[拼音]:chilun chuandong
[外文]:gearing
以齿轮的轮齿互相啮合传递轴间的动力和运动的机械传动。齿轮传动应用极广,其特点是结构紧凑,效率高,寿命长,工作可靠,传动比准确;但制造精度和安装精度要求较高,否则噪声较大,齿轮承载能力将会降低。
分类
齿轮传动可按其轴线的相对位置分类,详见图1和表。
齿轮传动按齿轮的外形可分为圆柱齿轮传动、锥齿轮传动、非圆齿轮传动、齿条传动和蜗杆传动。按轮齿的齿廓曲线可分为渐开线齿轮传动、摆线齿轮传动和圆弧齿轮传动等。由两个以上的齿轮组成的传动称为轮系。根据轮系中是否有轴线运动的齿轮可将齿轮传动分为普通齿轮传动和行星齿轮传动,轮系中有轴线运动的齿轮就称为行星齿轮。齿轮传动按其工作条件又可分为闭式、开式和半开式传动。把传动密封在刚性的箱壳内,并保证良好的润滑,称为闭式传动,较多采用,尤其是速度较高的齿轮传动,必须采用闭式传动。开式传动是外露的、不能保证良好的润滑,仅用于低速或不重要的传动。半开式传动介于二者之间。
齿廓啮合基本定律
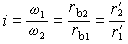
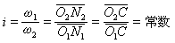
齿轮传动的平稳性要求在轮齿啮合过程中瞬时传动比 i=主动轮角速度/从动轮角速度=ω1/ω2=常数,这个要求靠齿廓来保证。图2表示两啮合的齿廓E1和E2在任意点K接触,过K点作两齿廓的公法线N1N2,它与连心线O1O2交于C点。两齿廓啮合过程中保持接触的条件是齿廓E1上的K点速度vK1和齿廓E2上的K点速度vK2在公法线N1N2方向的分速度相等,即vKn1=vKn2=vKn。由O1和O2分别向N1N2线作垂线交于N1和N2点。则
,
。传动比为
上式表明,两轮齿廓必须符合下述条件:"两轮齿廓不论在任何位置接触,过接触点的公法线必须过连心线上的定点 C──节点。"这就是圆形齿轮的齿廓啮合基本定律。能满足该定律的曲线有很多,实际上还要考虑制造、安装和承载能力等方面的要求,一般只采用渐开线、摆线和圆弧等几种曲线作齿轮的工作齿廓,其中大部分为渐开线齿廓。
对渐开线齿轮来说图2中的
分别是轮1和轮2的基圆半径rb1、rb2。N1N2线是两个基圆的内公切线,即两齿廓任意接触点的公法线与其重合。因为两基圆在一个方向只有一条内公切线,所以任意接触点的公法线都通过定点C,这表明用渐开线作齿廓符合齿廓啮合基本定律。
以O1、O2为圆心过节点 C 所绘的两个圆互称节圆。轮1的节圆半径
,轮2的节圆半径
渐开线齿轮具有下述特性:
(1)N1N2是两齿廓接触点的轨迹,称为啮合线,它是一条直线。
(2)过节点C作两节圆的公切线tt,它与啮合线N1N 2间的夹角α′称为啮合角,它是常数。
(3)齿面间的压力总是沿着接触点的公法线 N1N2方向,所以渐开线齿轮在传递动力时齿面间的压力方向不变。
(4)传动比与两轮基圆半径成反比。齿轮制成后,基圆是确定的,因此在运转中即使中心距与设计的有点偏差,也不会影响传动比,这一特性称为传动的可分性,它对齿轮的加工、装配及维修十分有利。
(5)两齿廓仅在节点C接触时齿面间无滑动,而在其他点接触时齿面间皆有滑动,且距节点愈远,滑动愈大。
(6)由于渐开线齿轮可以和直线齿廓的齿条相啮合,故它可以用直线齿廓的刀具展成加工,刀具容易制造,且加工精度可以高。
重合度
