ÎÛË®´¦Àí³§ÔÚ´¦ÀíÎÛË®¹ý³ÌÖлá²úÉú´óÁ¿µÄÊ£ÓàÎÛÄ࣬ÎÛÄàÌå»ýͨ³£Õ¼ÎÛË®´¦Àí×ÜÌå»ýµÄ0. 3%¡«1. 0%£Û1£Ý¡£Ä¿Ç°ÎÒ¹úÿÄêÅŷŵĸÉÎÛÄà´óԼΪ130Íòt£¬²¢ÒÔ´óÔ¼10%µÄËÙÂÊÔö¼Ó£Û2£Ý¡£Ê£ÓàÎÛÄàÖк¬ÓдóÁ¿µÄÎÛȾÎÈçÖØ½ðÊô¡¢ÄÚ·ÖÃÚ¸ÉÈżÁ¡¢¶àÂÈÁª±½¡¢¶à»··¼ÌþÒÔ¼°¶þ‡fÓ¢µÈ£Û4£Ý£¬ÕâЩÎÛȾÎïÈç¹ûµÃ²»µ½Í×ÉÆ´¦Àí£¬»á¶Ô»·¾³Ôì³ÉÑÏÖØµÄ¶þ´ÎÎÛȾ¡£Ê£ÓàÎÛÄàµÄ´¦Àí·ÑÓþ޴ó£¬Ò»°ãÕ¼³ÇÊÐÎÛË®´¦Àí³§×Ü·ÑÓõÄ40%¡«60%£Û3£Ý¡£Ä¿Ç°¶ÔÎÛÄà´¦Àí¶à²ÉÓÃÎÛÄàÑáÑõÏû»¯µÄ·½·¨£Û5£Ý¡£ÑáÑõÏû»¯¹ý³ÌÖ÷ÒªÓÐË®½â¡¢Ëữ¡¢²úÒÒËáºÍ²ú¼×Íé4 ¸ö½×¶Î£¬ÆäÖУ¬Ë®½â¹ý³ÌÓÉÓÚÑáÑõ΢ÉúÎïËùÐèÒªµÄÓªÑøÎïÖʴ󲿷ִæÔÚÓÚÎÛÄàÐõÌåÒÔ¼°Î¢ÉúÎïµÄϸ°ûĤ(±Ú)ÄÚ²¿ÔÉúÖÊÖУ¬°ûÍâ·ÖÃÚøÎÞ·¨ÓëÓªÑø»ùÖʳä·ÖÓÐЧµØ½Ó´¥£¬ÑÏÖØÏÞÖÆÁËÑáÑõÏû»¯µÄËÙÂÊ£Û6£Ý¡£Òò´Ë£¬Òª¶ÔÎÛÄà½øÐÐÔ¤´¦Àí£¬¼´ÆÆËéÎÛÄàÐõÌåºÍÎÛÄàϸ°ûĤ(±Ú)£¬Ê¹ÓªÑø»ùÖʵÃÒÔÊÍ·Å£¬¼Ó¿ìÕû¸öÑáÑõÏû»¯¹ý³Ì£Û7-8£Ý¡£
ΪÌá¸ßÎÛÄàÑáÑõÏû»¯Ð§ÂÊ£¬Ðí¶àÎÛÄàÆÆ±Ú»òÈܰûÔ¤´¦Àí¼¼ÊõÕýÔÚÑз¢Ö®ÖС£±ÊÕß×ÛÊö¹úÄÚÍâÒÑÓб¨µÀÇÒ¾ßÓÐÁ¼ºÃÓ¦ÓÃǰ¾°µÄ¼¸ÖÖÎÛÄàÔ¤´¦Àí¼¼Êõ£¬½«ÕâЩ¼¼Êõ¹éÄÉΪµç´Å³¡¡¢·øÉäÒÔ¼°ÉúÎï´¦ÀíµÈÎÛÄàÔ¤´¦Àí¼¼Êõ£¬²¢·ÖÎöËüÃǵÄÔÀí¡¢ÌØµã¡¢´¦ÀíЧ¹ûÒÔ¼°·¢Õ¹·½Ïò¡£
1 ÎÛÄàµç´Å³¡Ô¤´¦Àí¼¼Êõ
µç´Å³¡Ô¤´¦Àí¼¼ÊõÖ÷Òª°üÀ¨µç³¡¡¢´Å³¡ÒÔ¼°µç´Å²¨µÈ´¦Àí¼¼Êõ¡£µç³¡ºÍµç´Å²¨·½ÃæÖ÷Òª°üÀ¨¾Û½¹Âö³å¼¼ÊõºÍ΢²¨¼¼Êõ; ¶øÔڴų¡·½Ã棬¹úÄÚÍâµÄÖ÷ÒªÑо¿·½ÏòÊǼÓÇ¿»îÐÔÎÛÄà·¨ÎÛË®´¦ÀíЧ¹û£Û9£ÝºÍÎÛÄàÍÑË®ÐÔÄܵĸÄÉÆ£Û10£Ý¡£Àî˧µÈ£Û11£ÝÔÚÑо¿´Å³¡¶ÔÎÛÄàµÄÍÑË®ÐÔÄÜʱ£¬·¢ÏÖÔڴų¡×÷ÓÃÏ£¬ÎÛÄàÂËÒºÖеÄCOD ºÍNH4+ÖÊÁ¿Å¨¶È¶¼ÔÚ¶Ìʱ¼äÄÚÉý¸ß£¬COD ÖÊÁ¿Å¨¶ÈµÄ×î´ó±ä»¯ÂÊΪ60%£¬ËµÃ÷Ôڴų¡×÷ÓÃÏ£¬ÎÛÄàϸ°ûÓÐÒ»¶¨³Ì¶ÈµÄÆÆ±Ú£¬Òò´Ë´Å³¡ÎÛÄàÔ¤´¦Àí¼¼ÊõÓÐÍû³ÉΪһÖÖÓÐЧµÄÎÛÄàÔ¤´¦Àí¼¼Êõ¡£±¾ÎÄÍÆ¼öʹÓÃÇ¿Âö³å´Å³¡½øÐÐÎÛÄàÔ¤´¦Àí£¬ÒòÎªËæ×Ŵų¡Ç¿¶È»òÂö³åÊýµÄÔö¼Ó£¬´Å³¡É±¾úЧ¹ûÔ½ºÃ£Û12£Ý£¬ÎÛÄàÆÆ±ÚЧ¹ûÒ²¿ÉÄܸüºÃ¡£
