A2O ¹¤ÒÕ¾ßÓÐͬʱȥ³ýÓлúÎï¡¢µªºÍÁ×£¬ÇÒ×ÜË®Á¦Í£Áôʱ¼ä(hydraulic retention time£¬HRT) ¶Ì¡¢ÒײÙ×÷¿ØÖÆ¡¢´¦ÀíË®Á¿´ó¡¢ÔËÐзÑÓýϵ͵ÈÓŵ㣬ÊÇÖйúÎÛË®´¦Àí×î¼òµ¥µÄͬʱÍѵª²¢³ýÁ׵ŤÒÕÖ®Ò»£®µ«¸Ã¹¤ÒÕÒ²´æÔÚ×Åȱµã£¬ÔÚͬһ·´Ó¦ÏµÍ³ÖÐͬʱ´æÔÚ¾ÛÁ×¾úºÍÏõ»¯Ï¸¾ú£¬ÓÉÓÚ¾ÛÁ×¾úºÍÏõ»¯Ï¸¾ú¶ÔÎÛÄàÁäÒªÇó²»Ò»Ñù£¬Õ⽫ÒýÆð2 ÖÖϸ¾ú¶ÔÎÛÄàÁäÒªÇóµÄì¶Ü[1-3]£®Õë¶ÔA2O ¹¤ÒÕ´æÔÚµÄȱÏÝ£¬Ìá³öÁËA2OBAFÁªºÏ¹¤ÒÕ£¬¸ÃÁªºÏ¹¤ÒÕÖÐA2O ϵͳÖ÷ÒªÍê³ÉµÄÊÇÓлúÎïµÄÈ¥³ý¡¢³ýÁס¢·´Ïõ»¯£¬¶ø½«ÆØÆøÉúÎïÂ˳Ø(biological aerobic filter£¬BAF) ÖÃÓÚ¶þ³Á³ØÖ®ºó£¬Ö÷ҪĿµÄÊÇÍê³ÉÏõ»¯£¬BAF µÄ²¿·Ö³öË®»ØÁ÷µ½A2OϵͳµÄȱÑõ¶ÎΪ·´Ïõ»¯×÷ÓúÍȱÑõÎüÁ××÷ÓÃÌṩÏàÓ¦µÄµç×ÓÊÜÌ壮¸ÃË«ÎÛÄ๤ÒÕ½â¾öÁË´«Í³A2O ¹¤ÒÕÏõ»¯¾úÓë¾ÛÁ×¾úÄàÁäì¶Ü£¬ÇÒ×î´ó³Ì¶ÈµØ·¢»ÓÁË»îÐÔÎÛÄàÓëÉúÎïĤÕâ2 ÖÖ´¦Àí¼¼ÊõµÄÓÅÊÆ£®ÒòÏõ»¯×÷ÓÃÔÚBAF ÖнøÐУ¬Ê¹µÃ»ØÁ÷ÎÛÄàÖв»º¬»òº¬ÓÐÉÙÁ¿µÄÏõ̬µª£¬´Ó¶ø½øÒ»²½½â¾öÁËÔÚÑáÑõÇø·´Ïõ»¯¾úÓë¾ÛÁ×¾ú¶Ô̼ԴµÄÕù¶á[4-7]£®
·´Ïõ»¯³ýÁ×¾ú¿ÉÔÚȱÑõµÄ»·¾³Ï£¬ÀûÓÃÏõ̬µª»òÑÇÏõ̬µªÎªµç×ÓÊÜÌåÑõ»¯ÌåÄÚÖü´æµÄPHA£¬´Ó»·¾³ÖÐÉãÁ×´ïµ½ÍѵªºÍ³ýÁ×µÄË«ÖØÄ¿µÄ£®¸ÃA2O-BAF¹¤ÒÕÔÚ´¦ÀíµÍ̼µª±ÈÉú»îÎÛˮʱ´æÔÚ·´Ïõ»¯³ýÁ×ÏÖÏ󣬶ø·´Ïõ»¯³ýÁ׿ɽÚʡԼ50% »¯Ñ§ÐèÑõÁ¿(chemical oxygen demand£¬COD) ºÍ30% ÑõµÄÏûºÄÁ¿£¬ÏàÓ¦¼õÉÙÊ£ÓàÎÛÄàÁ¿50%[8-9]£¬»º½âÁË·´Ïõ»¯¾úÓë¾ÛÁ×¾ú¶Ô̼ԴµÄÕù¶á£¬ÃÖ²¹ÁË̼Դȱ·¦µÄ²»×㣮
