[拼音]:zuida shangfa
[外文]:maximum entropy method
对信号的功率谱密度估计的一种方法。1967年由J.P.伯格所提出。其原理是取一组时间序列,使其自相关函数与一组已知数据的自相关函数相同,同时使已知自相关函数以外的部分的随机性最强,以所取时间序列的谱作为已知数据的谱估值。它等效于根据使随机过程的熵为最大的原则,利用N个已知的自相关函数值来外推其他未知的自相关函数值所得到的功率谱。最大熵法功率谱估值是一种可获得高分辨率的非线性谱估值方法,特别适用于数据长度较短的情况。
最大熵法谱估值对未知数据的假定
一个平稳的随机序列,可以用周期图法对其功率谱进行估值。这种估值方法隐含着假定未知数据是已知数据的周期性重复。现有的线性谱估计方法是假定未知数据的自相关函数值为零,这种人为假定带来的误差较大。最大熵法是利用已知的自相关函数值来外推未知的自相关函数值,去除了对未知数据的人为假定,从而使谱估计的结果更为合理。
熵在信息论中是信息的度量,事件越不确定,其信息量越大,熵也越大。对于上述问题来说,对随机过程的未知的自相关函数值,除了从已知的自相关函数值得到有关它的信息以外,没有其他的先验知识。因而,在外推时,不希望加以其他任何新的限制,亦即使之“最不确定”。换言之,就是使随机过程的熵最大。
最大熵法功率谱估值表达式
最大熵法功率谱估值的表达式为
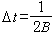
式中PM为M阶预测误差滤波器的输出功率;B为随机过程的带宽;
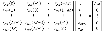
为采样周期;ɑm(m=1,2,…,M)由下式决定:
式中rNx(M)为已知的随机过程的自相关函数值。
从功率谱估值的表达式可以看出,最大熵法与自回归信号模型分析法以及线性预测误差滤波器是等价的,只是从不同的观点出发得到了相同的结果。
由已知信号计算功率谱估值的递推算法
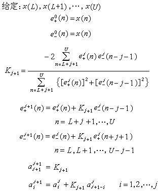
应用上述的谱估值表达式进行计算时,需要知道有限个自相关函数值。但是,实际的情况往往是只知道有限长的时间信号序列,而不知道其自相关函数值。为了解决这个问题,J.P.伯格提出了一种直接由已知的时间信号序列计算功率谱估值的递推算法,使最大熵法得到广泛的应用。递推算法如下:
递推算法只需要知道有限长的时间信号序列,不须计算其自相关函数值,所得的解保证是稳定的。但是,其解只是次优解。
应用递推算法往往使谱估值出现“谱线分裂“与“频率偏移”等问题,因而,又有各种改进的算法。其中,较著名的有傅格算法和马普尔算法,但是所需的计算量较大。另外,在有噪声的情况下,如何选定阶数仍有待进一步探讨。