1£®1 ¾Û½¹Âö³åÔ¤´¦Àí¼¼Êõ
¾Û½¹Âö³å(FP)¼¼Êõ¾¡¹ÜÔÚÒ½Ñ§ÆÆ±ÚºÍʳÎïɱ¾ú·½ÃæÎªÈËËùÊìÖª£Û13-14£Ý£¬µ«¶ÔÆäÌá¸ßÑáÑõÏû»¯Ð§ÂÊ·½ÃæµÄÑо¿ÈÔ½ÏÉÙ¡£¾Û½¹Âö³åÔÚË®Öе绡·Åµç£¬¿ÉÒÔ²úÉú³å»÷²¨¡¢×ÏÍâÏß·øÉäÒÔ¼°¸÷ÖÖ×ÔÓÉ»ù£Û15£Ý£¬Í¬Ê±ÔÚ¸ßѹÌõ¼þÏ£¬Ï¸°ûĤ»á²úÉúµç´©¿×£Û16£Ý£¬ÕâЩ¶¼¿ÉÒÔ´ÙʹÎÛÄàϸ°ûÆÆË飬Èܳö°ûÄÚÓлúÎï¡£Ñо¿£Û17-20£Ý±íÃ÷: ¢Ùµ±²ÉÓýÏÈõµÄµç³¡Ê±£¬¿Éʹϸ°ûĤÐγɿÉÄæµç»÷´©£¬¼´µç³¡ËùÓÕµ¼µÄϸ°ûĤµç´©¿×ÔÚÒ»¶¨Ìõ¼þÏ¿ÉÒÔÖØÐ·â±Õ; ¢ÚËæ×ŵ糡ǿ¶ÈµÄÔö´ó£¬Ï¸°ûĤ¿×ÊýÔö¶à£¬¿×¾¶Ôö´ó£¬µ±´ïµ½Ò»¶¨³Ì¶ÈºóĤ¿×¾Í²»ÄÜÔÙ·â±Õ£¬´Ó¶øÔì³É²»¿ÉÄæ»÷´©£¬Ê¹Ï¸°ûËÀÍö¡¢ÆÆÁÑ¡£ÔÚÎÛÄàÔ¤´¦ÀíÖУ¬Ö÷ÒªÊÇÔËÓõ糡¶Ôϸ°ûĤ²»¿ÉÄæ»÷´©ÔÀí¡£20 ÊÀ¼Í60 Äê´úºóÆÚ£¬SaleµÈ£Û21-22£ÝÊ״βÉÓöà¸ö¸ßѹµçÂö³å¶Ô΢ÉúÎïϸ°û½øÐд¦Àí£¬·¢ÏÖϸ°ûÔڵ糡×÷ÓÃÏÂÈܽâ»òËÀÍö¡£¾Û½¹Âö³åµç´©¿×»úÀí¼ûͼ1£Û23£Ý¡£Í¼1 ÖУ¬Õý¸ºµç¼«·Ö±ðÓë¾Û½¹Âö³åµçÔ´ºÍµØÃæÁ¬½Ó£¬¾øÔµµÄϸ°ûĤÔÚ¿ìËٱ仯µÄµç³¡Öз¢Éú¼«»¯¡£ÕâÊÇÓÉÓÚÁ×Ö¬·Ö×ÓÊǼ«ÐÔ·Ö×Ó£¬Ëæ×ŵçºÉµÄ»ýÀÛ£¬Ä¤¼äµçѹÉý¸ß¡£Èç¹ûĤ¼äµçѹ³¬¹ýÁËijһãÐÖµ£¬Ï¸°ûĤ¼äÓÉÓÚÒýÁ¦ÒýÆðµÄѹÁ¦¾Í»áÆÆ»µÁ×֬˫·Ö×Ó²ã¶øÐγÉС¿×¡£
ϸ°ûµç´©¿×»úÀíÖ÷ÒªÑо¿µçÂö³åµÄ·ù¶È¡¢¿í¶È¡¢²¨ÐÎÒÔ¼°¸öÊýµÈ²ÎÊý¶Ôϸ°ûĤͨ͸ÐԱ仯µÄÓ°Ïì¡£Âö³å¿í¶ÈÓë·ù¶ÈÖ®¼ä´æÔÚ»¥²¹¹ØÏµ£¬¼´½µµÍÂö³å·ù¶È£¬¾ÍÐèÒª¼Ó¿íÂö³åʱ³ÌÀ´ÃÖ²¹¡£Ï¸°û´©¿×µÄЧÂÊÍùÍùÓëÂö³å·ù¶ÈÓë¿í¶ÈµÄ³Ë»ý³ÉÕý±È£Û24£Ý¡£ÔÚϸ°û´©¿×µÄ´ó¶àÊýÊÔÑéÖУ¬Ê¹ÓÃDC ·½²¨Âö³å£Û25£ÝºÍRCÖ¸ÊýË¥¼õÐÎÂö³å£Û26£ÝµÄÑо¿±íÃ÷£¬Èç¹ûÂö³åÔÚ·åµçѹ»÷´©Ï¸°ûÖ®ºó£¬ÄÜÒԽϵ͵ĵçѹά³ÖĤ¿×¶´¿ª·ÅÒ»¶Îʱ¼ä£¬ÔòÓÐÀûÓÚÌá¸ßϸ°ûµç´©¿×µÄЧÂÊ£¬Òò´Ë£¬RCÖ¸ÊýË¥¼õÐÎÂö³åÍùÍù±ÈÏàͬµÄDC ·½²¨Âö³å¸üÓÐЧ£Û27£Ý¡£Ôö¼ÓÂö³å¸öÊýÄÜÔö´óϸ°û´©¿×µÄЧ¹û£¬ºóÐøÂö³åµÄ»ýÀ۳ɻîÂʱȵÚÒ»Âö³åϽµµÃ¸ü¿ì£Û28£Ý¡£
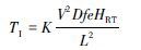
