周期图法

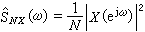
一种信号功率谱密度估计方法。它的特点是:为得到功率谱估值,先取信号序列的离散傅里叶变换,然后取其幅频特性的平方并除以序列长度N,即

公式 符号   (1)

公式 符号    (2)

由于序列x(n)的离散傅里叶变换X(公式 符号)具有周期性,因而这种功率谱公式 符号也具有周期性,常称为周期图。早期的统计学者曾利用这种方法从大量的数据中寻找隐藏的周期性的规律。周期图是信号功率谱的一个有偏估值;而且,当信号序列的长度增大到无穷时,估值的方差不趋于零。因此,随着所取的信号序列长度的不同,所得到的周期图也不同,这种现象称为随机起伏。由于随机起伏大,使用周期图不能得到比较稳定的估值。一些学者对此作了改进。

为了减小随机起伏,M.S.巴特利特提出平均周期图法,即先把信号序列分为若干段,对每段分别计算其周期图,然后取各个周期图的平均作为功率谱的估值。平均周期图可以减小随机起伏,但是,如果信号序列不是足够长,由于每段序列长度变短,功率谱估值对不同频率成分的分辨能力也随之下降。另一种改进方法是将周期图与一个适当的频域窗函数相褶积,从而对周期图产生平滑作用,以减小随机起伏。加窗处理的结果虽然可以使随机起伏减小,但也会使周期图的分辨能力下降。

P.O.韦尔奇提出一种把加窗处理与平均处理结合起来的方法。先把分段的数据乘以窗函数(进行加窗处理),分别计算其周期图,然后进行平均。韦尔奇方法是较常用的一种计算方法。为了得到较好的功率谱估值,加窗和平均处理均应兼顾减小随机起伏和保证有足够的谱分辨率两个方面。

周期图法的优点是能应用离散傅里叶变换的快速算法来进行估值。对利用式(1)、(2)得到的功率谱估值进行傅里叶反变换,可以得到信号的自相关函数估值。这种方法适用于长信号序列的情况,在有足够的序列长度时,应用改进的周期图法,可以得到较好的功率谱估值,因而应用很广。

参考书目
  1. A.V.Oppenheim and R.W.Schafer,Digital SignalProcessing,Prentice-Hall,Inc.,Englewood Cliffs,New Jersey,1975.