[拼音]:wuliao banyun
[外文]:materials handling
运用各种动力和搬运机械将物料保质、如数、准时、安全、经济地搬离和运到指定地点。现代物料搬运的重要特征是把物料的搬运同加工、装配、包装、检验等有关过程和场地,作为一个整体的物流系统进行综合考虑和全面安排。在机械工厂的整个物流过程中包含着广泛和繁重的物料搬运作业,形成比其他行业工厂更为复杂的厂内物流系统。它不仅是生产的重要组成部分,也是企业管理不可缺少的信息来源。掌握物流的信息可以及时了解原材料、零部件和产品的品种、数量、质量、位置、生产进度、资金周转等的动态和存在的问题,有助于改进企业管理和提高经济效益。
厂外物料搬运机械工厂的厂外物料搬运与厂址选择和专业化协作有密切关系。厂外物料搬运通常包括公路运输、铁路运输、水路运输等方式。各工厂根据对外交通、原材料供应、专业化协作和产品销售等条件选择运输方式。直达工厂的铁路运输需要修建专用线并自备铁路车辆,往往投资大、占地多。采用水路运输需要在有水运条件下考虑物料性质和来源、产品特点和去向、码头的装卸和转运能力,以及基建投资和水陆转运费用等因素。公路运输在厂外物料搬运中使用最广泛,汽车一般能直达物料储存和使用地点。汽车运输应重视节约能源,改善装卸条件,提高汽车利用率和满载系数,降低运输成本。在现代企业管理中,采用准时生产制的工厂利用汽车将外购原材料和零部件按时直接运到厂内工作地点,准时供生产使用,从而取消中间储存,减少多次搬运,可以显著缩短生产周期和节约流动资金。
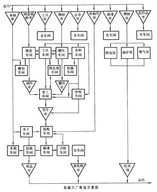
厂内物流系统机械工厂的厂内物流系统涉及全厂的生产计划、工艺流程、搬运作业、仓库管理、信息系统等各个方面。它要求合理安排物料搬运的路线、运量、搬运方法和设备、储存场地、作业人员等,以便加快物流速度(中间停顿少、生产周期短),提高物流质量(物料损耗少、搬运效率高、安全作业好),降低物流费用(包括搬运、储存等有关费用)。图为综合型机械工厂产品制造过程的主要物流系统。机械产品的物流涉及面很广,改善其物流系统的原则是:
(1)对整个物流系统进行系统分析和设计,结合工艺方法和生产管理(如结合柔性制造系统、准时生产制、看板管理法等)的改造,提高全厂经济效益;
(2)减少、合并和取消不必要的搬运作业,改善工厂布置,缩短搬运距离,减少总的搬运量;
(3)研究选用合适的储运方法和储运设备,及时进行设备的维修保养和更新改造,提高储运机械化和自动化水平;
(4)改进物料的包装方法和存放器具,在物流中尽量不使物料直接落地,推广集装单元化搬运;
(5)改善搬运路线上的轨道、站台、码头、道路和地面的质量,为运输创造有利条件;
(6)完善物料搬运的管理制度和信息系统,逐步采用计算机辅助管理,不断提高物流系统的自动化水平和管理水平;
(7)加强对搬运作业人员的操作训练和安全教育,不断提高劳动效率。
在机械工厂中,各加工工序、物料存放地之间相互传递的物料通常码放在托盘或料箱中,可以成盘成箱地进行单元化搬运,既能减少劳动量和避免物料磕碰损耗,也便于计数查看。随着机械产品的生产自动化水平不断提高,包括机械手和工业机器人的推广应用,物料的搬运作业与加工过程关系越加密切,物流系统的管理也越重要。
物料搬运机械可供机械工厂选用的厂内物料搬运机械种类繁多。为了充分发挥各类搬运机械的潜力,必须重视配备必要的辅助机具,如托盘、货箱、吊具、夹具、跳板、平台、维修设施、通信设备和称重计量器具等。同时,要为各项物料搬运作业建立符合工效学原理的人-机-环境系统,保证操作人员安全、健康、舒适地工作。