[拼音]:wangluo zonghe
[外文]:network synthesis
根据给定的输入激励和输出响应来确定网络结构及其中的元件值的方法。自1915年电气滤波器发明以来,网络设计问题开始受到人们的注意。1942年美国R.M.福斯特公布了电抗定理,1926年德国W.考尔解决了电阻、电容或电阻、电感类两元件的二端网络综合的问题。1931年美国O.布隆纳提出RLC三类元件二端网络综合法,其后发展成四端网络综合、有源网络综合等分支。
电抗二端网络综合
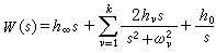
任何由电感、电容元件组成的二端网络的输入阻抗或输入导纳W(s)必定是下列形式的电抗函数
式中h0、hv、h∞、ωv都是正数,s=jω为频率变量,反之,电抗函数必能综合成图1的二端网络。
二端网络综合
由电阻、电感、电容组成的任意二端网络,它的输入阻抗或输入导纳W(s)必定是一个正实函数,即当s为实数时W(s)为实数,并且当s的实数部分大于或等于零时,W(s)的实数部分也大于或等于零。布隆纳综合法是先分离W(s)在s=jω轴上的极点和零点,这相当于分离出图2a和 b中的元件,剩下的W1(s)和W2(s)为次数比W(s)低的正实函数。找出它们在s=jω轴上实部的最小值,把这个最小值作为一个电阻分出(图2c),接着可分出图2a中的一节布隆纳网络,剩下的W4(s)次数比W3(s)低二次。反复以上步骤,综合出网络的输入阻抗或输入导纳就是给定的W(s)。布隆纳综合法一般需要出现理想变压器。1947年美国R.波脱和R.J.都汶两人提出一种无理想变压器的二端网络综合法。
电抗四端网络综合法
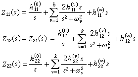
四端网络需要利用阻抗参数(Z11、Z12、Z21、Z22)、导纳参数(Y11、Y12、Y21、Y22)或锁链参数(A、B、C、D)描述网络的输入电压U1、输入电流I1与输出电压U2、输出电流I2的关系。这些输入、输出电量和网络参数都是复变量s=σ+jω 的函数。电抗四端网络的阻抗参数具有下列形式,并可实现如图3的网络


利用A、B、C、D参数可使电抗四端网络成锁联形式,在一般情况下除出现如图2d的布隆纳网络节外,还会出现如图4参数网络综合等方法。的达林顿网络节(美国人S.达林顿所提出)。这些综合法不可避免地要出现理想变压器或互感。从40年代起人们就一直在寻求不使用理想变压器的网络综合法。在四端网络综合的基础上,还发展出大野克郎的2n端网络综合法、闵乃大的损耗元件网络综合法,以及分布参数网络综合等方法。
有源网络综合
除无源元件外,如果允许采用负电阻、负阻抗变换器(见有源滤波器)、受控电源等有源元件来实现网络,这便是有源网络综合。理想回转器虽属无损耗无源元件,但须用有源元件来实现。采用回转器的网络综合,一般也作为有源网络综合。在有源网络综合中,正负电阻、正负电感、正负电容和高阶电抗(jω)nL、1/(jω)nC 都是基本元件,因此综合方法比较直接。如利用负阻抗变换器(图5),则可用电容来实现正负电感,也能把任意的分式函数W(s)=P(s)/Q(s)作为图6的输入阻抗或输入导纳。
1953年美国J.G.林维尔提出用图7a的综合法实现开路传输函数T(s)=E2/I1,后来人们又提出许多综合方法。图7b是用负阻抗变换器来实现T(s)=U2/U1的方法,图7c是用受控电源来实现T(s)=U2/U1的。
时间域网络综合
直接根据激励和响应的时间函数进行的网络综合。但在时间域上描述网络性态的是一组微分方程,对于线性网络来说不及频率域的代数方程组运算方便,且频率域网络综合已有许多方法可供使用,所以通常还是把时间函数经傅里叶变换或拉普拉斯变换转换到频率域来进行网络综合(图8)。
逼近
网络综合理论中的一个组成部分,是使频率函数或时间函数符合一定的偏差要求并同时满足网络实现的条件。理想滤波器在通带内的衰减应全部为零,但这不能实现,只能逼近。对于滤波衰减特性,常使用逼近点附近具有最平坦性质的勃脱华斯特性(图9a)或通带内偏差最大值全部相等的契贝舍夫特性(图9b)。理想延迟网络的传输函数是
,它不是有理函数,常用P(-s)/P(s)形式的有理函数加以逼近,其中P(s)是零点全在 s平面左半面的多项式,它用于有限多元件的网络。在网络综合中,还常用正交函数展开、连分式展开、然后截取有限项等逼近方法。
网络等效
经过逼近和综合的网络常因算出的元件值或网络形式不合适,需要把网络等效成实用的网络。图10列出三种常用的网络等效变换。
网络综合的进展基于许多数学结果的成功应用。随着半导体元件、非线性元件、分布参数元件等的广泛使用,有源网络、时变网络、非线性网络和微波网络的综合会得到进一步的发展。在方法上,仍将重视数学结果的新的应用;在设计上,将更多地依靠计算机辅助设计;在实现上,网络的集成化是发展趋势。
- 参考书目
- 喜安善市、大野克郎、池野信一:《回路网理論》,岩波書店,東京,1957。
- E.A.Guillemin,Synthesis of Passive Networks,Wiley,New York,1957.