能控性

系统的状态变量(见状态空间法)可由外输入作用来控制的一种性能。如果在一个有限的时间间隔内,可以用幅值没有限制的输入作用,使偏离系统平衡状态的某个初始状态回复到平衡状态,就称这个初始状态是能控的。当系统的所有可能的初始状态都能控时,称系统为完全能控的,否则称系统为不完全能控的。能控性的概念是由R.E.卡尔曼在1960年首先提出的,它很快就成了现代控制理论中的一个基础性概念,在解决线性系统的极点配置、最优控制等问题时具有重要作用。

对于线性系统,能控性及其判别条件都已有成熟的研究结果。如果所考察的是线性定常系统,它的状态方程为夶=Ax+Bu,则系统为能控的充分必要条件是系统的能控性矩阵Qc的秩为n,Qc为由系数矩阵AB按一定规则组成的分块矩阵,表达式是

n为系统的维数。 判别线性定常系统能控性的判据还有其他的形式。对于线性时变系统,判别能控性的条件要复杂一些,而且系统是否能控,常常还依赖于初始时刻的选取。

对于完全能控的线性定常系统,通过特别选定的坐标变换,可以将其状态方程化成标准的形式,称为能控规范形。对于只包含一个输入和一个输出的单变量系统,状态方程的能控规范形具有如下的形式:

式中常数di(i=1,2,...,n)是矩阵A的特征多项式的系数。对于多变量系统,状态方程的能控规范形在形式上要复杂一些,而且不是惟一的。常用的有吕恩伯格规范形、旺纳姆规范形和横山规范形。能控规范形常被用于控制系统按期望极点的综合中(见极点配置)。

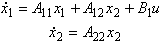
当系统为不完全能控时,通过引入适当的坐标变换,可将它分解成能控的部分和不能控的部分。对于线性定常系统,如果能控性矩阵Qc的秩l小于n,则经分解后的状态方程具有如下的形式:

式中l维分状态x1为能控分状态,n-l维分状态x2为不能控分状态。子系统2=A22x2是系统的不能控部分,子系统1=A11x1+B1u是系统的能控部分。外输入作用u只能影响能控分状态x1,而不能影响不能控分状态x2

从控制系统设计的角度来看,只有当受控系统为完全能控时,才有可能设计适当的状态反馈来使闭环控制系统具有任意指定的性能。但是如果仅要求所设计的闭环控制系统为渐近稳定(见稳定性),那么完全能控条件可放宽为不完全能控,而只要求不能控部分是稳定的。通常,将不能控部分为稳定的不完全能控系统称为能稳定的系统。

对于分布参数系统和非线性系统,能控性及其判别条件也已有所研究,但其复杂性大为增加,许多问题还有待解决。

参考书目
  1. 中国科学院数学研究所控制理论研究室编:《线性控制系统的能控性和能观测性》,科学出版社,北京,1975。