±¾ÊÔÑéÔÚA2O ¹¤ÒÕºÍBAF ¹¤ÒÕ»ù´¡ÉÏ£¬ÖصãÑо¿ÁË2 ÖÖ¹¤ÒÕÁªºÏºóA2O ÖÐÑáÑõ¶Î¡¢È±Ñõ¶ÎºÍºÃÑõ¶ÎµÄ×î¼ÑÈÝ»ý±È£¬Í¬Ê±¿¼²ìÁË´¦ÀíµÍ̼µª±ÈÉú»îÎÛˮʱÏõ»¯Òº»ØÁ÷±È¶Ô·´Ïõ»¯³ýÁ×ÌØÐÔµÄÓ°Ï죬´Ó¶øÎªÊµÏÖÒѽ¨ÎÛË®´¦Àí³§µÄ¸ÄÔì¡¢ÓÅ»¯ÓëÉý¼¶£¬ÒÔ¼°ÎÛË®µÄÉî¶ÈÍѵª³ýÁ×ÌṩÁËÓÐЧµÄÀíÂÛÒÀ¾Ý£®
1 ²ÄÁÏÓë·½·¨
1. 1 ÊÔÑé×°ÖúÍÔËÐвÎÊý
A2O-BAF ÁªºÏ¹¤ÒÕϵͳ°üÀ¨6 ¸ö²¿·Ö£¬·Ö±ðΪ½øË®Ë®Ïä¡¢A2O ·´Ó¦³Ø¡¢¶þ³Á³Ø¡¢ÖмäË®Ïä¡¢BAF ·´Ó¦³ØºÍ³öˮˮÏ䣬Èçͼ1 Ëùʾ£®ÆäÖУ¬A2O ϵͳÓÉ9¸ö¸ñÊÒ¹¹³É£¬×ÜÓÐЧÈÝ»ýÊÇ30 L£®A2O µÄ½øË®Á¿Îª129. 6 L /d£¬ÏàÓ¦µÄHRT Ϊ5. 6 h£¬»ìºÏÒºÎÛÄà(mixedliquid suspended£¬MLSS) ÖÊÁ¿Å¨¶ÈΪ2 500mg/L ×óÓÒ£¬ÎÛÄàÁä(sludge retention time£¬SRT) Ϊ9 d£¬Ïõ»¯Òº»ØÁ÷200%£¬ÎÛÄà»ØÁ÷100%£¬ÆäÖУ¬ÎÛÄàÈ¡×Ô±±¾©ÊÐijÎÛË®´¦Àí³§µÄA2O ÖÐÊÔϵͳ£¬¶þ³Á³ØÓÐЧÈÝ»ý21 L£®BAF ¿ÕËþÈÝ»ý15 L£¬Êµ¼ÊHRT Ϊ30 min£®ÏõËáÑλØÁ÷Á¿¡¢ÎÛÄà»ØÁ÷Á¿¡¢½øË®Á¿ºÍÅÔÁ÷Á÷Á¿¾ùÓÉÈ䶯±Ã¿ØÖÆ£¬BAF ÌîÁÏΪÌÕÁ££®
ͼ1 A2O-BAF ÁªºÏ¹¤ÒÕϵͳÁ÷³Ì
Fig£®1 Schematic diagram of the A2O-BAF system
1. 2 ÊÔÑéÓÃË®ºÍ²âÊÔ·½·¨
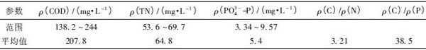
ÊÔÑéÓÃˮȡ×ÔijѧУÉú»îÇøËùÅŷŵÄÉú»îÎÛË®£¬Ë®ÖÊÇé¿öÈç±í1 Ëùʾ£®½øË®µÄ¦Ñ(C) /¦Ñ(N) ½öΪ3. 21£¬ÊôÓÚµäÐ͵ĵÍ̼µª±ÈÉú»îÎÛË®£®