¾Û½¹Âö³åÔ¤´¦ÀíÎÛÄàÄܹ»ÓÐЧÌá¸ßÎÛÄàÈܽâÐÔÓлúÎïŨ¶ÈºÍÎÛÄàÑáÑõÏû»¯²ú¼×ÍéЧÂÊ£¬²¢ÇÒ¾ßÓнϸߵÄÄÜЧ¡£¾Û½¹Âö³å¶ÔÎÛÄà´¦ÀíÇ¿¶ÈµÄ¼ÆË㹫ʽΪ
ʽÖÐ: TIΪ¾Û½¹Âö³å¶ÔÎÛÄàµÄ´¦ÀíÇ¿¶È£¬(kW¡¤h)/m3;V ΪÂö³åµçѹ£¬(kg¡¤m2)/(C¡¤s2); D ΪÂö³å¿í¶È£¬s;f ΪÂö³åƵÂÊ£¬1/s; e ΪÑùÆ·µÄµçµ¼ÂÊ£¬S/m; L Ϊµç¼«¼äµÄ¾àÀ룬m; HRTΪÎÛÄàÑùÆ·ÔÚÂö³åµç³¡ÖÐÍ£ÁôµÄʱ¼ä£¬s; K Ϊµ¥Î»×ª»»³£Êý£¬ÓÃÀ´ÆÀ¹ÀÎÛÄà´¦ÀíÇ¿¶È¶ÔCOD Éú³ÉCH4µÄÓ°Ï죬ȡ2. 8¡Á10-7(kW¡¤h)/J¡£
Hanna µÈ£Û30£ÝÀûÓþ۽¹Âö³å´¦ÀíÊ£ÓàÎÛÄàºó£¬·¢ÏÖSCOD/TCOD ÒÔ¼°ÎÛÄàÖаûÍâ¶à¾ÛÎïECP ³É·ÖµÄº¬Á¿·Ö±ðÔö¼ÓÁË4. 5±¶ºÍ6. 6±¶¡£ÑáÑõÏû»¯ºó£¬¼×Íé²úÁ¿Ìá¸ßÁË2. 5±¶¡£ÃÀ¹úOpenCELTM²úÆ·ÒѾÔÚÃ·ÈøÊÐÎ÷±±ÎÛË®´¦Àí³§Öеõ½Ó¦ÓãÛ31£Ý£¬¾´¦ÀíºóµÄÊ£ÓàÎÛÄàÖУ¬ÈܽâÐÔ»¯Ñ§ÐèÑõÁ¿SCOD ÒÔ¼°ÈܽâÐÔÓлú̼DOC ·Ö±ðÔö¼ÓÁË160%ºÍ120%¡£µ±Ê£ÓàÎÛÄà´¦ÀíÂÊΪ60%ʱ£¬¼×Íé²úÁ¿Ôö¼ÓÁË40%ÒÔÉÏ¡£¾¼ÆË㣬¾Û½¹Âö³åÔ¤´¦ÀíËùÌá¸ßµÄ²ú¼×ÍéÁ¿Óë»ØÊÕµÄÈÈÄÜÖ®ºÍ´ïµ½Á˾۽¹Âö³åÔ¤´¦ÀíËùÏûºÄÄÜÁ¿µÄ18±¶¡£¼´Ê¹²»¿¼ÂÇ»ØÊÕµÄÈÈÄÜ£¬ÎÛÄà²ú¼×ÍéÁ¿µÄÔöÁ¿Ò²´ïµ½ÊäÈëÄÜÁ¿µÄ2. 7±¶¡£¾Û½¹Âö³åÔ¤´¦ÀíÔËÐÐÊý¾ÝÏÔʾ£¬É豸°²×°Í¶×ʳɱ¾»ØÊÕÆÚ²»»á³¬¹ý3 Äê¡£
¾Û½¹Âö³å¼¼Êõ²»µ«Ã÷ÏÔµØÌá¸ßÁËÎÛÄàÑáÑõÏû»¯Ð§ÂÊ£¬¶øÇÒ¼õÉÙÁËÑáÑõÏû»¯¹ý³ÌÖеijôζºÍÅÝĵȣ¬Òò´Ë¿ÉÄÜÔÚÎÛË®´¦Àí³§ÖÐÄܵõ½¹ã·ºÓ¦Ó᣽ñºó¾Û½¹Âö³å¼¼ÊõµÄÑо¿·½ÏòÔÚÒÔϼ¸¸ö·½Ãæ: ¢Ù¸Ä±äÂö³åµÄÐÎʽ£¬ÈçʹÓÃÕñµ´µç³¡£¬Ê¹³ýÁ˾ßÓÐѹËõÁ×֬˫·Ö×Ó²ãµÄЧ¹ûÖ®Í⣬»¹»á²úÉúµç-»úеÁ¦ñîÁªÐ§Ó¦£Û32£Ý£¬¿ÉÄÜ»áÌá¸ßÎÛÄà´¦ÀíµÄЧ¹û; ¢ÚÁªºÏÆäËûÔ¤´¦Àí¹¤ÒÕ£¬Ìá¸ßÎÛÄà´¦ÀíÄÜÁ¦; ¢Û¸ÄÉÆÂö³åµç³¡´¦ÀíÊҵIJÄÁϺ͹¹Ô죬ÒòΪÔÚÂö³å´¦Àí¹ý³ÌÖУ¬´¦ÀíÊÒ»áÊܵ½ºÜ´óµÄ¸¯Ê´£Û33£Ý; ¢ÜÔö¼ÓÎÛÄà´¦ÀíÁ¿£¬ÒòΪËùʹÓõĵçѹӦ¿ÉÒÔ²úÉú¼¸¸ökV/cm µÄÇ¿µç³¡£¬¶øÏÞÖÆÁËÎÛÄà´¦ÀíÊÒµÄÈÝ»ý¡£
1£®2 ΢²¨Ô¤´¦Àí¼¼Êõ
