[拼音]:jinshu zhong de kuosan
[外文]:diffusion in metals
晶体中平衡位置上快速振动的原子,可借热激发获得能量,克服势垒而迁移到近邻位置,这样的原子迁移现象叫做原子扩散。因为热能的定域涨落是随几的,所以由热激发引起的原子迁移也是随几漫步型的布朗运动。扩散是固体中惟一的一种传质过程。绝大多数高温固态反应,如固溶、沉淀、相变、再结晶,晶粒长大、蠕变、烧结、压焊等都是借固态扩散过程完成的。完整晶体中的原子不能扩散,扩散过程必伴随着点缺陷(包括点阵空位、自填隙原子、填隙杂质原子)的输运。空位和自填隙原子可由热激发产生,所以常称为热缺陷,它们也会在较低温度下辐照或范性变形时产生,并冻结在晶体之中(见晶体缺陷)。
扩散方程
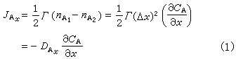
图1示晶体具有单位截面积时,扩散原子A沿扩散方向x的浓度分布。在扩散区内和x 轴正交的两个相邻原子面Ⅰ和Ⅱ上分别有nA1和nA2个A原子(单位面积上A原子的浓度)。若A原子每次可以任意向+x或-x方向跳跃,跃迁距离沿x 轴的分量为Δx,跃迁频率为Γ,则每秒自Ⅰ跳到Ⅱ的A原子数为
,自Ⅱ跳到Ⅰ的A原子数为
,净流过中间虚拟平面S的扩散通量
为:
式中CΑ为每单位体积中的A原子数;
是浓度梯度;负号表示扩散流朝向浓度低处;
是扩散系数。上式表明:每秒流过与扩散流正交的单位截面的扩散物质的量,正比于垂直这个截面的浓度梯度,这是斐克(FicK)第一定律。
图2示出在具有单位截面的试样中A原子的浓度分布。在体积元dx内,A原子的积聚速率为
;而流过平面Ⅰ和Ⅱ的扩散通量之差则为
。按照质量守恒定律,两者应相等。将
用泰勒级数展开,取其领先两项得:
(2)
故
(3)
代入式(1)得:
(4)
上式是有浓度梯度存在时的扩散方程,也就是斐克第二定律,此时扩散伴随着宏观的质量输运。D是浓度的函数,叫做化学扩散系数或互扩散系数,常用符号愗 表示。
在没有浓度梯度存在的情况下, 如纯金属 A加热后,也可根据热激活的A原子的随几漫步,推导出扩散方程:
(5)
其中DAA是随几漫步(无浓度梯度)的扩散系数,叫做真扩散系数。
扩散方程的解法应该指出,斐克第一定律,是根据扩散漫步过程推导出来的流量方程,第二定律实质上仅为流量连续方程,式(5)是经典的导热方程。历史上曾经将热视为物质粒子,热自高温区向低温区的传导,则被看成是物质粒子自高浓区向低浓区的流动,所以扩散方程和导热方程在数学上是无可区别的。按照斐克第二定律,若初始的浓度分布C(x,0)已知,若能测出扩散热处理t秒后的浓度再分布C(x ,t),可以根据具体的初始条件和边界条件,用式(4)或(5)解出扩散系数D。
在测自扩散系数或测稀固溶体中溶质的化学扩散系数时,D和浓任薰兀捎檬(5)求解。实验时在长棒一端面上(x=0),镀一极薄层总量为M的放射性同位素,扩散热处理t秒后切成很多薄片,测出每片的放射性活度(正比于浓度C),每片中心至端面的距离为x。初始条件t=0:C=C0,当x<0;C=0,当x>0。扩散沿+x方向进行,经时间t后,示踪原子所扩散的距离(4Dt)1/2≤1mm«试棒长度。这样的实验条件,叫做一维的半无限大扩散(平面源),有边界条件t>0:C=0,当x=+∞[即x»(4Dt)1/2]。此时式(5)之解为:
(6)
即 
用lnC 对x2作图,得一直线,其斜率的负数为
,已知t,可求D。
在浓固溶体中,溶质的化学扩散系数是浓度的函数,因此须用式(4)求解D。一个经典的方法是玻耳兹曼俣野(Boltzmann-Matano)解法。先用玻耳兹曼的坐标变换,令η=x/t1/2,将C(x,t)变换成C(η),式(4)成:
(4a)
实验时用AB合金(CΑ=C0)和纯金属B(CΑ=0)焊成扩散偶,扩散热处理t秒后,使扩散距离(4Dt)1/2«扩散偶长度,即成为一维无限大扩散偶,测得扩散区的浓度分布曲线如图3所示。此时的边界条件(t>0):扩散区之外(|x|»(4Dt)1/2,x=-∞,C=C0,dC/dx=0;x=+∞,C=0,dC/dx=0。用俣野图解法求D,将(4a)变换回x 坐标,并以浓度积分无限大扩散的边界条件给出:
,因此可定出x=0平面的位置,此平面(俣野界面)左边流出之A原子数,等于流入界面右边的A原子数(图中界面两边划斜线的两块面积相等)。图解法积分后,浓度为C'的扩散系数:
(7)
为曲线上浓度为C'点的切线斜率的倒数,
为交叉线块的面积,t已知, 故由式(7)可求出任一浓度C'的扩散系数D(C')。
扩散机制
设扩散原子有Z条跃迁途径,则立方晶系的扩散系数可表示为:
式中λ为跃迁途径的长度;Z、Γ和λ与晶体种类、扩散原子品种和扩散机制有关。实验证明,固态金属中有两种扩散机制:
间隙机制在间隙固溶体中,尺寸小的溶质原子占驻间隙位置(见合金相)。在体心立方金属中,填隙溶质原子处于八面体间隙,如图4中,1、2、3、4、5、6六个原子所围成的八面体的间隙A。A到1、2原子和到3、4、5、6四个原子的距离不等。溶质原子只须将1、2原子挣开,3、4、5、6原子便自发地做泊松(poison)收缩,以便和溶质原子接触。溶质原子在此位置上的势能很低,有两类对等的八面体间隙位置,即图4中的
和
,图中○表示的都是八面体间隙。扩散时溶质原子在这两种间隙中交叉跳跃前进。八面体间隙有 4个最近邻位置,跃迁途径Z=4,跃迁距离
,a为晶胞边长,所以
。
面心立方金属中的填隙溶质原子,处于晶胞的体心和12条棱边的中点,有12个最近邻位置(Z=12),相距
,所以D=a2Γ。立方晶系的各种扩散系数,都列于表。立方晶系的D是标量,所以此时扩散是各向同性的。
在体心立方金属中(图4),a填隙溶质原子自A向C迁移时,逐渐和5、6原子接近,势能逐渐升高,到AC的中点B,便和1、2、5、6四个原子等距离,即溶质原子处于1、2、5、6的四面体间隙中。在此位置上,它必须同时顶开四个角原子,因此势能很高(图4b)。B点的位置,叫作扩散路程中的鞍点,势能最高。B和A二位置的势能差E",是扩散时必须越过的势垒,此能量须由热骚动供给。若原子的振动频率为Γ,其中振动热能每秒超过E"的次数为Γexp(-E"/kT),此即为扩散原子跃迁的频率Γ。在填隙杂质的扩散中,E"便是扩散激活能Q,故
(8)
同理可推出面心立方金属中的间隙扩散系数:D=a2Γ·exp(-Q/kT) (9)
空位机制
代位合金或纯金属都借空位机制扩散。图5a示体心立方金属的空位扩散模型,V代表空位,S代表代位原子,扩散时后者跳入空位。当S跳到
λ路程时,到达由1、2、3三个原子构成的三角形的中心,这时它和1、2、3三个原子挤得最紧,但它必须挣开此三个原子,方得继续前进,因此这一点是鞍点,当S原子跳到
λ路程,又遇到4、5、6 原子围成的另一个鞍点。沿扩散路程的势能变化,示于图5b,有高为E"的双势垒。
有8条跃迁途径,跃迁时S原子的最近邻必须有空位存在。任一结点出现空位的几率等于空位浓度nv
式中S媙和E媙为空位形成熵和形成能,扩散系数D为
扩散激活能Q,包括空位形成能E媙和空位迁移能E",面心立方金属的空位机制扩散系数D的表达式和上式相同。
在六方晶系金属中,扩散时有两种跃迁途径:在同一个底面上跃迁和向它的上下二相邻原子面上跃迁。两种跃迁途径的长度不同,鞍点环境状态不同,所以λ 和Γ 都不同。有两个扩散系数,平行于c轴的D∥和正交于c轴的D寑,
,所以扩散呈各向异性,就空位机制而论,可得:
(11)
对密排六方金属,
,若
,则D寑=D∥。事实上密排六方金属的Γ寑>Γ∥,所以一般D寑>D∥。
关联效应
填隙溶质原子在体心立方金属中扩散时,自图4的A位跳到C位后,近邻环境起了变化。从伸长x3、缩短x1和x2,改变为伸长x2、缩短x1和x3,即改变了四方对称轴的取向,以适应自身挤入两种八面体间隙,过程中还含着缺陷近邻原子的弛豫。扩散原子跃迁的频率Γ=Γ·exp(-E"/kT),已知Γ=1013 s-1,设E"=1eV,则当T=500K时,Γ≈103s-1,即填隙原子每振动1010次,其中只有一次能冲过势垒顶进入C位。所以原子在连续两次跳跃之间,相隔着1010次振动,足够清除它原先在A位的记忆。下一次自C位起跳时,该原子跳入四个最近邻间隙的几率均等,足见连续两次跳跃的方向是不关联的。