COD ²ÉÓÃCOD ¿ìËٲⶨÒDzⶨ; NH4+-N ²ÉÓÃÄÉÊÏÊÔ¼Á¹â¶È·¨²â¶¨; NO2--N ²ÉÓÃN-(1-ÝÁ»ù) -ÒÒ¶þ°·¹â¶È·¨²â¶¨; NO 3--N²ÉÓÃ÷êÏã²Ý·Ó·Ö¹â¹â¶È·¨²â¶¨; ¦Ñ(MLSS) ²ÉÓÃÂËÖ½³ÆÖØ·¨²âÁ¿; T¡¢pH ºÍÈܽâÑõ(dissolved oxygen£¬DO) ²ÉÓÃWTW inolab level 2 ÔÚÏß¼à²âÒDzâÁ¿£®
±í1 ÊÔÑéÓÃˮˮÖÊ
Table 1 Characteristics of influent wastewater
A2O-BAF ÁªºÏ¹¤ÒÕÎȶ¨ÔËÐк󣬶ÔA2O ϵͳÖеķ´Ïõ»¯³ýÁ×¾ú(DPAOs) Õ¼×ܾÛÁ×¾ú(PAOs) µÄ±ÈÀý½øÐÐʵÑé¹À¼Æ£®ÔÚA2O ϵͳµÄºÃÑõÇøÄ©¶ËÈ¡2 L»ìºÏÒº£¬ÓÃÕôÁóË®ÇåÏ´2 ±é£¬¼ÓÈëµ½ÈÝ»ýΪ2 LµÄSBR Ä£Äâ·´Ó¦Æ÷ÖУ¬Ì¼Ô´ÎªÒÒËáÄÆ£¬ÆäŨ¶ÈԼΪ200mg /L£®ÑáÑõ2 h£¬·´Ó¦½áÊøºó£¬ÎÛÄàÔÙ´ÎÓÃÕôÁóË®ÇåÏ´2 ±é²¢Æ½¾ù·Ö³É2·Ý£¬1·ÝÔÚ¦Ñ(DO) = 2mg/L µÄÇé¿öϺÃÑõÔËÐÐ2 h£¬Áí1·Ý¼ÓÈë50mg/L µÄÏõ̬µªÈ±ÑõÌõ¼þÏ·´Ó¦2 h£¬È±Ñõ×î´óÎüÁ×ËÙÂʺͺÃÑõ×î´óÎüÁ×ËÙÂʵıÈÖµ¿É¼ä½ÓµØÈ·¶¨ÏµÍ³ÖÐDPAOs Õ¼PAOs µÄ±ÈÀý[10-11]£®
1. 3 ÊÔÑé·½°¸
½×¶Î1: A2O ÖÐÑáÑõ¡¢È±ÑõºÍºÃÑõÇøÈÝ»ý±ÈµÄÈ·¶¨£®
¹¤¿ö¢ñ: VÑáÑõ¡ÃVȱÑõ¡ÃVºÃÑõ= 1¡Ã2¡Ã6
¹¤¿ö¢ò: VÑáÑõ¡ÃVȱÑõ¡ÃVºÃÑõ= 2¡Ã3¡Ã4
¹¤¿ö¢ó: VÑáÑõ¡ÃVȱÑõ¡ÃVºÃÑõ= 3¡Ã4¡Ã2
½×¶Î2: ÔÚ×îÊÊÒËÈÝ»ý±ÈÌõ¼þÏ£¬È·¶¨×î¼ÑÏõ»¯Òº»ØÁ÷±È·Ö±ðΪ100%¡¢200%¡¢250%¡¢300%£®
2 ÊÔÑé½á¹û·ÖÎö
2. 1 A2O ÑáÑõ¡¢È±Ñõ¡¢ºÃÑõÈÝ»ý±ÈµÄÈ·¶¨
ͼ2 ¡« 4 ·´Ó³ÁËA2O ϵͳ·Ö±ðΪ¹¤¿ö¢ñ¡¢¢ò¡¢¢óʱµÄ1 ¸öÖÜÆÚ¸÷ÇøCOD¡¢NH4+-N¡¢NO 3--N¡¢NO2--N ºÍTP ÖÊÁ¿Å¨¶ÈµÄ±ä»¯Çé¿ö£®
