[拼音]:gezhen
[外文]:vibration isolation
机械设备的振动传递给基础会引起基础以及地板、墙面的振动,发出噪声。因此在噪声控制中须对振动进行隔离。
机械设备隔振技术
振动物体的振动速度从u1减少到u2时,它所辐射的噪声声压即从p1减少为p2,噪声降低量△L为:
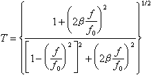
振动可以从设备传递给基础,也可以从基础传递给设备。研究隔振问题都是假设基础的质量远大于设备的质量。隔离设备和基础间的振动传递一般使用弹性机座(图1),形成一个单自由度的质量弹簧系统。设隔振器的力劲为 K,隔振器上面的集总质量(设备)为m,设m上的振动力幅值为Fo,传到基础上的振动力幅值为F,作用力的频率为f。如不计阻尼力,传递率T是:
T是一个无量纲的量。式中fo(无阻尼固有频率)为:
d为系统的静态下沉量(压缩),单位是米。基础的振动速度为Vo,传到设备的振动速度为V,二者的比V/Vo也等于T。
如隔振器的粘滞阻尼系数为C,有阻尼系统的传递率为:
式中β=C/Cc,Cc=4πfom为临界阻尼。简单隔振系统,不同阻尼比β时传递率T与频率比f/fo的关系如图2。振动传递率T与f/fo及β的关系具有以下特性:
(1)f2<<f娿时T=1,机械设备的振动力全部传递到基础,或基础的振动全部传递到机械设备,隔振器不起隔振作用。
(2)f≈fo时是共振区域系统,有放大作用,传递的力大于作用的力,T的大小同β有关,β越大,T值越小,但总是T>1;
(3)
时,T=1,这一频率称为开始隔振的频率;f>f1时,T<1;f>>f1时,T≈(fo/f)2。振动或噪声减低的分贝数△L=20lg(1/T)=40lg(f/fo)。如频率加倍,振动即降低12分贝,这是隔振器的隔振效果。
选用弹性垫层放在设备下面作隔振器时,设弹性层受力面积为S,动态弹性模量为E,厚度为h,则K=ES/h。常用弹性材料的弹性模量与容许最大负载见表。
装箱隔振技术
为了防止货物(材料、元件或设备)在装卸和运输过程中可能受到的冲击和振动,须要采取隔振的包装结构。这种冲击和振动是由于跌落和撞击等因素引起的,也可能来自稳态振动。
如果将隔振的包装结构系统简化为一维线性系统,那末,系统中使用的大部分隔振垫在变形小时产生线性效应,变形大时出现非线性效应。设计时要考虑包装箱各个面和角受撞击时可能遭到的损害。对重型设备可安装在弹性底座上,其中有贮存冲击能量的弹簧。设计隔振垫时,应考虑弹性垫在负载下的永久变形。
货物在受到冲击时可能受到的最大加速度α
,是隔振系统设计的主要根据。设装有货物的包装箱从高度h跌落下来,则可求得箱内物体所受到的最大加速度:
式中 g为重力加速度;fn为系统的共振频率。加速度必须小于α
,由此可以求出fn。
包装箱可用的弹性材料很多,从简单的皱纹纸、弹性条丝(纸条和塑料条等)到特制的弹性垫和钢弹簧系统。
- 参考书目
- J.D.Irwin, E.R.Graf, Industrial Noise and Vibration Control, Prentice-Hall Inc., New Jersey,1979.