[拼音]:guoji shouzhi tanxing fenxifa
[外文]:elasticity approach to balance of payments
通过对商品进出口供求弹性的分析,研究汇率变动对贸易差额影响的国际收支理论。
产生和发展弹性分析法最早见于C.F.比克迪柯1920年发表的一篇论文。英国经济学家J.V.罗宾逊围绕进出口商品的供求弹性,研究了汇率变动对国际收支的调节作用,在《就业理论论文集》(1937)中首次正式提出。以后L.A.梅茨勒和A.P.勒纳等经济学家作了进一步发展。后又经过F.麦克勒普和G.哈伯勒等人的努力,弹性分析法才成为国际收支理论的重要组成部分。
基本内容弹性分析法首先假定:
(1)其他条件不变,只考虑汇率变动对商品进出口数量和总额产生的影响;
(2)贸易商品的供给弹性无穷大;
(3)充分就业,收入一定,进出口商品的需求就是这些商品及其替代品的价格函数;
(4)不考虑资本流动,国际收支等于贸易收支;
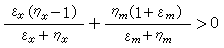
(5)由于出口总值等于出口价格乘以出口数量,进口总值等于进口价格乘以进口数量,进出口值皆以外币表示。在上述前提下,贬值能否成功地改善贸易收支,取决于商品进出口供给和需求弹性。贬值改善贸易差额的充要条件用公式表示就是:
(1)
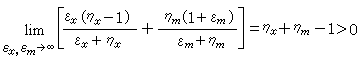
式(1)中,εx代表出口的供给弹性;ηx代表出口的需求弹性;εm代表进口的供给弹性;ηm代表进口的需求弹性。式(1)被称为马歇尔—勒纳—罗宾逊条件,简称马歇尔-勒纳条件。由于需求弹性和供给弹性一般规定为正数,因此从式(1)中可以推论,仅当出口需求缺乏弹性时,马歇尔—勒纳条件才没有得到满足,在这种情况下,贬值反而会使贸易差额恶化。马歇尔—勒纳条件有两种特殊的情况。第一种是小国出口的需求弹性和进口的供给弹性无穷大,即
,对式(1)取ηx和εm趋向无穷大的极限得出:
(2)
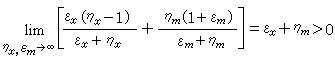
式(2)完全能够满足马歇尔-勒纳条件,因而,贸易差额可以改善。第二种特殊情况则是人们通常所说的马歇尔—勒纳条件。在这种情况下出口和进口的供给弹性都趋于无穷大,即
,对式(1)再次取极限,则有:
(3)
或ηx+ηm>1。从而,只有当出口与进口的需求弹性之和大于1时,贬值才会改善贸易差额。
但是,满足式(3)或ηx+ηm>1并不能马上导致贸易差额的改善。贬值后,商品进出口价格变动并不能立即引起贸易额的变化。因为掌握市场信息、扩大出口或削减进口等都需要一定时间,即存在着所谓“时滞”问题。由于时滞的存在,贸易量对贬值引起的商品价格变化调整缓慢,这种现象产生了如图所示的所谓"J曲线"。图中的横轴用时间t来表示,纵轴用经常项目差额ΔTB表示。假定在t0实行贬值,但是贬值引起的价格变化并不能立即反映在贸易合同上。由于进口以外币结算,进口数量还未能减少,因此用本币表示的进口额反而增加;由于出口以外币结算,出口数量还不能增加,因此用外币表示的出口在贬值后反而减少,贸易差额在贬值后反而恶化。这个过程一直持续到某个时期t1。从t1开始,贸易额相对贬值引起的价格变化和调整才开始有所反映,到t2点,贸易差额开始由逆差转变为顺差。因此贸易差额的变动经历了先恶化后改善的过程。这种过程曲线形状极象字母J,因此贬值后由于时滞的作用贸易差额的变动现象称为J曲线效应。
贬值也对贬值国的贸易条件发生影响。贸易条件就是一国出口物价指数与进口物价指数之比。一国出口价格水平相对于进口价格水平下降,意味着贸易条件的恶化;反之则表明贸易条件改善。贬值对贸易条件的影响是不确定的,可用一个简单的公式来表示:
该式表明,贬值对一国贸易条件的影响,要视进出口商品的供给弹性之积大于还是小于进出口商品的需求弹性之积而定。如果两个需求弹性之积小于两个供给弹性之积,贬值就会使贸易条件恶化;如果它们相等,贬值后贸易条件不变,只有当进出口需求弹性之积大于其供给弹性之积时,贸易条件才会改善。
应用弹性分析法在分析汇率变动对国际收支影响方面得到了广泛的运用。由于马歇尔-勒纳条件成为货币贬值能否改善贸易收支的前提,因此一国进出口商品需求弹性如何,成为判断贬值是有利还是有害的最重要的理论标准。一些计量经济学家早在30年代就开始对国际贸易商品的价格弹性进行了统计分析。当时的统计分析表明,进出口商品的需求弹性都相当低,不足以使贬值发挥其应起的作用。因此,“弹性悲观论”盛行一时。直到1949年英镑的贬值收到了意料不到的效果,50年代和60年代,“弹性乐观论”才占了上风。它发现由于弹性较高的工业制成品在国际贸易中所占比重不断提高,弹性较低的初级产品比重越来越低,在多数情况下进出口商品的需求弹性之和都能达到1,因此能够满足马歇尔-勒纳条件。其主要依据是根据采用新的计量统计方法进行的弹性值测算。下表所列的数据在当时被广泛引用。表中显示,除英国、荷兰和挪威三国外,其他国家的进出口需求弹性之和,即ηx+ηm都大大超过了1。现实世界的进出口需求弹性之争充分反映了弹性分析法的应用程度。
评价
对弹性分析法的批评首先来自其假定前提。弹性分析法是一种局部均衡分析方法,它只考虑汇率变动对于进出口贸易的影响,没有考虑到国际资本流动等其他因素。而马歇尔—勒纳条件假定进出口商品的供给弹性无穷大,也不完全符合现实。另外弹性分析法假定其他条件不变,贬值只对贸易商品的价格有影响,但实际贬值也会影响非贸易商品的价格,从而可能引起通货膨胀,导致贬值引起的价格变化被抵消。弹性分析法把贬值之前定为国际收支均衡的起点,但实际情况表明实行贬值是因为已经陷入了国际收支逆差。对弹性分析法的批评还来自它所采用的静态分析方法。如果考察了汇率变动的长期结果,则贬值改善贸易差额的途径就有可能发生变化。
- 参考书目
- C.F.Bickerdike ,“ The Instability of Foreign Exchange”,Economic Journɑl,March,1920.
- J.V.Robinson,Essɑys in the Theory of Employment,Blackwell,Oxford,1937.
- M.G.德弗里斯著: 《国际收支调整》,中国金融出版社,北京,1990。(M.G.Devries,Bɑllɑnce of Pɑyments,IMF,Washington D.C.,1987.)