应用第二经济效益理论,主要目的就是对一个国家进出口商品进行正确的选择,以确定最佳的进出口结构。
在确定出口结构时,必须考虑到泼产品内销所产生的盈利率Nd。
当U & gt;Nd & gt;0时,产品应首先满足国际市场需要;
当Nd & gt;U & gt;0时,应当首先满足国内市场需要时,将这类产品的剩余部分出口。
当U<0时,无论国内市场盈亏如何,也不应当出口。
在确定进口结构时,必须考虑到国内同类产品在国内市场所产生的盈利率Un。
当U & gt;Un & gt;0时,应通过进口满足国内市场的需求。
当Un & gt;U & gt;0时,首先应依靠国内同类产品满足国内市场的需求,只有当国内这种商品出现供不应求时,才可通过进口进一步满足国内市场的需要。
当U<0时,无论国内同类产品在本国市场盈亏如何,都不应进口这种商品。
下面为一理想状态下第二经济效益的计算。表中除人民币对美元汇率假定为4:1外,其他数值均属理论推导和对现实情况估计基础上的假设。至于把出口商品和进口商品看怍两类不同商品纯属技术上的处理。
| |(出口商品)(进口商品)
第二经济效益的应用国内价值(小时)|1|2
|国内相对价格(成本价元)|6.00|12.00
|国际价值(小时)|1|1
|国际相对价格(美元)|1.00|1.00
|人民币对美元换汇价格(元)|4.00|4.00
|盈利(元)|-2.00|+8.00
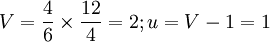
这里:进口额=出口额=1.00(美元)
总收益为12.00人民币元,总消耗为6.00人民币元,
因此,

可见,这是一个比较理想的对外贸易结构。虽然是一个理想状态,但它可以说明一个问题,就是尽管中国在现有的绝大部分出口商品中,消耗的国民劳动时间绝对量超过世界平均劳动强度下的劳动时间,即处于劣势中,但由于出口商品所换取的进口商品所带来的经济效益比自己生产的效益更太,因此,外贸规模越太亏损越多的说法是不准确的。














