机器基础计算模型

为了计算机器基础的振动,目前主要建立了两种模型:基床反力模型与弹性半空间模型。不同模型采用不同参数。

基床反力模型

假定刚性基础位于有弹性而无惯性的地基上,地基是由许多独立的弹簧组成并坐落在一个假想的刚性底层上(图1a),振动限于该范围内发生。

图

基床反力模型把静力的温克勒假定引进了动力范畴。以垂直振动为例,基底处单位动反力P正比于动位移z

Pczz       (1)

式中cz为地基抗压刚度系数,是不随频率改变的常数。

总的动反力  R=(czF)zKzz式中Kz为地基抗压刚度;F为基底面积。

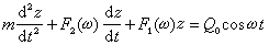
基础的运动方程

公式 符号        (2)

式中m为基础的质量;Q0为扰力幅;ω为扰频率;t为时间。

式 (2)和理想的质量──弹簧体系的模式完全一样。这种模型未能就动力参数Cz建立起理论公式。为取得Cz

(1)要靠查表取得cz的经验值,其余抗剪、抗弯、抗扭刚度系数CxC嗞、Cψ通过与Cz的经验比值求得;

(2)要靠现场试验,过去是采用高低压模自由振动试验,现在出现了一些强迫振动试验的方法。但是,在任何一种试验方法中,Cz都是在不随频率改变的假定下获得的。据此算出的共振曲线与实测共振曲线不尽相符。

四个简单振型的刚度,可按下式求得:

垂直振动时,地基抗压刚度  KzczF

水平振动时,地基抗剪刚度  KxcxF

摇摆振动时,地基抗弯刚度  K嗞=cI1

扭转振动时,地基抗扭刚度  Kψ=cψI1式中I1为对于通过基底形心的水平轴的面积惯性矩;I1为对于通过基底形心的竖直轴的面积惯性矩(亦称极惯性矩)。

弹性半空间模型

视刚性基础位于弹性半空间表面上,弹性半空间是一个各向同性的、均质的、上面有界、以下及左右前后伸至无穷的弹性体,这种模型所涉及的土的范围(不论广度或深度)可扩展至无穷(图1b)。按此模型,以垂直振动为例,基础的动位移与波动力(与动反力相反,是基底传予地基的动力,一般不等于扰力)间具有以下关系:

公式 符号        (3)

式中r0为基础底面折算成圆形时的半径;G为地基的剪切模量;公式 符号;f1f1为位移函数,它们与基础尺寸、地基土的性质及扰动频率有关。

根据式(3)导出垂直振动的动反力公式为

公式 符号      (4)

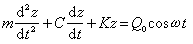
基础垂直振动的运动方程为

公式 符号   (5)

如果取模式 (5)与弹簧常数K、阻尼系数C都不随频率改变的理想的质量-弹簧-阻尼器体系(又名理想集总参数体系)公式 符号对比,可见置于半空间上的基础的模式与理想集总体系模式外形相似而实质不同,即 F1(ω)、F1(ω)不再是常数而是频率的函数,故式(5)可称为等效集总体系的模式,而其相应的F1(ω)、F1(ω)可分别称为等效阻尼、等效刚度。 这样,弹性半空间模型可以转化为等效集总体系模型。这一事实说明:从实用出发,基础-地基体系可以看成是质量-弹簧-阻尼器体系,然而它却不是一个理想集总体系。这个发现推动了半空间理论实用解的发展。现今的比拟法和方程对等法都是在此基础上产生的。

半空间模型已导出参数F1(ω)、F1(ω)的公式可供直接运用。此外,F1(ω)、F1(ω)或f1f1还可通过现场强迫振动试验测得。例如借助于垂直强迫振动利用下式

公式 符号       (6)

可测得各频率时的等效刚度与阻尼。由于它们随频率改变,求出的共振曲线与实测共振曲线吻合。

非线性反应

在扰频率不变的条件下,扰力增大(以频变扰力为例则意味着偏心块重量Wmeɡ与偏心距e的乘积的增大)时,并不保证振幅成正比地(即线性地,如图2a所示)增大,此种动力反应称非线性反应。非线性反应不仅表现为图2b中在任一指定频率时的纵距不是按比例地增大,而且还表现为峰点频率(ωpe)也随We的乘积的变化而变化。机器基础非线性反应之所以出现是因为扰力越大,剪应力和剪应变也越大,结果阻尼比增大,剪切模量减小从而使刚度减小。更确切些说,动力反应的非线性来源于土的应力应变特性的非线性。土的非线性说明弹性半空间理论关于弹性(线弹性)的假定与土的实际性状有出入,因此欲提高预计机器基础动力反应的可靠性,需要计入土的非线性应力应变特性。

图