΢²¨ÊÇÒ»ÖÖÆµÂÊ´Ó300 MHz ¡« 300 GHz£¬¼´²¨³¤ÔÚ1m¡«0. 1mm ·¶Î§µÄµç´Å²¨£Û34£Ý¡£Ä¿Ç°ÓÃÓÚ¹¤ÒµÄ¿µÄµÄ΢²¨ÆµÂÊÒ»°ãΪ915 MHz ºÍ2 450 MHz¡£Î¢²¨¶Ô΢ÉúÎïµÄ×÷ÓÿɷÖΪÈÈЧӦºÍ·ÇÈÈЧӦÁ½ÖÖ¡£Î¢²¨ÈÈЧӦÖ÷ÒªÓÐż¼«¼«»¯ËðºÄ¡¢½çÃæ¼«»¯ËðºÄµÈ»úÖÆ£Û35-36£Ý£¬¶ø¶Ô·ÇÈÈЧӦÔÀíÖÁ½ñ»¹¾ßÓкܴóµÄÕùÒé¡£
Ŀǰ£¬Î¢²¨ÎÛÄàÔ¤´¦Àí¼¼ÊõµÄÑо¿½ÏΪÈÈÃÅ¡£Cigdem µÈ£Û37£ÝÈÏΪ£¬ËäÈ»ÎÛÄà´¦ÀíµÄǰ7 d ΢²¨¶Ô²úÆøÓ°Ïì²»´ó£¬µ«Ã÷ÏÔÌá¸ßÁËÎÛÄàÑáÑõÏû»¯µÄÐÔÄÜ¡£Eskicioglu µÈ£Û38£ÝµÄÑо¿±íÃ÷£¬Î¢²¨¶ÔÎÛÄàÐõÌåµÄ½á¹¹ºÍϸ°ûĤ¾ßÓÐÆÆ»µÄÜÁ¦£¬Ê¹ÎÛÄàÊͷŰûÄÚÍâÈܽâÐÔ¿ÅÁ£COD ÓлúÎïÖÊ(Èçµ°°×ÖÊ£¬¶àÌÇ£¬ºËËáµÈ)¡£
ÔÚ96¡æÎ¶ÈÏ£¬µ±ÎÛÄàÍ£Áôʱ¼äΪ5 d ʱ£¬ÎÛÄàÖÐ×ܹÌÌåTS ºÍ»Ó·¢ÐÔ¹ÌÌåVS µÄÈ¥³ýÂʱȳ£ÎÂÏ´¦ÀíµÄÈ¥³ýÂÊÌá¸ßÁË32%ºÍ26%; ¶øµ±ÎÛÄàÍ£Áôʱ¼äΪ20 d ʱ£¬Í¬Ñù²Ù×÷Ìõ¼þÏÂTS ºÍVS È¥³ýÂÊÌá¸ßÁË16%ºÍ12%£¬ËµÃ÷ζȺÍÎÛÄàÍ£Áôʱ¼ä¶Ô΢²¨Ìá¸ßÎÛÄàÑáÑõÐÔ¶¼¾ßÓÐÓ°Ïì¡£Park µÈ£Û39£Ý·¢Ï־΢²¨´¦ÀíºóµÄÊ£ÓàÎÛÄàÖУ¬²úÆøÁ¿ºÍCOD È¥³ýÂÊ·Ö±ðÌá¸ßÁË79%ºÍ65%£¬Í¬Ê±£¬ÎÛÄàÍ£Áôʱ¼ä¿ÉÓÉÔÀ´µÄ15 dËõ¶ÌÖÁ8 d¡£Eskicioglu µÈ£Û40£Ýͨ¹ýʵÑé·¢ÏÖζȡ¢´¦ÀíÇ¿¶ÈÒÔ¼°ÎÛÄàŨ¶È¶ÔÎÛÄàÈܽâÐÔµÄÓ°Ïì½Ï´ó¡£
΢²¨Ô¤´¦Àí¼¼Êõ´¦ÀíËٶȿ졢Ч¹ûºÃ£¬¿ÉÓÐЧÈܽâÎÛÄàϸ°û±Ú£¬Ìá¸ßÑáÑõÏû»¯Ð§ÂÊ£¬µ«ÔËÐзÑÓýϸߣ¬ÏÞÖÆÁËÆä¹ã·ºÓ¦Ó᣽ñºóÓ¦ÒÔ½µµÍÄܺÄΪ×ÅÊֵ㣬Ñо¿Ó°Ïì΢²¨´¦ÀíЧÂʵÄÒòËØ£¬ÕÒ³ö×î¼Ñ¹¤¿ö£¬²¢ÁªºÏÆäËû´¦Àí¹¤ÒÕ£¬½øÒ»²½Ìá¸ßÑáÑõÏû»¯Ð§¹û£¬½µµÍÄܺġ£Î¢²¨Ó¦ÓÃǰ¾°½ÏºÃ£¬ÖµµÃ½øÒ»²½Ñо¿£¬²¢Íƶ¯ÆäÔÚ¹¤³ÌÉϵĹ㷺ӦÓá£
2 ÎÛÄà·øÉäÔ¤´¦Àí¼¼Êõ
·øÉä¼¼ÊõÓÃÓÚ·ÏÎï´¦Àí×îÔçʼÓÚ20 ÊÀ¼Í50 Äê´ú£Û41£Ý¡£Ä¿Ç°·øÉäÀàÐÍÖ÷ÒªÓÐÁ½ÖÖ: ¢ÙÓÉÍ¬Î»ËØ60Co¼°137Cs ×÷Ϊ·øÕÕÔ´²úÉú¦ÃÉäÏß; ¢ÚÀûÓõç×Ó¼ÓËÙÆ÷¼ÓËÙ³öÀ´µÄ¸ßÄܵç×ÓÊø¡£»ùÓÚ·øÉäµÄÎÛÄà´¦Àí¼¼Êõ¾ßÓвÙ×÷¼ò±ã¡¢¸ßЧÂÊ¡¢µÍÄܺĵÈÌØµã£¬Òò´ËÓ¦¼ÓÒÔÌᳫºÍÍÆ¹ã£Û42£Ý¡£
2£®1 ¦ÃÉäÏßÔ¤´¦Àí·¨
