[拼音]:shengwuzhong de duoyangxing zhishu
[外文]:species diversity index
应用数理统计方法求得表示生物群落的种类和个体数量的数值,用以评价环境质量。
20世纪50年代,为了进行环境质量的生物学评价,开始研究生物群落,并运用信息理论的多样性指数进行分析。多样性是群落的主要特征。在清洁的条件下,生物的种类多,个体数相对稳定。水体、大气和土壤受到污染或其他危害时,不同种生物对新因素的敏感性和耐受能力是不同的,敏感的种类在不利的条件下衰亡,抗性强的种类在新的条件下大量发展,群落发生演替。这种群落演替的现象,可用多样性指数表示,以便应用简单的指数值来评价环境质量。
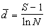
1951年,R.马格利夫提出多样性指数公式:
,式中廀为多样性指数;S为生物的种类数;N 为群落的个体总数。有人认为这种公式只考虑种数和个体数的关系,没有考虑个体在各种类间的分配情况,容易掩盖不同群落的种类和个体的差异,并容易受计数样品大小的影响,因此,又提出各种各样的计算公式。如:
香农-韦弗指数(1963)
式中的廀、S、N 含义与马格利夫指数公式相同;ni为i种的个体数。
70年代初中国开始研究蓟运河、浑河、长江、湘江、官厅水库、鸭儿湖等水体中底栖动物廀值与污染的关系。
运用多样性指数评价环境质量,是生物学评价在理论上和方法上的新发展。但是选择何种计算公式,如何把廀值控制在一定的范围内,都涉及应用效果。
目前,采用底栖大型无脊椎动物的廀值来评价有机物污染状况比较成功。有人认为影响多样性指数变化的因素是多方面的,仅以一次的廀值评价污染是不可靠的。此外,多样性指数要与均匀度结合运用,要熟悉优势种的个体生态学,并要与化学评价结合应用。
- 参考书目
- J. L. Wilhm, Comparision of Some Diversity Indices applied to Populations of Benthic Macroinvertebrates in a Stream Receiving Organic Wastes, Journal Water Pollution Control Fed.39(10),1673~1683,1967.