化学平衡

化学变化达到的极限状态,此时在宏观上系统组成不再发生任何变化,然而微观上仍有正逆两个方向的反应,但两者速度相等,反应的净速度为零。化工热力学研究化学平衡的目的,在于确定各种条件(温度、压力、原料配比等)对平衡组成的影响,以便结合反应动力学的研究,为确定反应过程的工艺条件和设计反应器提供依据。

化学平衡准则

根据热力学第二定律,对于任意化学反应bB+eE─→gG+rR,当产物和反应物的化学势与计量系数的乘积之和等于零时,反应即达到平衡。化学平衡准则可用下式表示:

公式 符号   (1)

式中vi为化学反应式中的计量系数(见化学计量学);μi为组分i的化学势。在化学反应中,化学势代表物质参加反应的能力。

化学平衡常数

根据化学平衡准则,当化学反应达到平衡时,产物和反应物的逸度公式 符号活度αi,有下列关系:

公式 符号       (2)

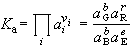
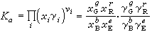
公式 符号       (3)

式中KfKa是常数,称为化学平衡常数,其数值大小取决于反应的本性和温度。Kf主要用于气相反应Ka主要用于液相或固相反应。将

公式 符号

(式中yixi分别为组分i在气相和液相中的摩尔分数;公式 符号为逸度系数;γi为活度系数)代入式(2)、(3),得:

公式 符号   (4)

公式 符号       (5)

式中公式 符号γi均为温度、压力和组成的函数(见相平衡关联)。式(4)、(5)可用来计算一定温度压力下的平衡组成。

化学平衡常数可直接由实验测定,但更多用理论计算求得。由热力学第二定律导得理论计算式为:

公式 符号 (6)

式中G孂为标准状态下i组分的自由焓;ΔG°为标准反应自由焓。计算式为:

公式 符号      (7)

式中ΔH°为标准反应热,可由生成热或燃烧热求得;ΔS°为标准反应熵。根据热力学第三定律,完美晶体在零K时的熵为零,因而利用热容、相变热等热化学数据,可以求得物质的标准熵值,进而求得ΔS°。大多数常见物质的生成热、燃烧热和标准熵可由数据手册查得,故可利用(6)、(7)两式求得平衡常数。

影响平衡的因素

(1)温度:在吸热反应中,如乙苯脱氢制苯乙烯(公式 符号),升温使平衡常数增大,平衡组成向产物方向移动,对反应有利;在放热反应中,如二氧化硫氧化为三氧化硫(公式 符号),温度升高会使平衡常数减小,平衡向反应物方向移动,对反应不利。

(2)压力:如果产物分子数多于反应物分子数,如丁烷脱氢为丁烯,压力增加会使平衡向反应物方向移动,对反应不利;如果产物分子数少于反应物分子数,如由氢和氮合成氨,压力增加会使平衡向产物方向移动,对反应有利。

(3)原料配比:当反应物的配比和化学反应方程式的计量系数比相同时,对反应最有利。但若反应物的价格相差较大,常使价廉的反应物过量,以充分利用比较昂贵的反应物。如果原料中含有惰性气体,会使反应物与产物的分压降低,其作用同压力减小相仿。

多相化学平衡

当系统中存在两个或更多的相(如气液、气固等)并有化学反应时,则不但应满足化学平衡准则(公式 符号),还须满足相平衡准则公式 符号。对于气液系统,可先计算气相平衡组成,再根据逸度相等计算液相的平衡组成。

复杂反应平衡

当系统中同时有两个或更多独立的化学反应时,如在甲烷制氢的过程中同时存在三个反应,即:

CH4+H2O─→CO+3H2

CO+H2O─→CO2+H2

CH4─→C+2H2

每个反应都有一个化学平衡常数。达到化学平衡时,三个平衡常数都必须满足。通过联立求解,原则上可以求得平衡组成。但是当反应很多时(如煤的气化过程),计算就十分复杂。复杂反应平衡的研究工作目前相当活跃。