60Co ºÍ137Cs ¶¼ÄÜÓÐЧµØ²úÉú¦ÃÉäÏß½øÐÐÎÛÄà´¦Àí£¬µ«ÔÚ¹¤ÒµÉÏÆÕ±éʹÓÃ60Co£¬ÕâÊÇÒòΪ137Cs °ëË¥ÆÚΪ30 Ä꣬ÓпÉÄÜ»áÒýÆðºËй©£Û43£Ý¡£¡¦CUBA µÈ£Û44£ÝµÄʵÑé±íÃ÷£¬¾¦ÃÉäÏß(16 kGy)´¦ÀíºóµÄÎÛÄà²úÆøÁ¿Ìá¸ßÁË22%¡£ÎÄÏ×£Û45£Ý·¢ÏÖ¦ÃÉäÏß»¹¿ÉÒÔÌá¸ßÎÛÄàµÄ³Á½µÐÔ¡¢ÍÑË®ÐÔ£¬ÄÜÒÖÖÆÎÛÄà·¢ÅÝ¡£YUANµÈ£Û46£Ýͨ¹ýʵÑé·¢ÏÖ£¬ÎÛÄྐྵý¦ÃÉäÏß´¦Àíºó£¬×ܹÌÌåTS¡¢»Ó·¢ÐÔ¹ÌÌåVS¡¢Ðü¸¡ÎïSS ÒÔ¼°»Ó·¢ÐÔÐü¸¡ÎïVSS ¶¼ÔÚ¼õÉÙ£¬¶øÇÒËæ×Å·øÉä¼ÁÁ¿´Ó0 Ôö¼Óµ½30 kGy ʱ£¬ÎÛÄàÁ£¾¶·Ö²¼´Ó80 ¡« 100 ¦Ìm ½µµÍµ½0 ¡«40 ¦Ìm£¬Õâ±íÃ÷ÎÛÄàÐõÌåÊܵ½ÆÆ»µ¡£ÓÉÓÚÎÛÄàϸ°ûÈܳö°ûÄÚÎïÖÊ£¬SCOD Éý¸ß¡£·øÉä¼ÁÁ¿·Ö±ðΪ2. 48kGy£¬6. 51 kGy ºÍ11. 24 kGy ´¦Àí¹ýµÄÎÛÄ࣬²úÆøÁ¿·Ö±ðÔö¼ÓÁË44%£¬98%ºÍ178%¡£Ö£ÕýµÈ£Û47£ÝµÄʵÑé±íÃ÷£¬ÔڽϵͷøÉä¼ÁÁ¿(2. 48 kGy)Ï£¬SCOD Ôö¼ÓÁË178. 7%; µ±·øÉä¼ÁÁ¿ÔöÖÁ10¡«20 kGy ʱ£¬SCOD µÄÔö¼ÓÂʳ¬¹ý500%¡£¾10 kGy ·øÉä¼ÁÁ¿´¦ÀíºóµÄÎÛÄà²úÆø±ÈÂÊÓÐÏÔÖøÌá¸ß¡£µ±ÎÛÄàÍ£Áôʱ¼äΪ8 d£¬12 dºÍ20 d ʱ£¬ÎÛÄà²úÆø±ÈÂÊ·Ö±ðÔö¼ÓÁË52. 6%£¬53. 5%ºÍ37. 6%¡£Ä²ÑÞÑ޵ȣÛ48£ÝÑо¿·¢ÏÖ£¬¦ÃÉäÏß·øÕÕÔ¤´¦Àí·½·¨¿ÉÓÐЧ¸ÄÉÆÑáÑõÏû»¯ÎÛÄàµÄÎﻯÐÔÖÊ: ¢Ù¿É½µµÍÎÛÄàÖÐÓлúÖÊ¿ÅÁ£µÄ´óС£¬Ôö¼Óϸ¾ú°ûÍâø½Ó´¥µ×ÎïµÄ¼¸ÂÊ£¬´Ó¶øÌá¸ßÑáÑõÏû»¯µÄË®½âËÙÂÊ; ¢ÚÆÆ»µÎÛÄàÖÐ΢ÉúÎïµÄϸ°û±Ú£¬Ìá¸ßÎÛÄàÑáÑõÏû»¯µÄÓÐЧ³É·Ö; ¢ÛÌá¸ßÎÛÄàÑáÑõÏû»¯ÏµÍ³µÄ¿¹ËáÐÔÄÜ; ¢Ü¦ÃÉäÏßÓëË®·Ö×Ó·¢Éú·´Ó¦Éú³É»îÐÔÎïÖÊeaq-¡¢OH¡¤¡¢H¡¤£¬Ìá¸ßÎÛÄàÑáÑõÏû»¯µÄËÙÂÊ¡£
¿É¼û£¬¦ÃÉäÏßÔ¤´¦Àí·¨¿ÉÓÐЧ½øÐÐÎÛÄàÆÆ±Ú£¬Ìá¸ßÑáÑõÏû»¯ËÙÂÊ¡£µ«¹ØÓÚ¦ÃÉäÏßÎÛÄàÔ¤´¦Àí·¨µÄÑо¿Ï൱ÉÙ£¬½ñºóÑо¿µÄ·½Ïò½«ÊÇ: ¢Ù½µµÍ¦ÃÉäÏßÔ¤´¦Àí·¨×°ÖõĻù½¨·ÑÓÃ; ¢ÚÑо¿Ó°Ïì¦ÃÉäÏßÔ¤´¦Àí·¨ÎÛÄà´¦ÀíЧ¹ûµÄÒòËØ£¬Èç·øÉä¼ÁÁ¿¡¢·øÉäʱ¼ä¡¢ÎÛÄàζȡ¢ÎÛÄຬˮÂÊÒÔ¼°ÎÛÄà²ãºñ¶ÈµÈ£¬½ø¶øÓÅ»¯ÔËÐвÎÊý£¬Ìá¸ßÎÛÄà´¦ÀíЧÂÊ; ¢ÛÑо¿ºÍÆäËûÔ¤´¦Àí¼¼Êõ(Èç¼Ó¼îµÈ)Ïà½áºÏµÄÎÛÄà´¦Àí·½·¨; ¢ÜÌá¸ß¦ÃÉäÏßÔ¤´¦Àí·¨µÄ°²È«ÐÔÒÔ¼°¦ÃÉäÏß²úÉúÁ¿¡£
2£®2 µç×ÓÊøÔ¤´¦Àí¼¼Êõ
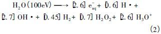
