波导

用来约束或引导电磁波的结构。习惯上,波导狭义地专指各种形式的空心金属波导管和表面波波导,前者将被引导的电磁波完全限制在金属管内,又称封闭波导;后者将引导的电磁波约束在波导结构的周围,又称开波导。

J.W.瑞利于1897年建立了金属波导管内电磁波传播的理论,他纠正了O.亥维赛关于没有内导体的金属空管内不能传播电磁波的错误理论,又指出在金属空管内存在着各种电磁波模式的可能性,并引入了截止波长的概念。但此后40年中,在波导理论和实践方面均未获得实质性的进展。直到1936年,S.索思沃思和W.巴罗等人发表了有关波导传输模式的激励和测量方面的文章以后,波导的理论、实验和应用才有了重大的发展,并日趋完善。

当无线电波频率提高到3000兆赫至 300吉赫的厘米波波段和毫米波波段时,由于要求同轴线工作于最低模(TEM模),但其横向尺寸较小,使功率容量降低,导体损耗和内外导体间的绝缘介质损耗随频率的提高而增加,致使同轴线的使用受到了限制,而采用金属波导管或其他导波装置。波导管的优点是:导体损耗和介质(管内介质一般为空气)损耗小;功率容量大;没有辐射损耗;结构简单、易于制造等。

波导管内的电磁场可由麦克斯韦方程组结合波导的边界条件求解(见电磁场基本定理)。波导管壁的导电率很高(一般用铜、铝等金属制成,有时其上镀有金或银),通常可假定波导壁是理想导体,在管壁处的边界条件是电场的切线分量和磁场的法线分量为零。

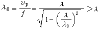
与普通传输线不同,波导管里不能传输TEM模,电磁波在传播中存在严重的色散现象。色散现象说明电磁波的传播速度与频率有关。电磁波沿波导传播的相速vP(即等相位面移动速度)可用下列色散关系式表示为

公式 符号      (1)

式中c是光速,λ是工作波长,λc是波导的截止波长。

群速是频带很窄的信号的平均传播速度,电磁波沿波导传播的群速vg(即能量传播的速度)为

公式 符号      (2)

由式(1)和(2)可见

vg·vPc2    (3)

电磁波沿波导传播时的波长称为波导波长 λg表示为

公式 符号    (4)

从式(1)和(4)可知,当λ>λc时,λgvP变成虚数,这时相位常数(β=2π/λg)也变为虚数,这表示电磁波不能在波导内传播,故称λc为截止波长。仅当λ<λcffc时,电磁波才能沿波导传播,因此,波导管有高通滤波器的作用。这里,fc称为截止频率,它与截止波长的关系为

公式 符号  (5)

在波导中可以存在无限多种电磁波模式,每一模式都有对应的截止波长(或截止频率)和不同的相速,其值与波导横截面的几何形状和尺寸以及波型指数有关。通常都采用截止波长最长的模式(即主模)。

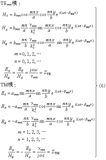
横截面均匀的空心波导称为均匀波导。均匀波导中电磁波传播的模式可分成电波和磁波两大类,前者简称为TM模,其磁场只有横向分量;后者简称为TE模,其电场只有横向分量。波导管的横截面可以做成各种不同的形状,如矩形、圆形、脊形、椭圆形和三角形等,前两种形状应用最广。

图 矩形波导

最常用的波导形式(图1a)。以z 表示电磁波的传播方向,矩形波导中的传播模式的场分量如下:

公式 符号

式中amnbmn是取决于电磁波激励条件的任意常数;mn称为波型指数,分别表示电磁场沿宽边a和沿窄边b变化的驻波最大值的个数,对TEmn模,mn=0,1,2,…,但不同时为零;对TMmn模,mn=1,2,…;ω=2πf为电磁波振荡的角频率;t为时间;με为波导里填充介质的导磁率和介电常数(对于空气,μμ0εε0);kc为截止波数

公式 符号   (7)

γmn表示传播常数;βmn表示相位常数,当波导的损耗很小时

公式 符号   (8)

k是自由空间的波数

公式 符号   (9)

ZTEZTM分别为TE模和TM模的波阻抗,对截止模式,γmn是负实数,波阻抗是纯虚数。

实际波导并非理想导体制成,波导壁的电导率是有限值,因此,电磁波沿波导传播时会有功率损耗,这时传播常数变成复数,其实部称为衰减常数,它表示电磁波沿波导传播时的衰减特性。

在矩形波导中,电磁波传播的最低模式是TE10模(m=1,n=0),其截止波长等于2ɑ,它是矩形波导中最简单也是最常用的模式,主要优点是:电磁场的极化稳定,波导损耗小,并且截止波长只与宽边尺寸ɑ有关。

TE10模的瞬时电磁场分布如图1b所示。

圆波导

是一种较常用的波导形式(图2a)。

图

圆波导TEmn模的截止波长为

公式 符号    (10)

式中a是波导的半径;μnmn贝塞尔函数导数的第m个根。TM模的截止波长为

公式 符号    (11)

式中γnmn阶贝塞尔函数的第m个根。整数n表示电磁场幅度沿圆周的变化次数,m表示沿径向的变化次数。

圆波导的主模式是TE11模,其截止波长为λc11=3.41a,它是圆波导的常用模式。此外,TE01模也是圆波导中常用的模式,它没有纵向传导电流,衰减常数随频率增高而减小,常用于高品质因数的谐振腔,也可用于远距离波导传输。TE11模和 TE01模的瞬时电磁场分布如图2b 和c所示。

表面波波导

又称为开波导,它的特征是在边界外有电磁场存在。开波导传播的模式称为表面波。表面波的特点是电磁场沿两个媒质分界面法线方向按指数律衰减。一般说来,它是一种慢波,即它沿波导结构传播的速度小于光速。1907年就有人指出了这种波的存在。把表面波应用到电磁能的传输问题上,最早是于1950年提出并加以实现的,这就是圆导线上涂有介质的表面波波导──单线波导。

在毫米波和亚毫米波波段,因金属波导管的尺寸太小而使损耗加大和制造困难。这时,使用表面波波导除了具有良好的传输特性外,主要优点是结构简单、制造容易,可以具有集成电路需要的平面结构。因此,表面波波导在毫米波和亚毫米波波段的应用有所发展。表面波波导的主要形式有: ①介质线;

(2)介质镜像线;

(3)H波导;

(4)镜像凹波导(图3)。

图
参考书目
  1. 林为干:《微波理论与技术》,科学出版社,北京,1979。
  2. R.E.柯林著,吕继尧译:《微波工程基础》,人民邮电出版社,北京,1981。(R.E.Collin,Foundations for Microwave Engineering, McGraw-Hill Co., New York,1966.)