[拼音]:Kebu-Daogelasi shengchan hanshu
[外文]:Cobb-Douglas production function
用来预测国家和地区的工业系统或大企业的生产和分析发展生产的途径的一种经济数学模型,简称生产函数。它的基本的形式为:
式中Y是工业总产值,At是综合技术水平,L是投入的劳动力数(单位是万人或人),K是投入的资本,一般指固定资产净值(单位是亿元或万元,但必须与劳动力数的单位相对应,如劳动力用万人作单位,固定资产净值就用亿元作单位),α 是劳动力产出的弹性系数,β是资本产出的弹性系数,μ表示随机干扰的影响,μ≤1。从这个模型看出,决定工业系统发展水平的主要因素是投入的劳动力数、固定资产和综合技术水平(包括经营管理水平、劳动力素质、引进先进技术等)。根据α 和β的组合情况,它有三种类型:
(1)α+β>1, 称为递增报酬型,表明按现有技术用扩大生产规模来增加产出是有利的。
(2)α+β<1, 称为递减报酬型,表明按现有技术用扩大生产规模来增加产出是得不偿失的。
(3)α+β=1, 称为不变报酬型,表明生产效率并不会随着生产规模的扩大而提高,只有提高技术水平,才会提高经济效益。
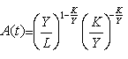
美国经济学家R.M.斯诺提出的中性技术模式即斯诺模型属于不变报酬型。当μ=1时,斯诺模型为:
或
式中(1-ε)是劳动力产出的弹性系数。根据弹性系数的经济意义和数学意义,
。这里p是产出价格,q是资本价格。当p=q时,
。
。它表示对生产技术水平、经营管理水平和服务水平的综合评价,全面反映企业的适应能力、竞争能力和生存能力。A(t)值越大,水平越高。
根据柯布-道格拉斯生产函数可以得到下列经济参数(设μ=1):
(1)劳动力边际生产力
表示在资产不变时增加单位劳动力所增加的产值。
(2)资产边际生产力
表示在劳动力不变时增加单位资产所增加的产值。
(3)劳力对资产的边际代换率
表示产值不变时增加单位劳动力所能减少的资产值。
(4)劳动力产出弹性系数
,表示劳动力投入的变化引起产值的变化的速率。
(5)资产产出弹性系数
,表示资产投入的变化引起产值变化的速率。国际上一般取α=0.2~0.4,β=0.8~0.6。中国根据国家计委测算一般可取α=0.2~0.3,β=0.8~0.7。