酸碱催化剂

指因物质的酸、碱性质而发生催化功能的催化剂,它们能使反应物转变为离子型活化了的过渡状态,从而发生催化作用。按催化剂在使用时的状态,可分为液体酸碱催化剂和固体酸碱催化剂,前者多用于液相催化反应系统。若催化剂在溶液状态中使用,其催化活性有时与溶剂的性质有关。多数液态酸碱催化剂为化学药剂或由用户自配制成的溶液,它们常有腐蚀性,在贮运时必须注意。使用液态酸碱催化剂,在其反应终了时,要将催化剂与反应混合物分离;而用固态催化剂时,流体反应物与固体催化剂各自成相,生产工艺简单。多数固体酸碱催化剂为催化剂工业的产品,最广泛使用的是固体酸催化剂。

酸碱催化剂种类繁多,可按酸碱的性质分两大类,即质子酸碱(亦称布朗斯台德酸碱,简称B-酸、B-碱)催化剂,能放出质子者为酸催化剂,接受质子者为碱催化剂;另一类为路易斯酸碱(简称L-酸、L-碱)催化剂,其中能接受电子对者为酸催化剂,能给予电子对者为碱催化剂。

B-酸催化剂

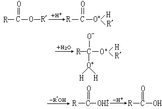
如盐酸、硫酸、磷酸、三氯乙酸等。例如酯的水解,其作用机理如下:

公式 符号 B-碱催化剂

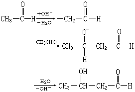
氢氧化钠氢氧化钾碳酸钠等。例如在氢氧化钠的水溶液中,乙醛发生醇醛缩合反应

公式 符号 L-酸催化剂

三氯化铝三氟化硼三氧化硫、硫酸铜、二氯化锡、H+、R+等,如以三氯化铝为催化剂,可催化卤代烷与苯的烷基化反应

公式 符号 L-碱催化剂

NH3、RNH2、ROH、RONa、OH-、R-等,如NaNH2-NH3(-33.5℃)可使苯乙烯聚合:

公式 符号 超强酸催化剂

为B-酸与L-酸结合成的催化剂,具有很高的酸强度,如FSO3H-SbF5、HF-SbF5等;以前者为例,催化剂中有[FSO3H2]+,是很强的质子施主,它能使烷烃变成正电荷非定域的五配位正烃离子,如:

公式 符号

从而使烷烃在低温下异构化

酸-碱双功能催化剂

借助酸催化与碱催化的协同作用而发挥催化功能的催化剂。如由苯酚与吡啶组成的混合催化剂,使葡萄糖旋光转化反应的速度高于使用单一催化剂时的速度,当 α-四甲基葡萄糖在苯溶液中旋光转化反应时α-羟基吡啶是高效催化剂。

酸碱催化剂广泛地用于水合、脱水、水解、酯化、聚合、缩合、解聚以及烃类的裂解、异构化、歧化、烷基化等反应中。其催化行为与酸碱强度、浓度等因素有关,有些情况亦与催化剂的结构有关。