重合度是影响齿轮能否连续传动的重要参数。如图2所示,轮齿啮合是由主动轮的齿根与从动轮的齿顶接触开始的,即从动轮的齿顶圆与啮合线的交点A是啮合的开始点。随着轮1的转动,推动着轮2旋转,接触点沿着啮合线移动,当接触点移到轮1的齿顶圆与啮合线的交点E时(图中虚线位置),这时齿廓啮合终止,两齿廓开始分离,E点是啮合终止点,
是实际啮合线长。如果前一对齿还在E点以前的D点接触,后一对齿已于A点接触,这时传动是连续的;如果前一对齿已于E点离开,而后一对齿尚未进入啮合,这时传动就出现中断。可见连续传动的条件是实际啮合线长
应大于或等于
,因为
等于基节pb,故连续传动的条件为
考虑齿轮的制造、安装误差及变形的影响,实际中常要求ε≥1.1~1.4。重合度愈大,传动愈平稳。以上所述是指的圆柱齿轮的端面重合度,对斜齿圆柱齿轮尚有纵向重合度。
一对齿轮能够正确的啮合的条件是二者必须模数相等、压力角相等。
齿轮传动类型
圆柱齿轮传动
用于平行轴间的传动,一般传动比单级可到8,最大20,两级可到45,最大60,三级可到200,最大300。传递功率可到10万千瓦,转速可到10万转/分,圆周速度可到300米/秒。单级效率为0.96~0.99。直齿轮传动适用于中、低速传动。斜齿轮传动运转平稳,适用于中、高速传动。人字齿轮传动适用于传递大功率和大转矩的传动。圆柱齿轮传动的啮合形式有3种:外啮合齿轮传动,由两个外齿轮相啮合,两轮的转向相反;内啮合齿轮传动,由一个内齿轮和一个小的外齿轮相啮合,两轮的转向相同;齿轮齿条传动,可将齿轮的转动变为齿条的直线移动,或者相反。
锥齿轮传动
用于相交轴间的传动。单级传动比可到6,最大到8,传动效率一般为0.94~0.98。直齿锥齿轮传动传递功率可到370千瓦,圆周速度5米/秒。斜齿锥齿轮传动运转平稳,齿轮承载能力较高,但制造较难,应用较少。曲线齿锥齿轮传动运转平稳,传递功率可到3700千瓦,圆周速度可到40米/秒以上。
双曲面齿轮传动
用于交错轴间的传动。单级传动比可到10,最大到100,传递功率可到750千瓦,传动效率一般为0.9~0.98,圆周速度可到30米/秒。由于有轴线偏置距,可以避免小齿轮悬臂安装。广泛应用于汽车和拖拉机的传动中。
螺旋齿轮传动
用于交错间的传动,传动比可到5,承载能力较低,磨损严重,应用很少。
蜗杆传动
交错轴传动的主要形式,轴线交错角一般为90°。蜗杆传动可获得很大的传动比,通常单级为8~80,用于传递运动时可达1500;传递功率可达4500千瓦;蜗杆的转速可到3万转/分;圆周速度可到70米/秒。蜗杆传动工作平稳,传动比准确,可以自锁,但自锁时传动效率低于0.5。蜗杆传动齿面间滑动较大,发热量较多,传动效率低,通常为0.45~0.97。
圆弧齿轮传动
用凸凹圆弧做齿廓的齿轮传动。空载时两齿廓是点接触,啮合过程中接触点沿轴线方向移动,靠纵向重合度大于1来获得连续传动。特点是接触强度和承载能力高,易于形成油膜,无根切现象,齿面磨损较均匀,跑合性能好;但对中心距、切齿深和螺旋角的误差敏感性很大,故对制造和安装精度要求高。
摆线齿轮传动
用摆线作齿廓的齿轮传动。这种传动齿面间接触应力较小,耐磨性好,无根切现象,但制造精度要求高,对中心距误差十分敏感。仅用于钟表及仪表中。
行星齿轮传动
具有动轴线的齿轮传动。行星齿轮传动类型很多,不同类型的性能相差很大,根据工作条件合理地选择类型是非常重要的。常用的是由太阳轮、行星轮、内齿轮和行星架组成的普通行星传动,少齿差行星齿轮传动,摆线针轮传动和谐波传动等。行星齿轮传动一般是由平行轴齿轮组合而成,具有尺寸小、重量轻的特点,输入轴和输出轴可在同一直线上。其应用愈来愈广泛。
- 参考书目