[拼音]:xiangji chuanzhi
[外文]:interphase mass transfer
两相接触时,由于某物质在两相中的化学位不同,引起该物质由一相向另一相的质量传递,这是化工生产中最常见的对流传质方式。如在精馏和吸收过程中,物质在汽(气)相与液相之间传递;在萃取过程中,物质在两液相之间传递。
吸收过程中,组分由气(y)相主体传递到与之接触的液(x)相主体的历程分为三步(见图):
(1)组分由气相主体传递到气相边界;
(2)组分穿过界面从气相进入液相;
(3)组分由液相边界传递到液相主体。相际传质机理至今未能完全阐明。已提出的几种理论,主要有双膜理论、溶质渗透理论和表面更新理论。
双膜理论
1923年由美国麻省理工学院教授W.K.刘易斯和W.惠特曼提出的一种描述气液两相相际传质的模型。其基本论点为:
(1)气液两相接触时存在一个稳定的相界面,在界面两侧各存在一层膜,气相一侧称为气膜,液相一侧称为液膜,不管两相主体内湍流程度如何剧烈,两层膜始终保持层流状态;
(2)在两相界面上,被传递的组分达到相平衡(即组分在两相界面处的化学位相等),界面上不存在传质阻力;
(3)在层流膜内,通过分子扩散实现质量传递,传递的阻力完全集中于两层膜内;
(4)质量传递过程是定态的。根据双膜理论,每一相的传质分系数正比于传递组分在该相中的分子扩散系数,反比于层流膜的厚度。相际传质的总阻力等于两相传质的分阻力之和。
双膜理论简单、直观,曾广泛用于传质过程分析。但这种理论将复杂的相际传质过于简单化。随着传质过程的强化和对传质现象的深入研究,发现双膜理论关于两相界面状态和定态分子扩散的假设都与实际情况有明显差别;但总传质阻力为两相阻力之和以及界面上不存在传质阻力的论点,仍被广泛采用。
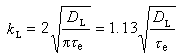
溶质渗透理论1935年由R.希格比提出。他将相际传质过程设想为:工业吸收设备中气液接触、溶质从液面渗入液内而形成浓度梯度、混合、消失浓度梯度的交替过程。由于接触时间很短,扩散过程难以发展到定态,因此传质是靠非定态的分子扩散。根据这种理论导得的液相传质分系数kL的计算式为:
式中DL为分子扩散系数;τe为溶质渗透时间。这种理论与吸收传质的实验结果比较符合,其主要贡献在于放弃了定态扩散的观点,揭示了过程的非定态特性,并指出了液体定期混合对传质的作用。
表面更新理论1951年英国人P.V.丹克沃茨提出这一理论。他超脱了前两理论关于在界面两侧是两层无湍流旋涡的层流膜概念。两相的流体旋涡在界面上接触一定的时间进行传质后,又由于湍流的作用分别被带回各自的流体主流中去。这样就使两相的接触界面不断更新。湍流愈激烈,表面更新也愈频繁。旋涡在界面上的停留时间可长可短,有一年龄分布,但是它们被新的旋涡置换的概率都一样。这样由非定态传质的概念出发,并从统计上考虑表面更新的时间因素,导得公式如下:
式中 s为表面更新频率。表面更新理论对溶质渗透理论作了进一步的发展,但表面更新频率s是未知的,仅在某些条件下可从实验中得到。
随着相际传质机理研究的逐步深化,还提出了一些新的传质理论:如 Β.Γ.列维奇提出的扩散边界层理论;也有一些是由前述几种理论加以组合和改进的理论,如膜渗透理论、渗透表面更新理论、无规则旋涡的表面更新理论以及表面拉伸理论等。这些理论各有特点,都能说明一定的问题,但都包含了一些难以求得的参数。相际传质机理和自由相界面的湍流运动密切相关,而目前对此研究得还很不充分。此外,伴随着相际传质,常引起界面湍流,这对相际传质有着重要的影响。只有在湍流基本理论,特别是两相湍流理论的研究,取得更多的实质性进展时,相际传质理论的研究才能取得新的突破。