的主要故障模式和故障机理,结合元件、器件的工艺设计、结构材料以及质量控制的情况而定。筛选不是提高产品的可靠性,它只能排除早期故障产品,使产品恢复其固有可靠性,但不能提高固有可靠性。如果元件、器件的筛选淘汰率较高,则说明设计、工艺或生产管理上存在较多问题,不易筛选彻底。这样的元件和器件不宜用于高可靠性要求的部位。元件、器件可靠性部门应根据本部门的需要制订元件、器件筛选条例,并规定出容许的筛选淘汰率。在一般情况下,元件、器件出厂越久,可靠性也就越低。因此,元件、器件可靠性部门应在调查研究和进行必要的试验后,制定元件、器件保管和保管年限条例。

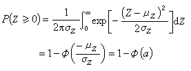
应力-强度分析

产品所受的应力x是广义的,它不仅包括张力、扭力矩等,还包括如温度、真空度等因素。产品的强度Y也是广义的。若Z=Y-X,当Z<0时,即强度低于应力时,产品就出现故障;而当Z≥0时,产品是可靠的。Z为产品的可靠性余度,P(Z≥0)是产品的可靠度。

XY分别是均值为μXμY方差σ婌、σ婍的互相独立的正态分布,则Z也是正态分布,均值为μZμYμX,方差为 σ婎=σ婌+σ婍。这是最简单也是实际工作中最常见的情况。这时产品的可靠度为

公式 符号

式中公式 符号(ɑ)为标准正态分布的分位数

公式 符号

因此,可靠度不仅决定于μZ 的大小(即μYμX的程度),而且还决定于 σXσY的大小。提高可靠度有两种途径:

(1)使μYμX大,即让平均强度远超过平均应力;

(2)使σXσY尽可能小,即严格控制产品强度的散布(往往须通过严格控制原材料和加工精度才能达到)和应力的散布(即进行环境设计)。在19世纪后期,习惯上把μY/μX称为产品的安全系数。安全系数大,μY大于μX,可靠度可以有所提高。但这不是决定可靠性的唯一因素。如果对σXσY不加控制,单纯提高安全系数不一定能提高可靠性。因此,传统的安全系数只反映了可靠度的一个方面,而不是全部。

XY不是正态分布的随机变量时,可靠性的解析式就比较复杂。蒙特卡罗法是分析这些较复杂情况下可靠性的有效方法之一。

电子元件、器件的负荷,就是施加于元件、器件的一种应力。降负荷使用元件、器件就是提高元件、器件的安全系数,从而可以在一定程度上提高元件、器件的可靠性。例如,某些电容器的故障率基本上正比于工作电压V的5次方,就是电容器故障率的5次幂法则。使用的工作负荷与额定负荷之比称为降负荷系数。可靠性质量保证系统的元件、器件可靠性部门,应根据本部门特点制订降负荷系数要求。例如,一个有代表性的要求是,碳膜电阻和金属膜电阻的使用功率不应达到额定功率的一半。

热设计

使电子元件、器件在较低温度下工作有三个好处:

(1)参数漂移较小,电气性能容易稳定;

(2)故障率较低;

(3)机械应力较小,金属化接点等的蜕化较慢,寿命较长。因此,需要根据热量传播的规律,研究作为热源的元件、器件的合理布局;采取什么降温措施可使设备的局部温升不会过高,以保证设备的可靠性。这称为热设计。在简单的情况下可利用自然冷却,但能力有限。当功率密集度较大时,应采取强迫通风冷却和水冷等措施。

潜在通路分析

潜在通路会在所有元件、器件工作正常的情况下导致出现不需要的功能,或使需要的功能受到抑制。潜在通路分析一般在设计阶段后期或设计文件完成之后进行。

设计评审

在设计的每一阶段结束之前,由负责设计的部门组织有关专家对设计文件从保证可靠性要求的各种角度和各个方面进行评定和审查。实际上,这是一种组织专家协助做好可靠性设计的一种技术评定会。由于可靠性设计牵涉的面太广,凭设计人员个人的知识进行最佳的可靠性设计已不可能。因此,设计评审是一种有效的提高可靠性的补救办法。