COD: A2O ÑáÑõÇø¡¢È±ÑõÇø¡¢ºÃÑõÇøÈÝ»ý±ÈµÄ±ä»¯¶ÔCOD È¥³ýÂʵÄÓ°ÏìЧ¹û²»Ã÷ÏÔ; 3 ÖÖÈÝ»ý±ÈÌõ¼þÏÂ80%µÄÓлúÎï¶¼ÔÚÑáÑõ¶Î±»¾ÛÁ×¾úËùÏûºÄ£¬ºÏ³ÉÆäÌåÄÚµÄPHA£¬ÔÚȱÑõÇøºÍºÃÑõÇøCOD ֻȥ³ýÁË10%×óÓÒ; 3 ÖÖ¹¤¿öCOD µÄÈ¥³ýÂʶ¼¸ß´ï80%ÒÔÉÏ£®
NH4+-N: ΪÁË´ïµ½ÒÖÖÆÏµÍ³ÖÐÏõ»¯Ï¸¾ú·±Ö³µÄÄ¿µÄ£¬Ò»·½Ãæ¼õÉÙA2O ϵͳÖкÃÑõÇøµÄÈÝ»ý£¬ÁíÒ»·½Ãæ¼õÉÙA2O ϵͳÏàÓ¦µÄÎÛÄàÁ䣮ÓÉÓÚÎÛÄà´Ó¶þ³Á³Ø»ØÁ÷µ½ÑáÑõ¶Î¼°BAF ϵͳµÄ´ó²¿·ÖÏõ»¯Òº»ØÁ÷µ½È±Ñõ¶Î£¬ÕâÑùʹµÃ½øË®µÄ¦Ñ(NH4+-N) ½µµÍ£¬Òò´ËÔÚÑáÑõÇøºÍȱÑõÇø¦Ñ(NH4+-N) µÄ¼õÉÙÖ÷ÒªÒÀ¿¿µÄÊÇÏ¡ÊÍ×÷Óã¬Ëæ×ÅA2O ϵͳºÃÑõÇøÈÝ»ýµÄËõ¶Ì£¬A2O ϵͳÏõ»¯Ï¸¾úµÄ±ÈÀýÖð½¥½µµÍÖ±ÖÁÌÔÏ´¸É¾»£®Í¼2 ¡« 4Ëùʾ3 ÖÖÈÝ»ý±ÈÌõ¼þÏÂNH4+-NµÄת»¯Ö÷ÒªÔÚBAFÖнøÐУ®NH4+-NµÄÈ¥³ýÂʼ¸ºõ´ïµ½100%£¬¿É±£Ö¤³öË®¦Ñ(NH4+-N) ΪÁ㣮
ͼ2 µäÐÍÖÜÆÚ¸÷ÏîÖ¸±êµÄ±ä»¯Çé¿ö
(ÈÝ»ý±ÈΪ1¡Ã2¡Ã6)
Fig£®2 Change ratio of each index during a cycle with a volume ratio of 1¡Ã2¡Ã6
ͼ3 µäÐÍÖÜÆÚ¸÷ÏîÖ¸±êµÄ±ä»¯Çé¿ö
(ÈÝ»ý±ÈΪ2¡Ã3¡Ã4)
Fig£®3 Change ratio of each index during a cycle with a volume ratio of 2¡Ã3¡Ã4
TP: 3 ÖÖÈÝ»ý±ÈÌõ¼þϦÑ(TP) ÔÚȱÑõÇø¾ùÓв»Í¬³Ì¶ÈµÄ½µµÍ£¬Õâ±íÃ÷ÔÚ¦Ñ(C) /¦Ñ(N) = 3. 21 µÄµÍ̼µª±ÈÉú»îÎÛË®µÄ³¤ÆÚѱ»¯Ï£¬Ìṩ¸ø·´Ïõ»¯³ýÁ×¾úÁ¼ºÃµÄ»·¾³£¬Ê¹µÃÆäÊýÁ¿²»¶ÏÔö¼Ó£®ÆäÖУ¬¹¤¿ö¢óÑáÑõÇø¾ÛÁ×¾úÊÍÁ×Á¿´ïµ½ÁË51. 