成本推进型通货膨胀

浏览

因工资和利润等成本开支增加所造成的通货膨胀。这种类型的通货膨胀可以分别从工资推进和利润推进两方面来考察。

工资推进通货膨胀

在总需求不变的条件下,如果工人工资的提高引起产品单位成本增加,便会导致物价上涨。在物价上涨后,如果工人又要求提高工资,而再度使成本增加,便会导致物价再次上涨。这种循环被称为工资—物价“螺旋”上升。出现上述状况的主要原因在于:工会或某些非市场因素压力的存在,会使工人货币工资增长率超过劳动生产率的增长。工资推进通货膨胀可由下式推出:

公式 符号(1)

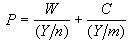
式中P是总价格(总成本),Y是实际产量,两者之积是总收入,W是工资率,n劳动者数量,两者之积是总工资收入;C是其他非劳动成本,m是非劳动要素的投入量。(1)式可以转化为成本公式:

公式 符号 (2)

公式 符号 (3)

(3)式表明,总成本(总价格)等于工资和实际劳动生产率(Y/n)之比与其他非劳动成本和其生产率(Y/m)之比的和。

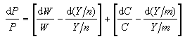
将(3)式求导,得到:

公式 符号 (4)

假设非劳动成本不变,即(4)式中

公式 符号

则有

公式 符号 (5)

(5)式表明:通货膨胀率(dP/P)等于工资增长率(dW/W)减去劳动生产率的增长率。显然,只有在dW/W>d(Y/n)/(Y/n)时,才会出现纯工资推进型通货膨胀。

利润推进通货膨胀

正如工会可以行使其市场权力迫使工资增长一样,寡头企业和垄断企业在追求更大利润时,也可以依靠其垄断市场的力量,运用价格上涨的手段来抵消成本的增加,从而导致价格总水平上升。主要理论依据是:在供求处于均衡状况时,总收入中工资利润之比处于正常状态。如果工资增长超过劳动生产率增长,并导致工资推进通货膨胀,便意味着工资总量在社会总收入中的比重上升,即工资与利润原来的均衡比例关系被破坏了。此时,企业家必然会运用垄断力量,通过提高价格总水平的手段来恢复利润在总收入中的原来比重。由这个过程导致的通货膨胀就是利润推进通货膨胀,又称操纵价格的通货膨胀。一般地说,如果其他社会力量或政府拥有某种垄断力量,他们也可以运用这种力量来保持自己在总收入分配中所占的比重,进而导致通货膨胀。

其他形式

瑞典经济学家A.林德贝克指出,除了上述两种典型情况外,经济社会中还存在如下三种成本推进型通货膨胀

(1)外生性成本通货膨胀,即由进口原材料价格上升(如石油涨价)、国内中间产品垄断价格等因素造成的通货膨胀,这种通货膨胀往往是一次性的;

(2)由相对价格和工资收入变动引起的通货膨胀,即由各种具有垄断势力的经济阶层(组织)通过改变相对价格或某种收入占总收入的份额而诱发的价格总水平上升;

(3)“惯性”通货膨胀,即由工人和企业家根据自己对通货膨胀的预期,不断调整自己的工资率和产品价格水平,以期保持各自的实际收入水平的行为导致的通货膨胀,这种行为一旦产生,便具有不断延续的“惯性”。