恢复温度

气流在绝热的固体表面上被滞止到零速度时的温度。恢复温度是高速气流对流换热气体动力学中的重要参数。

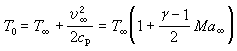
气流原始温度(静温)公式 符号与由动能v厗/2折算成的温升(动温)之和称为总温T0,即

公式 符号式中公式 符号、Μɑ公式 符号公式 符号分别为气流的速度、马赫数和比热容比。

绕流物体的前驻点S处(见图),作定常运动的气流被定熵地压缩滞止,使温度上升到总温的水平,这时的温度称为滞止温度。

图

在被绕流物体的表面边界层内(见边界层理论),气流因粘性摩擦而滞止时,一方面摩擦热使当地气体温度升高;同时,这个温升引起的温度梯度又使热量导出。因此,气体在滞止后,原来的动能通常不能全部转化成当地气温的升高,即当地气温实际上只能达到恢复温度Tr,它稍低于总温T0,其值为

公式 符号

式中r为温度恢复系数,它标志实际转化为气体温升的动能的分额。实验表明,对于普朗特Pr接近于 1的气体,可近似地认为:层流时rPr1/2,湍流时rPr1/3

在低速流动中,T0Tr都接近于公式 符号,一般不必引入恢复温度的概念。高速气流中,动能很大(例如当空气流动的马赫数达到0.75时,总温高出静温约10%),即使气流温度公式 符号与实际壁温TW相同,甚至于比TW还低,只要Tr高于TW,壁面不但不被冷却,而且还被加热。这时环绕壁面的气流温度是Tr,而不是公式 符号,所以高速流动时确定热流方向的将是温度差TWTr,而不再是低速流动时的TW公式 符号,这就是所谓气动力加热问题。