结构可靠度分析方法

为了保证工程结构的安全、适用和经济,在设计时需要进行结构可靠度分析,习称安全度分析。

任何工程结构,不管其用途如何,总应考虑各种荷载在结构中产生的荷载效应S和结构本身的抗力R两个基本变量。当

RS时,结构处于安全状态;

RS时,结构处于极限状态;

RS时,结构处于失效状态。

工程结构可靠度分析主要是在经济和可靠之间选择一种较佳的平衡。从历史发展看,工程结构可靠度的分析方法可分为定值法,半概率法和一次二阶矩概率法和全分布概率法。

定值法

在结构可靠度分析中不考虑荷载和结构抗力的随机变异规律。这种方法是根据长期的生产和设计实践,先确定各种荷载和材料强度的标准值(特征值)。然后将标准荷载效应Sk,乘以大于1的荷载效应分项安全系数γ,以考虑向不利方向偏离标准值的影响。同理,将按标准强度计算所得的抗力Rk 乘以小于1的分项安全系数嗘,以考虑向不利方向偏离标准值的影响。而设计准则为

Rk≥γSk          (1)

公式 符号      (2)

式中公式 符号,即安全系数。

公式 (2)为容许应力设计(见容许应力设计法)的表达式,亦可表示为

σ≤[σ]

式中σ和[σ]分别为计算应力和容许应力。

当将(1)式中标准抗力Rk以破坏抗力Rb代替时,则又可写为

公式 符号       (3)

式(3)为破坏强度设计(见破坏强度设计法)的表达式。

公式(2)、(3)中的安全系数K总是大于1。对于同一材料的结构来说,K值愈大,结构也愈安全。但K值如过大,则不经济。如何确定合适的K值,在过去很长时间内凭经验判断确定,不能进行定量的理论分析,当然更不能确切反映结构设计中实际存在的各种不定性。

半概率法

凡仅对荷载或荷载效应和抗力的标准值或设计值分别采用概率取值,而不考虑两者联合的概率处理的可靠度分析方法均属半概率法范畴。如中国50年代和60年代的规范所采用的极限状态设计法,其材料强度的设计值取为

公式 符号     (4)

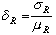
式中μR为材料强度平均值;σR为材料强度标准差;δR为变异系数,公式 符号

则得材料强度分项系数

公式 符号        (5)

式中 Rk为材料强度标准值;α为标准值的概率取值系数。荷载效应标准值及其系数у也可用相似方法取得。

这种方法难以确切地度量可靠度大小。故从概率观点看,这种方法称为半概率法。

一次二阶矩概率法

结构按极限状态设计时,可以建立包括各有关基本变量X的极限状态方程

Zɡ(X1X1X3,…,Xn)=0     (6)

式中Z 称为结构功能函数。当仅包括SR两个基本变量时

Zɡ(SR)=RS=0       (7)

当基本变量满足极限状态方程(7)式时,则结构到达极限状态,按概率理论,结构的失效概率Pf

PfP(Z<0)=P[(RS)<0]      (8)

(8)式中结构功能函数Z概率分布不易求得,因RS 都是许多随机因素的函数。虽然用卷积积分方法或多重积分方法可以计算,但难以实用。直至20世纪60年代末,出现了一次二阶矩概率法。此法并不要求推导随机变量函数的全分布,只须计算其一阶原点矩(平均值)和二阶中心矩(方差),在计算过程中还可将非线性结构功能函数(Z)取一次近似,这样就能比较适用地估算工程结构可靠度中的失效概率Pf

任何随机变量的平均值和标准差皆容易求得:

ZRS时,其

公式 符号        (9)

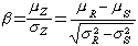
Z为任意分布,如图所示。阴影面积表示失效概率PfP(Z<0),无阴影的面积为可靠概率(即可靠度)Ps=(1-Pf)。用结构功能函数Z的标准差σz去度量Z=0到μz这段距离,可得出反映可靠概率大小的系数β,则

图

βσz=μz

由此得

公式 符号  (10)

在随机变量Z的分布一定的条件下,βPf的关系是对应的。如β增大则Pf减小,即结构可靠度增大;β减小则Pf增大,即结构可靠度减小。因此,上式中的β被称为可靠指标。若RS皆为正态变量,则Z也为正态变量,其Pfβ的关系如下式所示

公式 符号      (11)

式中 Ф(·)为标准正态分布函数;Ф-1(·)为标准正态分布函数的反函数;Pf为失效概率,一般可从正态分布表中查得。

当已知两个正态基本变量的统计参数──平均值和标准差后,即可按公式直接求出βPf值。这些基本概念也适用于多个正态和非正态的基本变量情况。但对非正态随机变量,需要进行当量正态化处理。

当以一次二阶矩概率法估算工程结构可靠度时,可靠指标直接和基本变量的平均值和标准差有关;故此法基本概括了各有关变量的统计特性,比较全面地反映了各种影响因素的变异性,这是传统的用安全系数来评价工程结构安全度的方法所不能做到的。同时可靠指标是从结构功能函数求解的,综合地考虑了结构上的荷载和结构本身抗力的变异性对结构可靠度的影响,这与半概率法有实质上的区别。

全分布概率法

此法要求知道各随机变量的密度函数或其联合密度函数,并用多重积分求解失效概率。这在实际工程中一般是难做到的,目前仅用于某些个别的工程结构设计。