普通股成本率普通股成本率的计算方法与优先股成本基本相同,所不同的是,普通股的股利不固定,一般要求逐年递增,在计算时要考虑到适当的股利增长率。
普通股成本率的计算公式如下:
(一)没有期限,只发股息,永不还本。那么:

式中:Po为普通股发行价格;Dt为预计第t年未发放的股息;Ke普通股成本率。
(二)如假定每年股息不变,就可视同永续年金。那么:

式中:D为年金化的股息。
例:
假定某公司普通股股票的发行价格为20元,预计未来每年股息固定为2.45元,筹资成本为2%,则:
普通股成本率

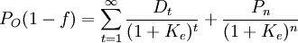
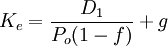
(三)没有期限规定,但可以假定若干年后收回股票,而且其价格是可以预测的。那么:

(四)每年股息有上升趋势,假定每年股息的增长率是固定的。那么:

式中:g为每年股息固定增长率。
例:
假定某公司发行的普通股股票每股市价为50元,筹资费用率为4%,第一年未发放股息为4.8元,以后每年增长5%,则普通股成本率为:


=15%