纯金属A以空位机制自扩散时,第一次A原子跳入空位,和空位交换位置。第二次跳跃时,空位的任一个近邻A原子,跳入空位的几率均等,所以A原子连续两次跳跃的方向是不关联的。空位跳n次的位移均方值,和A原子跳n次的位移均方值相等,即空位的扩散系数,等于A原子的真扩散系数DAA。
代位合金原子以空位机制扩散时,情况就不同。第一次合金原子跳入空位,和空位交换位置。第二次跳跃时,要使合金原子连续两次跳跃的方向不关联,必要的条件是合金原子的各最近邻位置,出现空位的几率均等。这要求能将空位迁移到合金原子的任一个最近邻位置上去,须由溶剂原子跳入空位来完成,这就需要一个等待的时间,此时间与合金原子做连续两次跳跃的间隔同一个数量级,所以合金原子第二次跳跃时,空位仍留存原位的几率很大。合金原子很易跳回原位。这样,它连续两次跳跃的方向是关联的,对扩散没有贡献。
示踪原子的空位机制扩散是有关联效应的。因为既然标记出示踪原子,就是将它们作为另一品种的原子来辨认,因此和代位合金原子一样,有关联效应。
各种扩散系数之间的关系
自扩散系数和真扩散系数用示踪原子A"在纯金属A上做扩散实验,可从A"的放射性活度分布中,求得A"的扩散系数DA*A*,叫作自扩散系数。前面已经讲过,示踪原子以空位机制扩散时, DA*A*有关联效应,而纯金属A的真扩散系数DAA是没有关联效应的,所以DA*A*=DAA-DA*A,交叉项DA*A是由关联效应引起的。
DAA,中f叫做关联因子,f<1,交叉项
,Z是最近邻原子数。
以铜锌二元系的互扩散为例,用30%锌的黄铜和铜扩散偶,界面上排列细钼丝做标桩,均匀化扩散后标桩向黄铜一边推移,这个现象叫做哈脱莱-克肯达耳(Hartley-Kirkendall)效应。原因是锌和铜两种原子沿相反方向扩散时,锌原子比铜原子扩散得快,即|JZn|>|JCu|,而JZn+JCu+Jv=0,故有多余空位流Jv流向黄铜一边,由此而引起的体积收缩,促使标桩向这边推移。所以二元合金互扩散时,组元的分扩散系数(即本征扩散系数)不相同。从扩散实验测出组元的浓度分布,可用上节玻耳兹曼-俣野法,求出各种浓度梯度及其相应的化学扩散系数愗,愗=NZnDCu+NCuDZn,愗是浓度的函数,式中NZn、NCu各为锌、铜的摩尔分数浓度,NZn+NCu=1;DZn、DCu各为锌、铜的本征扩散系数。可以看出,上节解法中虚拟的俣野界面,以恒定速率向黄铜一边推移,相应于标桩移动的速率
,此速率可实验测出,扩散过程中标桩平面的浓度守恒,不随时间而变。已知v和愗,可以用上面公式解出本征扩散系数DZn和DCu。
扩散驱动力和上坡扩散
其实化学扩散的驱动力并不是浓度梯度дC/дx,而是化学势梯度дC/дx,热平衡时合金中化学势处处相等,否则原子要从高势能区扩散入低势能区。多元合金中组元i的化学势
式中N为阿伏伽德罗常数,Ni=NMi,Mi为组元i的摩尔分数;右边第二项由混合熵引起,组元i的化学势:
(12)
因Mi<1,第二项恒为负值。
以AB二元合金为例,设溶质A的浓度高,无序固溶体中A原子可与B原子相邻产生A-B键,也可与A原子相邻产生A-A键,A原子的点阵能是A-A和A-B二种键能的平均值。A原子在富A区的A-A键数必较在贫A区为多,若A-A键的结合能远大于A-B键结合能,则富A区的дw/дNΑ比贫A区低,在较低温度下,式(12)第二项二区的差别小,这就有可能使富A区的μΑ比在贫A区小,此时A原子趋于富集, 即A原子自贫区扩散到富区。这样的扩散,称为上坡扩散(up-hill diffusion)。固溶体的共析分解(见固态相变),必含有上坡扩散过程。
在合金中,组元i的本征扩散系数Di=BikT×
,其中Bi为组元i的迁移率,即在单位驱动力的作用下,i原子的扩散速率;γi为组元i的活度系数。上坡扩散的条件是
,相当于
。