µç×ÓÊøÔ¤´¦Àí¼¼Êõ²»ÐèÒªÌí¼Ó¶îÍâµÄ»¯Ñ§ÊÔ¼Á£¬²»Éú³É¸±²úÎ²¢ÇÒ¿ÉÒÔͨ¹ýÓÉ·øÉä²úÉúµÄOH¡¤À´½µ½âÓж¾ÄÑ´¦ÀíµÄÎïÖÊ£Û49£Ý¡£µ±¸ßÄܵç×ÓÊø·øÉ䴿ˮʱ£¬ÔÚ10-7s ÄÚ·¢Éú»¯Ñ§·´Ó¦£Û50£Ý:
·½À¨ºÅÖеÄÊý×Ö±íʾÿÎüÊÕ100eV µÄÄÜÁ¿Ê±£¬Ë®ÖвúÉúµÄ¸÷ÖÖ×ÔÓÉ»ùµÄÊýÁ¿¡£Õâ¸ö·´Ó¦Ò²¿ÉÒÔÔÚÎÛÄàÖз¢Éú£¬ÒòΪÎÛÄàÖк¬ÓдóÁ¿µÄË®¡£Park µÈ£Û51£Ýͨ¹ýʵÑé·¢ÏÖ£¬ÔÚ·øÕÕ¼ÁÁ¿Îª20 kGy Ï£¬ÎÛÄà²ãºñ¶ÈΪ1. 0 cm£¬0. 75 cm£¬0. 5 cm ÒÔ¼°0. 25 cm ÖеÄSCOD ·Ö±ðÔö¼ÓÁË49%£¬54%£¬97% ºÍ147%£¬²¢ÇÒ·¢ÏÖ·øÕÕʱ¼ä´Ó0. 3 s Ôö¼Óµ½1. 2 s ¹ý³ÌÖУ¬SCOD Ôö¼ÓÁ¿²¢²»Ã÷ÏÔ£¬µ«Êǵ°°×Öʺ¬Á¿Ôö¼ÓÁË5±¶£¬´Ó¶øµÃ³ö½áÂÛ: ÎÛÄà²ãºñ¶ÈÊÇÓ°ÏìÎÛÄàÖÐÓлúÎïÈܽâµÄÖØÒª²ÎÊý£¬·øÕÕʱ¼äÊÇÓ°ÏìÎÛÄàϸ°ûÈܰûµÄÖØÒª²ÎÊý¡£
SHIN µÈ£Û52£ÝʵÑé·¢ÏÖ£¬µç×ÓÊø·øÉä´¦ÀíÎÛÄàºóµÄ24h ÆÚ¼ä£¬×Ü»¯Ñ§ÐèÑõÁ¿TCOD ÊÍ·ÅÁË30% ¡« 52%£¬»Ó·¢ÐÔÖ¬·¾ËáVFAs ´óÔ¼Ôö¼ÓÁË90%£¬²¢ÇÒÑáÑõÏû»¯Ê±¼äËõ¶ÌÁËÒ»°ë¡£´ËÍâʵÑ黹·¢ÏÖ£¬ÎÛÄàµÄpH Öµ²»Ó°Ïìµç×ÓÊøÎÛÄà´¦ÀíЧ¹û£¬ÔÚSCOD Ôö¼Ó½Ï¿ìµÄÆÚ¼ä£¬Ñõ»¯»¹Ôµçλ(oxidation-reduction potential£¬ORP)ÇúÏßϽµ£¬¶øµ±SCOD ÇúÏßÇ÷ÓÚÆ½ºâʱ£¬ORPÇúÏß¿ªÊ¼ÉÏÉý£¬Óɴ˿ɽ«ORP ×÷Ϊһ¸ö¿ìËÙ±íÕ÷ÎÛÄàË®½âµÄ²ÎÊý¡£CAO µÈ£Û53£ÝµÄʵÑé·¢ÏÖ£¬Ëæ×Å·øÉä¼ÁÁ¿µÄÔö´ó£¬SCOD¡¢ÈܽâÐÔ×ܵªSTN µÈѸËÙÔö¼Ó£¬¶ø»ìºÏÒºÎÛÄàŨ¶ÈMLSS ´ó·ù¶È¼õС£¬ËµÃ÷´ËʱÎÛÄàϸ°ûÆÆ½âÈܳö´óÁ¿Ï¸°ûÄÚÎïÖÊ; ²¢ÇÒµ±ÎÛÄà²ãΪ5cmʱ´¦ÀíЧ¹û½ÏºÃ£¬´¦ÀíºóµÄÎÛÄàzeta µçλÇ÷½üÓÚÁ㣬˵Ã÷ÎÛÄàµÄ³Á½µÐÔÄܱäºÃ¡£
µç×ÓÊøÎÛÄàÔ¤´¦Àí¼¼Êõ¾ßÓиßЧ¡¢¿ìËÙ¡¢¾¼ÃµÄÓŵ㣬ӦÓÃǰ¾°½ÏºÃ¡£½ñºóµÄÑо¿·½ÏòÓ¦ÔÚÓÚ: ¢ÙÈ·¶¨Ó°Ïìµç×ÓÊøÔ¤´¦Àí¼¼ÊõµÄÒòËØ£¬ÓÅ»¯¹¤¿ö²ÎÊý;¢ÚÓëÆäËûÔ¤´¦Àí¼¼ÊõÁªÓã¬Ìá¸ßÎÛÄà´¦ÀíЧ¹û; ¢ÛÌá¸ßµç×ÓÊøÔ¤´¦Àí¼¼ÊõµÄ°²È«ÐÔ¡£
3 ÎÛÄàÉúÎïË®½âÔ¤´¦Àí¼¼Êõ
