投入产出分析

浏览

分析特定经济系统内投入与产出间数量依存关系的原理和方法。亦称产业部门间分析。它由美国W.里昂惕夫于1936年最早提出。

理论基础是L.瓦尔拉斯的一般均衡论。在中国,对投入产出分析从经济理论上进行改造后,通常称为投入产出原理,它的理论基础包括劳动价值论生产资料生产与消费资料生产两大部类的理论等等。

投入产出表

投入产出分析是通过编制投入产出表来实现的。投入产出表有实物和价值两种形式:

实物表

亦称综合物资平衡表,按实物单位计量,主栏为各种产品,宾栏有三部分:

(1)“资源”。反映各种产品的来源,如年初库存(或储备)、当年生产、进口和其他来源。

(2)“中间产品”。这一部分的项数、所列产品名称、排列都和主栏相同顺序,形成一个棋盘式平衡表。

(3)“最终产品”。分别列出固定资产的更新、改造、大修,年末库存(或储备),集体消费,个人消费和出口。这种平衡表的另一种形式,是去掉“资源”部分,将它与“最终产品”部分的有关项目合并,如将年初库存(或储备)与年末库存(或储备)合并成为库存(或储备)变化差额,将进口与出口合并成为进出口差额,列入“最终产品”部分。

价值表

按纯部分编制的。纯部分是由生产工艺、消耗构成、产品用途基本相同的产品所构成的部门。

图

上表可以从横向和纵列两个方向进行考察,横向从使用价值的角度反映各部门产品的分配使用情况,分为第一、第二两部分;纵列反映部门产品的价值形成,分为第一、第三部分。第四部分反映非生产部门和个人通过国民收入再分配所得到的收入,一般不编这一部分。

数学模型

在投入产出表的基础上,可以建立以下投入产出模型:

产品平衡模型

A x+y=x,式中A是直接消耗系数矩阵;x为各部门总产值列向量;y为最终产品列向量。

移项求逆后得:(I-A-1y=x,式中I为单位矩阵。

价值构成模型

ATx+v+m =x,式中,ATA的转置矩阵;v为劳动报酬;m 为剩余产品。

移项求逆后得:(I-AT-1v+m )=x

消耗系数

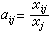
在投入产出原理中,消耗系数分为直接消耗系数和完全消耗系数。前者又称为投入系数、工艺系数或技术系数,用于反映国民经济的生产技术结构,一般用符号a ij表示,即纯部门j生产单位产品对纯部门i产品的消耗量,如炼一吨钢所消耗的生铁。计算公式是:

公式 符号

式中x ijj部门生产产品时对i部门产品的消耗量,又叫做中间流量;x jj部门的产量。

直接消耗系数与计划统计工作中广泛使用的消耗定额基本相同,但也有一些区别。其区别表现在:

(1)消耗定额是指生产单位产品的工艺消耗量,直接消耗系数除这种消耗外,还包括车间、厂部和公司的相应消耗;

(2)消耗定额一般只按实物计量,而直接消耗系数除按实物计量外,还采用货币计量;

(3)消耗定额一般是按某种产品的具体品种、型号确定的,如钢材的具体品种、型号,而直接消耗系数一般是按大类产品(如钢材)确定的。

在直接消耗系数的基础上可以计算出完全消耗系数,它是生产单位最终产品对某种总产品或中间产品的直接消耗与间接消耗之和。例如,生产一台机器除直接消耗钢材外,还要消耗电力,而发电需要设备,生产设备又要消耗钢材。生产机器通过电力发电设备对钢材的消耗,叫做间接消耗。

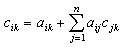
生产单位 k种最终产品对 i种产品的完全消耗系数(记作b ik)的计算公式是:

公式 符号

ijk=1,2,3,…,n

上式写成矩阵为B=A B+I。由此得B=(I-A-1

完全消耗系数还有另一种计算公式:

公式 符号

ijk=1,2,3,…,n)式中c ik为生产单位k种最终产品对i种产品的完全消耗系数。上式写成矩阵为C=A+A C。由此得:C=(I-A-1A

两种完全消耗系数的关系如下:B-C=(I-A-1-(I-A-1A=(I-A-1I-A)=I

由此可见,两种完全消耗系数的区别是一个单位矩阵,它的主对角线上的元素为1,其他元素为0。从经济含义上讲,最终产品是脱离生产过程的产品,不应包含在生产消耗中,应以系数C作为完全消耗系数,但系数B是计算C的基础,并可以反映最终产品与总产品之间的依存关系。

实际应用

上面所说的是静态投入产出模型,利用它可以进行经济分析、政策模拟、计划论证和经济预测,并为电子计算机在经济管理中的应用开辟了途径。

投入产出分析的提出已经近半个世纪,在这段时间里,它有很大的发展。除上面所说的产品模型外,还有固定资产模型、生产能力模型、投资模型、劳动模型以及研究人口、环境保护等专门问题的模型。除上面所说的静态模型外,还有动态模型、优化模型等。

参考文章