[拼音]:baoxian
[外文]:insurance
为了应付特定的自然灾害或意外事件,通过订立合同实现补偿或给付的一种经济形式。它以概率论计算损失分摊金,集合多数经济单位共同筹集资金而建立集中的保险基金,按签订的保险契约中当事人的权利义务,对于约定的特定灾害事故所造成的经济损失或人身伤亡进行补偿或给付,从而保障社会经济生活的安定。构成保险的要素是:
(1)危险的存在并导致经济上的忧虑;
(2)建立保险基金;
(3)订立保险合同。
沿革保险的初级形式,产生于海上航运贸易。远在公元前2000年,航行在地中海的商人在遇到海难时,为避免船只和货物同归于尽,往往抛弃一部分货物,造成的损失则由受益各方分摊,形成了“一人为众,众为一人”的共同海损分摊原则。这一原则就是保险(也是海上保险)的萌芽。人们所知最早的保险单,为热那亚商人G.勒克维伦于1347年10月23日开立的承担圣·克维拉号船从热那亚至马乔卡的航程保险单。1400年,海上贷款与损失保证分别成为两个专营行业,开始有了专门经营海上保险的商人。到16世纪,随着海外贸易的迅速增长,买卖保险合同普遍盛行。17世纪中叶,开始出现专门经营保险的组织,如1667年成立的伦敦伦巴第街房屋火灾保险商行,1676年成立的汉堡火灾保险社。约在1683年,E.劳埃德开设的一家咖啡馆开始成为航运消息的传播中心这就是著名的劳合社的前身。有关保险的法令,最早可见于1435年《巴塞罗那敕令》,其后又出现《威尼斯敕令》。到了1523年,佛罗伦萨制定了一部较完整的海上保险条例,并规定了标准保险单格式。保险经纪人制度的确立,始于1556年西班牙国王腓力二世制定的保险法。1563年出现的《安特卫普敕令》则为欧洲各地所采用。在英国,伊丽莎白一世于1601年制定第一部有关海上保险的法律,到了19世纪,保险开始进入现代化时期。保险对象和经营范围,不仅包括传统的财产损失和人身伤亡,而且还扩展到生存保险、责任保险、信用保险和再保险等业务。1840年保险公司经验死亡表的出现,将人寿保险建立在科学计算的基础之上,从而形成现代保险业。
在中国出现的保险机构,最早是英国商人于1805年在广州开设的广州保险公司。最早的中国民族资本的保险公司是1885年由招商局设立的仁和、济和两家保险公司。中国人自办的第一家人寿保险公司则是黎元洪开办的华安合群保寿有限公司。
职能
保险的基本职能是筹措保险基金,补偿经济损失。从保险的形成和发展过程看,保险是社会经济发展到一定阶段的产物。保险的主要特征体现在被保险人交付保险费,将危险转嫁给保险企业;保险企业再用由被保险人交付的保险费建立起来的保险基金,对被保险人因自然灾害和意外事故所遭受的损失给予经济上的补偿。这种收取保险费—建立保险基金—履行经济补偿的整个保险基金分配过程,决定了保险的固有职能就是组织社会资金进行经济补偿。在人身保险发展起来后,由于人身保险保障的对象是人身,对人身的保险不属于损害赔偿性质,故人身保险的职能是:保险金的给付。
在西方保险界,就保险的职能乃至性质有一系列见解和主张。19世纪以来,西方主要保险学说有欲望满足说、经济确保说、人格保险说、新损害说和相互金融机关说。这些学说从不同侧面揭示了保险的本质和职能。
数理基础保险经营活动赖以建立的数理基础是概率论。保险业所经营的风险,是一种具有或然性的随机事件。保险经营对象的这一特征,决定其必须运用概率论中的大数法则来确定保险费率。大数法则是概率论的基本定律,它以确切的数学形式,通过对大量个体变量的概括,消除偶然的、次要的因素所引起的个别差异,从理论上阐述大量的、在一定条件下重复出现的随机事件,其主要公式为:
式中Pr(E)为某随机事件E 的先验概率,E发生的观察次数为r,r/n 为相对频率,ξ;为任意指定的正小数。它说明相对频率与先验概率之差不大于任一正小数的概率在n→∞时极限为1。应用大数法则来确定保险费率需注意的是:
(1)有足够的风险单位;
(2)风险性质相近;
(3)各风险单位价值一致;
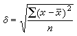
(4)风险单位力求分散。保险业务中常用的概率论原理还有均方差等。在保险业务中,当实际发生的赔偿额与预计的保险额损失率不一致时,即用均方差来表示实际赔偿额与保险额损失率之间的偏差范围,作为在保险额损失率基础上附加的稳定系数。其计算公式是:
式中δ;为均方差,(x-塣)为各单位指标值x对其算术平均数塣的离差。因此均方差的数学含义是,各单位指标值对算术平均数离差平方值的算术平均数的二次方。
- 参考书目
- 许仁忠:《保险费计算的理论与应用》,西南财经大学出版社,成都,1990。
- 社会主义保险学编写组:《社会主义保险学》,中国金融出版社,北京,1986。
- 园乾治著,李进之译:《保险总论》,中国金融出版社,北京,1983。
参考文章
- 依据《工伤保险条例》的规定,下列情形中,应当被认定为工伤的有()。法律题库
- 我国《安全生产法》要求所有的生产经营单位应投保安全生产责任保险。法律题库
- 在甲县某个釆石场工作的小郝作业时突然摔伤,经医院诊断为旧伤复发所致,小郝自行支付了住院医药费。后小郝与釆石场就工伤认定产生纠纷,小郝提出劳动能力鉴定中请。依据《工伤保险条例》的规定,下列有关小郝劳动能力鉴定的说法正确的是()。法律题库
- 依据《工伤保险条例》的规定,职工因工伤致残影响生活自理能力的,应当进行生活自理障碍等级鉴定。生活自理障碍分为()个等级。法律题库
- 王某已经怀孕6个月,仍然坚持继续上班,王某产前的工资是8000元,该用人单位上年度职工月平均工资标准为5500元。但由于考虑用人单位女职工较少,所以并未给职工缴纳职工生育保险,该用人单位的下列做法中,符合《女职工劳动保护特别规定》的是()。法律题库
- 据报道,我国保险资金的运用渠道主要是存人银行和购买国债,只有少量的资金投向金融债券和证券投资基金。这样做的目的是__知识题库
- 根据有关规定,企业缴纳的养老保险费一般不超过工资总额的20%,因特殊情况需要超过的,须报经有关部门批准。下列选项中属于应知识题库
- 下列关于当前进一步加强社会保险基金管理的表述中,错误的是:__知识题库
- 某国有一个奇怪的现象:一方面,劳动力短缺,需要引进外来劳动力进行补充;另一方面,失业率居高不下,领失业保险金的人数常年不知识题库
- 根据全国人大批准的中央预算,2012年我国将新型农村合作医疗和城镇居民基本医疗保险的财政补助标准增加到每人每年240元知识题库