[拼音]:guannei liudong
[外文]:pipe flow
流体在充满管道时的纵向流动,简称管流。管流是粘性不可压缩流体动力学的主要研究内容之一。工程上通常要求解决的管流问题,是用多大的功率才能使要求的流体流量连续地通过给定直径的管道;或者说要求计算管道流动的总水头损失Δh,核算体积流量和经济的管道水力直径d。
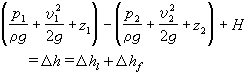
对于粘性不可压缩流体的定常管流,常用如下的能量方程来分析
式中下角标1、2表示核算管段的进、出口,括号中各项依次代表静压水头、速度水头和位置水头;H为外界输向流体的机械能水头;
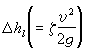
和
分别为流动中的局部水头损失和沿程水头损失,其中 l为管长。局部水头损失反映由于流道变截面或拐弯引起的涡流耗散损失。ζ 称为局部水头损失系数,通常由实验确定,以经验式或图表给出。沿程水头损失反映流体与管壁间的摩擦损失。λ 称为沿程水头损失系数,由理论和实验方法求得,工程上可根据雷诺数(Re)和管壁粗糙程度查人工粗糙壁管道和工业管道的沿程阻力系数图(图1、 2)。这两种沿程阻力系数图是J.尼库拉德塞和L.F.穆迪分别建立的。
管网计算时,常需要对上述能量方程、局部和沿程水头损失的经验式或图表与连续方程(见流体动力学基本方程)一起联合求解。复杂管网一般可分解为串联和并联两种基本方式,这样就可以方便地算出整个管网的有关数据。