工程热力学

热力学的一个分支,主要从工程技术的角度研究热能和机械能相互转化的规律。飞行器上所用的各种类型动力装置都是将热能转变为机械能的热机工程热力学是研究热机的重要理论基础,使热机更有效地将热能转变为机械能。

热机中热能和机械能的相互转化必须通过某种工质(工作介质)的作用才能实现。描写工质宏观状态的参数称为状态参数,例如压力(P)、温度(T)、比容(V)等。任何气体给定两个状态参数以后,其他状态参数即可确定。工质状态连续变化的过程称为热力过程。如果热力过程逆向进行后能使工质回复到初始状态,而不留下变化的痕迹,这样的热力过程称为可逆过程。实际过程逆向进行后都会留下变化的痕迹,都是不可逆的过程。工质的状态经一系列变化后又回复到初始状态的过程,称为循环过程,简称循环。

发动机理想循环

飞行器使用的发动机主要有活塞式航空发动机,燃气涡轮发动机和化学推进剂火箭发动机等类型。在研究发动机循环时,通常忽略一些实际存在的次要因素,假定循环是可逆的,且工质是理想的,其成分不变,这种循环称为理想循环。通过对各种发动机理想循环的分析,可以对比各种发动机的热力性能并寻求提高发动机热效率的途径。热效率表示热能在热机中转变为机械能的程度。

活塞式航空发动机理想循环

汽油和空气所组成的混合气首先进入汽缸(图1a),被活塞压缩后点火燃烧,形成高温高压燃气,这一燃烧过程的时间很短,可理想化为等容加热。高温高压燃气膨胀,推动活塞对外做功,最后将废气排入大气。上述实际工作过程经理想化后得到活塞式航空发动机的等容加热理想循环(图1b)。图中1-2为绝热压缩过程,2-3为等容加热过程,3-4为绝热膨胀过程,4-1为等容放热过程,这一理想循环的热效率为:

公式 符号

式中ε为压缩比(v1/v2);k为定压比热与定容比热的比值(Cp/Cv)。

图

燃气涡轮发动机理想循环

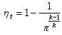
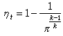
空气从进气道进入压气机,被压缩后进入燃烧室,与燃料混合在接近等压情况下燃烧而形成高温燃气,然后通过涡轮膨胀做功,最后通过喷管继续膨胀至外界大气压。理想化后的燃气涡轮发动机的等压加热理想循环可用PV图(图2 )来表示,图中0-1为进气道中绝热压缩过程,1-2为压气机中绝热压缩过程,2-3为燃烧室中等压加热过程,3-4为涡轮中绝热膨胀过程,4-5为喷管中绝热膨胀过程,5-0为大气中等压排热过程。这一理想循环的热效率为:

公式 符号

π为增压比(P2/P0) 或膨胀比(P3/P5)。

图

化学推进剂火箭发动机理想循环

推进剂在燃烧室中燃烧形成高温高压燃气(图3a),然后通过喷管膨胀,以高速喷出而产生反作用推力。化学推进剂火箭发动机的理想循环见图3b。由于推进剂的比容V与空气比容相比小得可以忽略,故0-2在P-V图上与纵坐标重合。2-3为燃烧室中等压燃烧过程,3-5为喷管中绝热膨胀过程,5-0为对外界等压排热过程。这一理想循环的热效率为:

公式 符号

式中π为喷管中的膨胀比(P3/P5)。

图

从以上三种发动机的理想循环热效率公式可以看出,热效率随着增压比或膨胀比数值的增加而增加。提高发动机热效率的途径是尽可能地提高发动机循环的绝热压缩过程的增压比或绝热膨胀过程的膨胀比。为了达到这个目的,必须首先提高高温热源的温度。

参考书目
  1. 王补宣主编:《工程热力学》,人民教育出版社,北京,1981。