成本推进型通货膨胀:这是指由于生产成本上升引起的物价持续上涨的现象。成本提高的主要原因是因为存在着强大的、对市场价格具有操纵力量的压力团体(如工会,垄断大公司等)、这种类型的通货膨胀又可分为如下4种:
(1)工资推进型通货膨胀。它是指由于工人工资的增加超过了劳动生产率的提高而引起的通货膨胀。西方经济理论认为,由于工会的强大垄断力量操纵了劳动力市场的价格,工资出现“刚性”,即只升不降的现象,因此,即使没有出现对劳动力的过度需求,甚至存在失业的条件下,也迫使厂商让:工资增长速度超过劳动生产率的增长速度,从而使商品成本增加,物价上涨,而且在物价上涨之后,工人又要求提高工资,再度引起物价上涨,如此循环往复,形成一种工资一物价的“螺旋上升”。
(2)利润推进型通货膨胀。它是指垄断组织和垄断企业为了保证一定利润而抬高价格引起的一般物价水乎的持续上涨。
(3)操纵价格的通货膨胀。指垄断企业和寡头对部分产品卖价进行操纵,人为提高价格而引起的通货膨胀。
(4)汇率成本推进型通货膨胀,它是指由于本国货币对他国货币汇率升值而引起的出口产品成本上升,或者外国货币贬值造成的外汇倾销所引起的物价持续上涨。另——方面,如果本国货币对外贬值,导致进口原材料及其他商品价格上涨,从而使利用这些原材料进行生产的企业成本增加,使商品价格提高,并带动国内其他商品价格的连续上涨。
(二)利润推进型的通货膨胀
利润推进型的通货膨胀:美国经济学家夏皮罗指出:“利润推进是供给方面引起的通货膨胀的又一种类型。正如工会可以行使其市场权力来迫使工资增长一样,寡头企业和垄断企业在追求更大的利润时,也有可能提高价格,使之超过用以抵销任何成本增加的所需;而且,正如工会是一般工资推进通货膨胀之前提一样,物品和劳务销售的不完全竞争的存在乃是利润推进通货膨胀之前提:在一个大量存在所谓“操纵价格的经济中,至少有可能可以操纵这些价格以大于成本增长的速度上涨,以便赚取较多的利润。如果这一过程得以推广,于是就会产牛利润推进通货膨胀。
“操纵价格”的通货膨胀是美国经济学家加迪纳·米恩斯20世纪30年代首先提出的,意指商品和劳务的价格是由大公司经理们之间通过协议或默契来确定的,而不管市场情况的变化。这时,市场供求力量在决定价格时起很小作用或根本不起作用。
因操纵价格引起的物价上涨划分为两种非古典类型的通货膨胀:
第一种类型完全产生于市场价格与操纵价格肘厂商业波动所作出的不同反应。当工商业衰退或萧条时,市场价格会囚普遍的需求下降而跌落,但操纵价格仍维持原价或轻微减价,甚至还提价,冈为对价格进行操纵的工业部门宁肯以减少销售量、生产量和就业人数来寻找其出路‘在经济复苏期间,总需求量的上升首先增加了价格不易变动的部门的就业量,提高了易于变动的市场价格,并使处于中间状态下的商品的价格和生产都回升到中等水平,从而恢复了萧条前的价格平衡和充分就业,米恩斯将这种为恢复价格平衡而出现的物价上涨称为“通货复胀”。
第二种类型的通货膨胀在任何时期都会发生,即使可能没有对任何商品的需求的增加,当价格由卖方任意提高时,通货膨胀也就发生了。米恩斯认为,这种类型的通货膨胀是“现代:正业条件下的特殊产物”,
(三)林德贝克的成本推进型通货膨胀
林德贝克的成本推进型通货膨胀:瑞典经济学家林德贝克在其1980年出版的通货膨胀研究著作中,把成本推进的通货膨胀划分为三个类型:
(1)外生成本通货膨胀。其原因在于中间产品的进口价格上升,引起外生成本增加。同时企业要保持较高利润率,工人也要保持较高工资率,由此导致价格上升。这种类型的通货蟛胀可以看作是一段时期的价格水平上涨。
(2)相对价格要求或收入要求的通货膨胀。这起因于各种经济单位或袋团运用巾场力最提高相对价格或工资率,从而改变了相对价格与相对收入的比例关系。任何一个单位(或集团)的产品与其他单位的产品都有联系,并且每个;单位都企图保持固定价格(或工资)的关系,即Pi/Pj=入(入是一固定系数):在宏观经济水平的变化下,如果每一单位都要求保证自己的固定收入比重,那么这种收入要求就必然大于现行价格水平下的实际收入总徒工\果是导致总价格水平的上涨:
(3)“惯性”通货膨胀:各经济单位都预期未来价格水平会上涨,这样,企业和家庭为了保护他们期望的实际收入,都要调整各自的工资率和价格,由此会产生成本型通货膨胀、这时经济单位(或集团)不是为了提高相对地位,而仅仪是为厂防止自己的实际价格(或工资)在未来会下降,所以说它是一种“惯性”作用下引起的通货膨胀。
(四)成本推进型通货膨胀的简单模式:
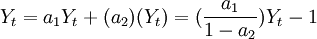
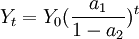
设社会货币民国收入Y仅分为两部分:工资收入者的货币工资WB和货币利润ZB则Y=ZB+WB。在无通货膨胀情况下,有以下关系式子:
Yt=(a1+a2)Y1
这里a1和a2分别为国民收入中的工资份额和利润份额,有(a1+a2)=1。如果两个利益集团中有一个不满意自己所占比例,则有可能(a1+a2)>1。
现在假设工资收人者在开始时不满意自己在国民收人中的比例,他们希望在1事情能提高货币工资的比例,即希望有以下关系式:
Wb1=a1Y0
这里的a1是新的工资所占比例。然而,利润所得者比如要使价格提高一定幅度,以保持利润在国民收人中所占比例,即有下式:
ZB1=a2Y1
如果在以后时期持续同样的反映模式,则国民收入的等式就是:

可得;

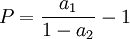
因为假设在整个过程中实际国民收人不变,所以也就含有价格水平Pt。经过适当处理,可得一下通货膨胀率的表达式:

只有当a1=1-a2时,p=0,没有通货膨胀。这样,两个集团为了各自在国民收入中的比例会进行斗争。a>(1-a2)就不会使双方同时满意,并且,a和(1-a2)之间的差距越大,通货膨胀率就越高。














