质量传递

物质由高浓度向低浓度方向传递的过程,简称传质。非定温系统的质量传递过程总是伴随着热量传递过程。由于热量传递而产生的传质与由于质量传递而产生的传热这两种效应是耦合的,因此传质与传热现象是密切相关的。质量传递有分子扩散和湍流扩散两种基本形式。

分子扩散

含有两种以上组分的混合物,如果其浓度是不均一的,那么就要发生使浓度趋于一致的分子移动,这种现象称为分子扩散。分子扩散速率可用费克第一定律描述:在一定的温度和压力下,物质的扩散通量与其浓度梯度成正比,即

公式 符号

式中JA为A物质的扩散通量,单位为千摩尔/(米2·秒)〔kmol/(m2·s)〕;DAB为组分A扩散到组分B的分子扩散系数(米2/秒);dCA/dy是组分A的摩尔浓度在扩散方向y的梯度;负号表明扩散是按浓度降低的方向进行的。此式与热量传递的傅里叶定律在形式上是一致的。分子扩散原理适用于静止的流体和层流流动的流体中的质量传递过程。

气相中分子扩散系数可根据分子运动学说来计算。对于一定的系统来说,分子扩散系数是常数,一般为10-4~10-52/秒。液相中分子扩散系数不仅与物质的种类、温度有关,且随浓度而变化。浓溶液中溶质的扩散系数又与活度有关,所以只有稀溶液中溶质的扩散系数才是常数,一般为10-4~10-102/秒。固相中分子扩散系数远小于气相和液相中的扩散系数,但在化工、生化、冶金等过程中固相传质也是十分重要的。固相中的扩散包括两种类型:一种是遵从费克定律的扩散过程,一种是与固体结构有关的多孔介质内的扩散。固相中的扩散系数一般为10-9~10-142/秒。

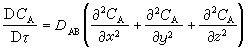
对于非稳态的分子扩散过程,即浓度和浓度梯度是时间和空间坐标的函数,需要用费克第二定律来描述

公式 符号

此式适用于不可压缩的、无内质量源的、不伴随化学反应的系统。

湍流扩散

物质的传递是靠宏观质点的位移实现的。湍流运动中的质量传递与湍流条件下的热量传递相似。质量传递中,由湍流所产生的附加的横向质量通量公式 符号

公式 符号

式中公式 符号为湍流扩散系数(米2/秒)。

通过分子扩散和湍流扩散所传递的总质量通量N A

公式 符号

当流体流过壁面或界面时,与壁面或界面的质量传递可以类似地用对流换热中牛顿冷却公式的形式表示为

公式 符号

式中hD为A物质的对流质交换系数;CAf为A物质的平均浓度;公式 符号为壁面或界面处A物质的浓度。

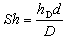
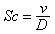
类似于对流换热过程,对于管内湍流运动时的质交换过程,可以得到相应的准则方程式

公式 符号

式中公式 符号为薛伍德数,dD分别为特征尺寸和质扩散系数;Re雷诺数公式 符号施密特数,v为运动粘性系数。Sh类比于对流换热中的努谢尔特数(Nu),Sc类比于普朗特数(Pr)。

参考书目
  1. C. D. Bennett,Momentum Heat and Mass Transfer,McGraw-Hill Book Co.,New York,1983.