[拼音]:jiaquan tiaohe pingjun jiage zhishu
[外文]:weighted harmonic average price index
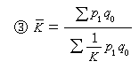
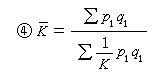
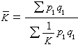
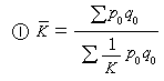
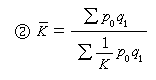
综合价格指数的一种。又称加权倒数平均价格指数。当只能取得计算期和基期的商品平均价格以及计算期的商品购、销资料时,可用加权调和平均公式计算物价指数。其计算公式为:
式中噖为价格总指数;K为单项商品价格指数p1/p0。
加权调和平均公式是在用计算期销售量加权的综合价格指数公式基础上的一种数学变形。其形式与帕舍公式(见综合价格指数)有所不同,但分子、分母指标的经济内容同综合价格指数公式没有区别,计算结果也完全相同。加权调和平均公式有四种不同形式:
式中p0、q0分别为基期商品价格和产量;p1、q1分别为报告期商品价格和产量。仅④式与上述公式相符。
采用调和平均公式计算价格指数,需要掌握与所计算的价格指数口径、范围相同的较为详细的报告期购销金额指标,因而常用来计算包括的商品范围较小、分类较简单、各类商品构成变动较大的各种价格指数。中国的农产品收购价格指数、集市贸易价格指数、鲜菜零售价格指数就是根据这种公式计算的。