弹性力学

也称弹性理论,主要研究弹性体在外力作用或温度变化等外界因素下所产生的应力、应变和位移,从而解决结构或机械设计中所提出的强度和刚度问题。在研究对象上,弹性力学同材料力学和结构力学之间有一定的分工。材料力学基本上只研究杆状构件;结构力学主要是在材料力学的基础上研究杆状构件所组成的结构,即所谓杆件系统;而弹性力学研究包括杆状构件在内的各种形状的弹性体。

发展简史

弹性力学的发展大体分为四个时期。

(1)发展初期的工作是通过实践,探索弹性力学的基本规律。这个时期的主要成就是R.胡克于1678年发表的弹性体的变形与外力成正比的定律,后来被称为胡克定律。

(2)第二个时期是理论基础的建立时期。这个时期的主要成就是,从1822~1828年间,在A.-L.柯西发表的一系列论文中明确地提出了应变、应变分量、应力和应力分量概念,建立了弹性力学的几何方程、平衡(运动)微分方程,各向同性和各向异性材料的广义胡克定律,从而为弹性力学奠定了理论基础。

(3)第三个时期是线性各向同性弹性力学大发展时期。这个时期的主要特点是弹性力学被广泛应用于工程问题,同时在理论方面建立了许多重要的定理和原理,并提出了许多有效的计算方法。这个时期从A.J.C.B.de圣维南于1855~1856年间发表关于柱体的扭转和弯曲的论文后开始,开辟了一条用半物理半数学的方法解弹性力学基本方程的途径。接着G.B.艾里解决了平面应力问题,H.R.赫兹解决了接触问题,G.基尔施解决了孔边应力集中问题,等等。这些成就的取得,使弹性力学得到工程界的重视。在这个时期中,弹性力学的一般理论也有了很大的发展。在弹性力学基本方程建立后不久,建立了弹性力学的虚功原理和最小势能原理。1872年E.贝蒂建立了互换定理。1879年A.卡斯蒂利亚诺建立了余能原理。由于这些能量原理的建立,使基于这些原理的近似计算(如瑞利-里兹法和伽辽金法)也得到了发展。

(4)从20世纪20年代起,弹性力学进入第四个时期,各向异性和非均匀体的弹性力学、非线性弹性力学、热弹性力学等都有了重大发展。另外,还出现了许多边缘分支,如研究固体与气体(或液体)共同作用的气动弹性力学以及粘弹性力学等。这些领域的发展,促进了有关工程技术的发展。

基本方程

在各向同性线性弹性力学中,为了求得应力、应变和位移,先对构成物体的材料以及物体的变形作了五条基本假设,即:连续性假设、均匀性假设、各向同性假设、完全弹性假设和小变形假设,然后分别从问题的静力学几何学物理学方面出发,导得弹性力学的基本方程和边界条件的表达式。

直角坐标系下的弹性力学的基本方程为平衡微分方程:

公式 符号      (1)

几何方程:

公式 符号       (2)

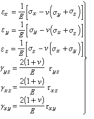
物理方程:

公式 符号      (3)

(1)式中的σx、σy、σzτyz=τzyτxz=τzxτxy=τyx为应力分量,XYZ为单位体积的体力在三个坐标方向的分量;(2)式中的uvw为位移矢量的三个分量(简称位移分量),εx、εy、εzγyzγxzγxy为应变分量;(3)式中的Ev分别表示杨氏弹性模量和泊松比。

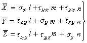
在物体的表面,如已知面力,则边界条件表示为

公式 符号       (4)

这里的 塣、墏、墫表示作用在物体表面的单位面积上的面力矢量的三个分量,l、m、n表示物体表面外法线的三个方向余弦。

如物体表面位移ū、堸、塐已知,则边界条件表示为

u=ū,v=堸,w=塐          (5)

这样就将弹性力学问题归结为在给定的边界条件下求解一组偏侮分方程的问题。

主要解法

式(1)、(2)、(3)中有15个变量,15个方程,在给定了边界条件后,从理论上讲应能求解。但由(2)、(3)式可见,应变分量、应力分量和位移分量之间不是彼此独立的,因此求解弹性力学问题通常有两条途径。其一是以位移作为基本变量,归结为在给定的边界条件下求解以位移表示的平衡微分方程,这个方程可以从(1)、(2)、(3)式中消去应变分量和应力分量而得到。其二是以应力作为基本变量,应力分量除了要满足平衡微分方程和静力边界条件外,为保证物体变形的连续性,对应的应变分量还须满足相容方程:

公式 符号    (6)

这组方程由几何方程消去位移分量而得到。对于不少具体问题,上述方程还可以简化。

在弹性力学中,为克服求解偏微分方程(或方程组)的困难,通常采用试凑法,即根据物体形状的几何特性和受载情况,去试凑位移分量或应力分量;由弹性力学解的唯一性定理,只要所试凑的量满足全部方程和全部边界条件,即为问题的精确解。

从数学观点来看,弹性力学方程的定解问题可变为求泛函的极值问题。例如,对于用位移作为基本变量求解的问题,又可以归结为求解变分方程:

δП1=0         (7)П1是物体的总势能,它是一切满足位移边界条件的位移的泛函。对于稳定平衡状态,精确的位移将使总势能П1取最小值的称为最小势能原理。又如对于用应力作为基本变量求解的问题,可归结为求解变分方程:

δП2=0         (8)П2为物体的总余能,它是一切满足平衡微分方程和静力边界条件的应力分量的泛函。精确的应力分量将使总余能 П2取最小值的称为最小余能原理。(7)式等价于用位移表示的平衡微分方程和静力边界条件,而(8)式则等价于用应力表示的相容方程。在求问题的近似解时,上述泛函的极值问题又进而变为函数的极值问题,最后归结为求解线性非齐次代数方程组。

还有各种所谓的广义变分原理,其中最一般的是广义势能原理和广义余能原理,它们等价于弹性力学的全部基本方程和边界条件。但和总势能П1和总余能П2不同,广义势能和广义余能作为应力分量、应变分量和位移分量的泛函,对于精确解,也只取非极值的驻值。

由于弹性力学的基本方程是在弹性力学的五条基本假设下通过严密的数学推导得出的,因此弹性力学又称为数学弹性力学。而板壳力学则属于应用弹性力学。因为,它除了引用这五条基本假设外,还对变形和应力的分布作了一些附加假设。从这个意义上讲,材料力学也可纳入应用弹性力学。可见,虽然弹性力学和材料力学都研究杆状构件,但前者所获得的结果是比较精确的。

参考书目
  1. 钱伟长、叶开沅著:《弹性力学》,科学出版社,北京,1956。
  2. 徐芝纶编:《弹性力学》,人民教育出版社,北京,1979。
  3. 胡海昌著:《弹性力学的变分原理及其应用》,科学出版社,北京,1982。