[拼音]:nianzhuo mosun
[外文]:adhesive wear
由于局部的粘着作用,两相对运动件接触表面材料从一表面转移到另一表面的一种磨损。固体表面从微观来看是凹凸不平的,两摩擦表面接触时实际上并不是整个表面接触,而是许多凸出体的接触。实际接触面积只占名义接触面积的很小一部分,所以接触点的局部应力很大,当应力超过某一值时,接触点就产生粘着或焊合,并在相对切向运动中被剪断或撕裂,致使材料转移或逐渐剥落。粘着磨损的程度随粘着程度和剪断斯裂的深度而不同,如发生涂抹、划伤和擦伤等,甚至会咬死。洁净的金属表面最容易发生粘着。在空气中工作的金属零件一般会在表面上生成一层薄的氧化膜或粘染上其他膜,在相对运动时这些薄膜常被擦破而产生粘着。为减少粘着磨损,常在摩擦副间施加润滑剂。
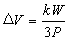
粘着磨损可用艾查德公式计算
式中ΔV为单位滑动距离的磨损体积;W为法向载荷;P为较软表面金属材料的塑性流动应力(兆帕),它相当于材料的布氏硬度数值;k为磨损系数。
磨损量一般随压力的增大逐渐增大,当压力(以兆帕计)数值相当于摩擦副中较软零件布氏硬度数值的 1/30时,粘着突然变得严重,摩擦副出现咬死现象。相同材料组成摩擦副容易发生粘着。影响磨损的因素很多,摩损系数的变化也很大,对洁净金属k=0.01~0.1,对于有氧化膜或润滑膜保护的表面,k值可低到 10-6或10-7。滑动速度和温度对粘着磨损也有很大的影响,摩擦热使表面温度升高,它与压力和速度互有关系。在有润滑摩擦时表面温升导致润滑膜的破坏;在无润滑摩擦时零件表面发生软化和相变等现象。
防止粘着磨损的措施是:适当地选择摩擦副的配对材料;进行表面处理(如表面热处理、化学热处理和表面涂层等);选择合理的润滑剂和润滑方法。