²ÉÓÃÉúÎï¼¼Êõ´¦ÀíÎÛÄ࣬ÓÉÓÚ¾ßÓпɳÖÐøÐÔ¡¢ÎÞº¦»¯¡¢°²È«ÒÔ¼°¶Ô»·¾³ÓѺõÈÓŵ㣬µÃµ½ÁËÐí¶àÑо¿ÕßµÄÇàíù¡£Ä¿Ç°£¬ÉúÎïË®½âÔ¤´¦Àí¼¼ÊõÖ÷Òª°üÀ¨ÉúÎïøԤ´¦Àí¼¼ÊõºÍÉúÎïÇ¿»¯Ô¤´¦Àí¼¼Êõ¡£Ëæ×ÅÉúÎï¼¼ÊõµÄѸËÙ·¢Õ¹£¬ÉúÎïË®½âÔ¤´¦Àí¼¼Êõ¾ßÓнϺõķ¢Õ¹Ç°¾°¡£
3£®1 ÉúÎïøԤ´¦Àí¼¼Êõ
ÉúÎïøˮ½â¼¼ÊõÒѾÓÐÁË30 ¶àÄêµÄÑо¿ÀúÊ·£¬Ðí¶àÖÖÀàµÄøÔÚ·ÏÎï´¦Àíµ±ÖÐÆð×ÅÖØÒªµÄ×÷Óá£ÏÈǰµÄÑо¿½á¹û±íÃ÷£¬¶îÍâÌí¼ÓøÀà¿ÉÒÔÌá¸ßÎÛÄàÑáÑõÏû»¯Ð§ÂÊ£¬²¢¿É¸ÄÉÆÃ¸ÀàµÄ³Á½µÐÔÄÜ£Û54£Ý£¬½µµÍ´¦Àí³É±¾£Û55£Ý£¬¿ØÖƼòµ¥£¬²úÎï¶Ô»·¾³ÎÞº¦£Û56£Ý¡£GuangµÈ£Û57£Ý½«°ûÍâ¾ÛºÏÎï(EPS)·Ö³ÉËÉÉ¢(LB-EPS)ºÍ½ôÃÜ(TB-EPS)Á½²¿·Ö£¬²¢¸ù¾ÝøϵÁÐʵÑéÑо¿½á¹û£¬ÈÏΪµ°°×øÖ÷Òª×÷ÓÃÓÚÎÛÄà¿ÅÁ££¬¦Á-µí·ÛøºÍ¦Á-ÆÏÌÇÜÕø×÷ÓÃÓÚËÉÉ¢µÄ°ûÍâ¾ÛºÏÎï(LB-EPS)£¬Ö»ÓкÜÉÙ²¿·ÖµÄµ°°×ø¡¢¦Á-µí·ÛøºÍ¦Á-ÆÏÌÇÜÕø×÷ÓÃÔÚ½ôÃܵİûÍâ¾ÛºÏÎï(TB-EPS)¡£44% ¡« 65%µÄ¦Á-µí·ÛøºÍ59% ¡« 100%µÄ¦Á-ÆÏÌÇÜÕø×÷ÓÃÔÚLB-EPS£¬±íÃ÷ÎÛÄàÐõÌåË®½â²¿·ÖÖ÷ÒªÊǵ°°×ÖʺÍ̼ˮ»¯ºÏÎï¡£Roman µÈ£Û58£Ý½«ÏËÎ¬ËØÃ¸ºÍÁ´Ã¹µ°°×øE ·Öµ¥Ò»ºÍ»ìºÏÁ½ÖÖͶ¼Ó·½Ê½À´´¦ÀíÎÛÄ࣬½á¹û±íÃ÷£¬¾»ìºÏͶ¼Ó·½Ê½´¦ÀíºóµÄÎÛÄ࣬ÎÛÄàÁ¿¼õÉÙÁË80%£¬¿ÅÁ£ÐÍCOD È¥³ýÁË93%£¬×Ü»¯Ñ§ÐèÑõÁ¿TCOD È¥³ýÁË97%£¬×ÜÐü¸¡¹ÌÌåTSS ´Ó25 g/L ½µµÍµ½5g/L£¬¼õÉÙÁË80%¡£¶øµ¥Ò»Í¶¼Ó·½Ê½¶ÔÎÛÄàµÄÈܽ⡢COD ÒÔ¼°TSS È´¼¸ºõûÓÐÓ°Ï죬µ«ËùÓз½Ê½µÄͶ¼Óø¶¼¿ÉÒÔ½µµÍ»Ó·¢ÐÔÖ¬·¾ËáVFAs¡£ÓÉÓÚVFAs »ýÀÛ¿ÉÄܻᵼÖ·¢½Íʧ°Ü£¬ËùÒԵóö½áÂÛÊǶîÍâÌí¼Óø¿É´Ó½µµÍVFAs£¬ÎÛÄà¼õÁ¿£¬ÒÔ¼°ÓÉÓÚpH ÖµÎȶ¨¶ø±£Ö¤Ïû»¯Îȶ¨µÈ·½Ã棬˵Ã÷¿ÉÒÔÌá¸ßÑáÑõÏû»¯Ð§ÂÊ¡£Andres µÈ£Û59£ÝµÄʵÑé±íÃ÷£¬ÎÛÄà±»ÉúÎïø´¦Àíºó£¬ÆäÔÚÂö³åµç³¡ÖÐÍ£ÁôµÄʱ¼äËõ¶ÌÁË30%£¬ÕâÒâζ×Å·´Ó¦Æ÷ÈÝ»ý¿ÉÒÔ´ó´ó¼õС£¬²»½ö½µµÍ¼ÓÈȺͽÁ°èµÄÄܺ쬶øÇÒ»¹¿ÉÒÔ½µµÍ»ù½¨µÄ·ÑÓá£
