缩合

两个相同分子或不同分子之间形成一个新键的反应过程。过程中常放出NH3、H2O、HCl等简单分子(但也有不放出的,如醇-醛缩合)。反应所用的催化剂通常为酸、碱、氰化物离子或络合金属离子。两个相同分子之间的缩合反应称自缩合反应,例如几个分子相同的醛、酮、酯和胺之间发生自缩合,它们大多数形成有机合成的中间物(除胺外)。醛和酸酐、酰氯和胺等之间也能进行缩合反应结果形成相应的羧酸和酰胺等一系列产品。工业上重要者有以下三类:

醛-醛缩合

相同的醛或不同的醛在稀碱液的催化作用下可生成β-羟基醛,例如:

CH3CHO+CH3CHO─→CH3CHOHCH2CHO

β-羟基醛若加氢可得1,3-二醇,若脱水可得αβ-烯醛,再加氢得醛或醇。例如:从乙醛可得丁醛和正丁醇,从丁醛可得2-乙基己醇

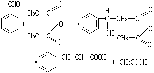
醛-酐缩合

苯甲醛与醋酐在无水醋酸钠的催化作用下加热进行缩合-脱水得β-苯基丙烯酸月桂酸):

公式 符号

类似地,水杨醛与醋酐缩合、脱水、内酯化,可得香豆素

公式 符号 酯-酯缩合

通过酯-酯缩合可得一系列β-酮酸酯。例如两分子醋酸乙酯在乙醇钠的催化作用下脱醇缩合得乙酰乙酸乙酯

CH3COOC2H5+HCH2COOC2H5公式 符号CH3COCH2COOC2H5+C2H5OH

若起始的分子含有两个官能团(例如αω二酸或二胺),分子间发生多次缩合,又称缩聚(见聚合)。

参考文章