合理预期通货膨胀

浏览

用合理预期理论对通货膨胀的形成机制及其政策涵义所作的一种解释。

用合理预期因素来分析通货膨胀问题,是传统通货膨胀理论与60年代末以后的新通货膨胀理论的分界线。尽管J.M.凯恩斯、J.R.希克斯等经济学家都曾涉及或研究过通货膨胀预期问题,但只在合理预期学派兴起之后,方才确立预期因素在通货膨胀理论中的地位,并赋予其明显的政策意义。

早期的通货膨胀预期假说

在合理预期理论提出之前,西方经济学中对通货膨胀预期的形成有过三种假说。

静态的预期形成

其数学表达式为:

公式 符号 (1)

其中公式 符号为第t年的物价水平,Pt-1t-1年的物价水平。式(1)表明,人们预期的某年可能出现的通货膨胀率等于上一年实际出现的通货膨胀率。

外插型预期形成

其数学表达式为:

公式 符号 (2)

式(2)中,公式 符号Pt-1的意义同式(1); Pt-2t-2年的物价水平;α;为t年前2年的平均物价水平变动率。这种预期假说比静态预期假说有所进步,它显示人们对某年通货膨胀率的预期不仅以上一年的实际通货膨胀率为依据,还考虑到过去若干年通货膨胀率的变动趋势。如果α;=0,则当期预期通货膨胀率等于上一年实际通货膨胀率,这与静态预期形成机制相同;如果0<α; ≤1,则表明当期预期通货膨胀率高于上一年实际通货膨胀率。

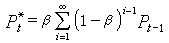
适应性预期形成

其数学表达式为:

公式 符号

适应性通货膨胀预期的形成基于一种反馈机制。它说明,人们当期的预期通货膨胀率取决于上期(t-1)预期通货膨胀率及其误差修正值(Pt-1-公式 符号)。更精确地说,t期预期通货膨胀率是 (t-1)期实际通货膨胀率和其预期通货膨胀率的加权平均,β;即为权数。式(3)可以转换为:

公式 符号

从而把t期不可观察的预期通货膨胀率与权数为β;,β;(1-β;),β;(1-β;)2,…的过去t-1,t-2,…期通货膨胀率相联系。由此即可以较为准确地推算出t期的预期通货膨胀率。

合理预期假说

美国经济学家R.卢卡斯

图

、J.萨金特

图

等人60年代中期在批判适应性预期假说的基础上提出了合理预期假说。

数学表述

公式 符号Ptt期的预期通货膨胀率和实际通货膨胀率,It-1t-1期可获信息,则合理预期假说可用以下两种形式表述:

公式 符号 (4)

公式 符号 (5)

式(5)中的εt是一个Et)=0(期望值为0)的随机变量E(Pt/It-1)读作对(Pt/It-1)的期望。式(4)表明,合理预期通货膨胀率取决于在t-1期所获信息量(It-1)。式(5)表明,合理预期并不完全精确,允许有一个随机误差εt。因为合理预期理论假定,在充分信息条件下客观概率分布的期望值与主观概率分布的期望值一致,所以,εt可由模型本身的内生变量决定。

影响

(1)人们在进行通货膨胀预期时,不仅仅凭过去的经验,还要考虑未来可能发生的种种情况,特别是政府政策动向。

(2)经济体系每一按理性方式从事经济活动的单位必将尽可能充分收集信息,进行判断分析,从而按最有利于自身利益的目标选择决策。

政策含义

(1)政府的宏观经济政策效应可能被公众的合理预期抵消,特别是扩张性货币政策,其效果本来就依赖于公众存在“货币幻觉”,因而经济政策不会影响产量、就业等实际经济变量,而只能对价格等名义变量起作用。

(2)通货膨胀与失业之间无替代关系,从而使菲利普斯曲线成为一条垂直线。因为,在失业存在时,人们预期政府会采取通货膨胀政策来扩大就业,而这会使实际工资下降。于是,工人在物价上涨之前就要求增加工资;而雇主则发现,通货膨胀并没有使实际工资下降,从而也就不增雇工人

(3)由于公众能合理地预期通货膨胀,即使短期内的货币供应增加,也不会产生压低利率和刺激投资的效果。因为人们预计到货币供应增加后,物价会随之上涨,因而会在签订借款合同或协议时,要求对利率有相应的贴水,实际利率便不会下降。