[拼音]:leida mubiao jiemianji
[外文]:radar cross section of target
目标向雷达接收天线方向散射电磁波能力的量度。它是一个等效的面积,当这个面积所截获的雷达照射能量各向同性地向周围散射时,在单位立体角内的散射功率,恰好等于目标向接收天线方向单位立体角内散射的功率。雷达目标截面积具有面积的量纲,常用单位是平方米或平方波长。用σ 表示雷达目标截面积, 则可写为
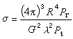
这是雷达目标截面积的实验定义式。σ 是雷达基本方程中的一个因子。已知发射功率Pt,发射和接收天线增益G,波长λ,目标到雷达的距离R,则雷达接收天线截获的功率为
若测出接收功率Pr,则雷达目标截面积的公式为
这是实验测定雷达目标截面积的基本公式。雷达目标截面积的理论定义式为
式中Ei为雷达在目标处的照射场强;Er为目标在接收天线处的散射场强。因为雷达发射球面波,只有在满足远场条件(概略地说即当目标距离足够远时)目标在接收天线处的散射波才近似地表示为平面波。雷达目标截面积的这一定义与距离无关。一个具体目标的雷达截面积与目标本身的几何尺寸和形状、材料、目标视角、雷达工作频率及雷达发射和接收天线的极化有关。当其他条件不变时,目标尺寸越大,雷达截面积也越大。对于一定的雷达频率和固定的视角,目标的雷达截面积决定于极化。在远场和线性散射条件下,雷达目标截面积与极化的关系可表示为矩阵,称为雷达目标的散射矩阵。
在理论上,把物体的边界条件代入麦克斯韦方程即可计算出雷达目标截面积,但仅在物体具有简单的几何形状的情况下才能得出精确解。例如,良好导电的球体,其雷达目标截面积与观察方向无关,对极化也不敏感,但与波长有密切关系(图1)。当球的周长小于波长时,雷达目标截面积与波长的四次方成反比。这是尺寸比波长小得多的任何物体所具有的散射特性。这一区域称为瑞利区。当波长小于球体周长的十分之一时,球体的雷达截面积与波长无关,且恰等于球体的光学截面积πr2(r 为半径)。这一区域称为光学区。两者之间的区域(1<2πr/λ<10)称为谐振区或玛依区。
获得复杂形状物体的雷达截面积的常用方法之一,是测量来自目标本身和雷达截面积为已知的物体的回波功率。进行这种测量时须对雷达接收机进行仔细的校准和标度,还须控制实验环境,避免背景散射等因素对测量精度的影响。图2为一架中等大小的老式双引擎轰炸机在10厘米波长上的雷达截面积与方向角的函数关系。图中表明,复杂目标的雷达截面积随方向角而急剧变化。复杂目标的雷达截面积也可以在保持远场条件(R≥2D2/λ,D为试验模型的最大尺寸)下,用缩小的模型和同样比例的波长在室内进行测量。
对于复杂目标,在雷达工作条件下目标方向角是不稳定的,因此应把雷达目标截面积看作为随机量,并用概率密度和相关函数表示(见雷达目标噪声)。通常所说的雷达目标截面积指的是统计期望值。