ÉúÎïøԤ´¦Àí¼¼Êõ¿ÉÓÐЧÌá¸ßÎÛÄàÈܽâÐÔÒÔ¼°ÑáÑõÏû»¯Ð§ÂÊ£¬´ó´óÌá¸ß²ú¼×ÍéÄÜÁ¦£¬²»ÐèÒªÌØÊâµÄ·´Ó¦É豸£¬·´Ó¦Ìõ¼þκͣ¬²»²úÉú2 ´ÎÎÛȾÎËùÒÔ¾ßÓÐÁ¼ºÃµÄÓ¦ÓÃǰ¾°¡£ÓÉÓÚøµÄÖÖÀà·±¶à¼°Æä±¾ÉíÌØÐÔ£¬½ñºóÑо¿·½ÏòÓ¦°üº¬: ¢ÙÑо¿ÀûÓò»Í¬ÖÖÀàµÄø½øÐÐÎÛÄàÔ¤´¦Àí£¬Ñ°ÕÒÆä×î¼Ñ×éºÏ; ¢ÚÓÉÓÚøÀà¶Ô»·¾³½ÏÃô¸Ð£¬ËùÒÔÒªÑо¿×î¼ÑµÄ¹¤¿ö²ÎÊý(ÈçpH¡¢Î¶ȵÈ)ºÍ×î¼ÑͶ¼ÓÁ¿; ¢ÛÌá¸ßÉúÎ﹤³Ì¼¼Êõ£¬Éú²úµÍÁ®¸ßЧÉúÎïøÊÔ¼Á¡£
3£®2 ÉúÎïÇ¿»¯Ô¤´¦Àí¼¼Êõ
ÉúÎïÇ¿»¯Ô¤´¦ÀíÊÇÏòÎÛÄàÖÐͶ¼Ó¾ßÓÐÌØ¶¨¹¦ÄܵÄ΢ÉúÎïÀ´¸ÄÉÆÎÛÄàÑáÑõÏû»¯ÐÔÄÜ£¬³ä·Ö·¢»Ó΢ÉúÎïµÄDZÁ¦¡£Î¢ÉúÎï¿ÉÒԸıä»òÕßÆÆ»µÎÛÄàÐõÌåµÄ½á¹¹ºÍ³É·Ö¡£Ñо¿·¢ÏÖ£¬Ë¿×´Õæ¾ú¾ßÓкÜÇ¿µÄÊͷŵ°°×ÖÊ¡¢Ã¸¡¢ÓлúËáÒÔ¼°ÆäËû´úл²úÎïµÄÄÜÁ¦£Û60£Ý£¬¿ÉÒÔÒÖÖÆ»ò¼õÉÙ¼îÐÔÎïÖÊÒÔ±£³ÖpH ƽºâ£¬½µ½âÓлúÎï¡£¸ù¾ÝMolla µÈ£Û61£ÝµÄÑо¿£¬»ìÈëË¿×´Õæ¾ú¿ÉÒÔͨ¹ý¼ÓÇ¿ÆäËû¾ú·ÖÃÚøµÄÄÜÁ¦À´¼Ó¿ì»ùÖʵķֽ⡣ͨ¹ýÉúÎïÇ¿»¯ºó£¬ÕÓÆø²úÁ¿»á´ó´óÌá¸ß¡£Miah µÈ£Û62£Ýͨ¹ý½ÓÖÖ¸ßÎÂÏû»¯¾úÖÖAT£¬ÕÓÆø²úÁ¿Ôö¼ÓÁË2. 2±¶¡£Tepe µÈ£Û63£Ýͨ¹ýÏòÑáÑõ·¢½Í³ØÖÐͶ¼Ó¸Ë¾ú¡¢¼Ùµ¥°û¾úÒÔ¼°·ÅÏß¾úµÈÀ´Ìá¸ß²ú¼×ÍéÁ¿£¬µ±¼ÓÈëϸ¾úÁ¿Îª5 g/L ʱ£¬´¿¼×Íé²úÁ¿Ìá¸ßÁË29%£¬±ûËá²ÐÁôŨ¶È½µµÍÁË46%£¬´ËÍ⣬CH3SH Éú³ÉÁ¿½µµÍÁË63%£¬´ó´ó¼õÉÙÁË·¢½Í¹ý³ÌÖеijôζ¡£Miah µÈ£Û64£ÝÀûÓþúÖÖSPT2-1 ½øÐÐÎÛÄàÔ¤´¦Àí£¬´Ë¾úÖÖ¿ÉÒÔ·ÖÃÚµ°°×øÒÔ¼°µ°°×øµÈ°ûÍâø£¬ÔÚÓÐÑõÌõ¼þÏÂʹÎÛÄàÈܽâËٶȼӿìÁË´óÔ¼40%£¬¶øÔÚÑáÑõÌõ¼þÏÂÉúÎïÕÓÆø²úÁ¿Ìá¸ßÁË1. 5±¶¡£
´ÓÒÑÓеÄÑо¿³É¹û·¢ÏÖ£¬ÉúÎïÇ¿»¯¼¼ÊõÔÚÒ»¶¨³Ì¶ÈÉϺÍøǿ»¯¼¼ÊõÖØºÏ£¬Ö»ÊÇÉúÎïøµÄÀ´Ô´²»Í¬¡£Á½ÖÖ´¦Àí¼¼ÊõµÄÓŵã»ù±¾Ò»Ñù£¬ÓнϺõķ¢Õ¹Ç°¾°¡£½ñºóÑо¿·½ÏòӦΪ: ¢ÙÓÉÓÚ¾úÖÖ·±¶à£¬Ó¦Ã÷È·ÆðÖ÷Òª×÷ÓõÄÊÇÄÄÒ»ÖÖ»òÕßÄÄÒ»Àà¾úÖÖ; ¢ÚÈ·¶¨×îÓÅ»¯µÄ¾úÖÖ¼ÁÁ¿£¬Ìá¸ß¾¼ÃÐÔ; ¢ÛÀûÓÃÉúÎ﹤³Ì¼¼Êõ£¬ÅàÑø³ö¸ßЧµÄ¾úÖÖÊÔ¼Á¡£¡£
4 ½áÓï
ËäÈ»ÏÖÓеÄÎÛÄàÔ¤´¦Àí¼¼ÊõÖÖÀà·±¶à£¬µ«Êµ¼ÊÓ¦Ó÷½ÃæµÄÑо¿²»¹»ÉîÈëºÍÈ«Ãæ¡£½ñºó£¬Ñо¿¹¤×÷Ó¦¸Ã×ÅÑÛÓÚʵ¼ÊÉú²ú£¬½â¾öÏà¹Ø¼¼ÊõͶ×ʸߡ¢ÄܺĴóÒÔ¼°²»¾¼ÃµÈÎÊÌâ¡£±¾ÎıÊÕßËùÂÛÊöµÄÎÛÄàÔ¤´¦Àí¼¼Êõ£¬¶¼ÓÐÁ¼ºÃµÄ·¢Õ¹Ó¦Ó÷¢Õ¹¿Õ¼ä£¬ÖµµÃÉîÈëÑо¿¡£














