[拼音]:yingli jizhong
[外文]:stress concentration
受力零件或构件在形状、尺寸急剧变化的局部出现应力显著增大的现象。如传动轴轴肩圆角、键槽、油孔和紧配合等部位,受力后均产生应力集中。这些部位的峰值应力从集中点到邻近区的分布有明显的下降,呈现很高的应力梯度d
/dx(见图)。零件的早期失效常发生在应力集中的部位,因此了解和掌握应力集中问题,对于机械零件的合理设计和减少机械的早期失效有重要意义。
应力集中系数是评定应力集中的指标。用分析计算方法或实验应力分析方法(常用光弹性法)求得静载时局部最大应力 
与该截面(最小截面)名义平均应力
n之比,便得到弹性应力集中系数
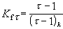
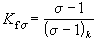
Kt又称理论应力集中系数,它仅与零件的几何形状和变形形式有关。但零件的强度不仅与几何形状有关,也与它的尺寸、材料和载荷的性质有关。如应力集中对疲劳极限的影响,用Kf表示
Kf为有效应力集中系数。
用于拉伸、弯曲变形;
用于扭转变形,一般静强度越高的材料Kf越大,对应力集中越敏感。
应力集中使交变应力下零件和构件的强度显著降低,因此设计时应该力求减轻应力集中程度,改善局部状况,尽可能使截面的变化平缓,以降低应力集中的影响。加大过渡部分的圆角半径、沉割圆角、过渡肩环,或采用减载槽等办法,可使应力的流线从低应力区平滑和缓地过渡到高应力区,降低最大应力峰值。静载时,塑性材料的屈服能缓和应力集中。铸铁对应力集中不敏感,故对强度无影响。用其他脆性材料制造的零件,在静、动载荷时均须考虑应力集中的影响。