[拼音]:niandu
[外文]:viscosity
反映流体流动粘性阻力大小的指标。粘度一般分为动力粘度、运动粘度和条件粘度。粘度与压力和温度都有关系。
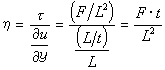
动力粘度流体流动的剪切阻力 τ与速度梯度
u/
y关系式中的比例常数η(见润滑)。如用F 代表力,L代表长度、t代表时间,则由牛顿内摩擦定律可求得动力粘度的量纲为
动力粘度的单位是Pa·s(帕·秒)。动力粘度曾用P(泊)作单位,1P=0.1Pa·s
运动粘度流体的动力粘度 η与同温度下该流体密度
的比值为
v=η/
由上式可求得运动粘度的量纲为v=L2/t。运动粘度的单位为m2/s(米2/秒)。运动粘度曾用St(斯托克斯)作单位
1St=1cm2/s=10-4m2/s一般蒸馏水在 20℃时的动力粘度为1×10-3帕·秒(1cP),运动粘度为1×10-6米2/秒(1cSt)。20号机械油在 50℃的运动粘度为17×10-6~23×10-6米2/秒(17~23cSt),即其平均运动粘度 20×10-6米2/秒(20cSt)。空气的粘度约为 0.018cP。液体的运动粘度通常用毛细管粘度计测定。
条件粘度用各种标定粘度计测得的粘度。习用的条件粘度单位有恩氏度(°E)、赛氏通用秒(SUS)和雷氏秒(R)等。
粘度与压力的关系一般液体的动力粘度随压力p的升高而增大,粘度与压力的关系可近似表达为
式中 η0为大气压力下液体的动力粘度;α为粘度压力指数,取决于液体的性质;e为自然对数的底。此式一般用于计算油膜厚度,若用以计算油膜的摩擦阻力,其结果与实际出入较大,因后者必须进一步考虑油的流变性质,即从应力、应变、温度和时间几方面研究物质变形和流动的物理性质。
粘度与温度关系液体的动力粘度一般随温度的升高而降低,η 与绝对温度T(K)的关系通常可用以下经验公式表达
lgη=A+B/T式中A、B为取决于液体的常数。