3mg/L£¬Í¬Ê±È±ÑõÇø·´Ïõ»¯¾ÛÁ×¾úµÄÎüÁ×Á¿Ò²´ïµ½ÁË45. 9mg/L£¬ºÃÑõÇø¾ÛÁ×¾úÎüÁ×Á¿½öΪ4. 45mg/L£¬Óɴ˿ɼûTPµÄÎüÊÕ/TP µÄÊÍ·Å´ïµ½1. 204£®´Ó¶ø¿ÉµÃ³ö£¬ÑáÑõÇøË®Á¦Í£Áôʱ¼äÔ½´óPAOsÊÍÁ×Á¿Ô½³ä·Ö; ÏàӦȱÑõÇøÈÝ»ýÔ½´ó£¬DPAOs ·±Ö³Ô½¿ì£®
ͼ4 µäÐÍÖÜÆÚ¸÷ÏîÖ¸±êµÄ±ä»¯Çé¿ö
(ÈÝ»ý±ÈΪ3¡Ã4¡Ã2)
Fig£®4 Change ratio of each index during a cycle with a volume ratio of 3¡Ã4¡Ã2
NO3--N: ÓÉÓÚ¸ÃÁªºÏ¹¤ÒÕµÄÒ»´óÌØµãÊÇÏõ»¯×÷Ó÷¢ÉúÔÚBAF Öжø²»ÊÇA2O·´Ó¦Æ÷ÖУ¬Òò´Ë¹¤ÒÕ³öË®NO3--NÖ÷ÒªÓÉ2 ²¿·Ö×é³É£¬¼´A2O ·´Ó¦Æ÷ȱÑõÇø³öË®NO3--NºÍBAFÖÐÓÉNH4+-Nת»¯µÄNO3--N£¬Òò´ËÏëÒª¼õÉÙ³öË®¦Ñ(NO3--N) ¾Í¿É´ÓÕâ2 ·½ÃæÈëÊÖ£®ÈôA2O ·´Ó¦Æ÷Öи÷²ÎÊýÒѾȷ¶¨£¬½øÈëBAF ÖЦÑ(NH4+-N) ¾ÍÈ·¶¨ÁË£¬Òò´ËÓ¦¼õÉÙA2O ·´Ó¦Æ÷³öË®¦Ñ(NO3--N) £®ÔÚ·´Ïõ»¯³ýÁ×ϵͳÖУ¬µ±È±ÑõÇø¦Ñ(NO3--N) = 0 ʱ£¬½«»áÒýÆðȱÑõÇøµÄÑáÑõ״̬£¬´Ó¶øµ¼ÖÂÁ׵Ķþ´ÎÊÍ·Å£¬µ«Èç¹ûϵͳÖдæÔÚCOD£¬·´Ïõ»¯¾ú¾Í»áÓÅÓÚ¾ÛÁ×¾úÀûÓÃCOD ½øÐз´Ïõ»¯×÷Óã¬ÕâÑùDPAOs ¾ÍÎÞ·¨³ÉΪÓÅÊÆÏ¸¾ú[12]£¬ËùÒÔÒªÏëÌá¸ßDPAOs ËùÕ¼µÄ±ÈÀý¾ÍÒªµ÷ÕûȱÑõÇø½øË®¦Ñ(NO3--N)ºÍ¦Ñ(COD) £®
ÔÚ¹¤¿ö¢ñÌõ¼þÏÂÓÉÓÚȱÑõÇøµÄÈÝ»ý½Ï¶Ì£¬·´Ïõ»¯³ýÁ×ÏÖÏó²»Ã÷ÏÔ£¬NO3--NÔÚȱÑõÇø¼õÉÙµÄÁ¿½ÏС; ÔÚ¹¤¿ö¢òÌõ¼þÏÂËæ×ÅȱÑõÇøÈÝ»ýµÄÔö¼Ó£¬Ç¿»¯Á˾ÛÁ×¾ú·´Ïõ»¯³ýÁ××÷Ó㬵«È±ÑõÇø³öË®ÈÔº¬Óн϶àµÄNO3--N; ÔÚ¹¤¿ö¢óÌõ¼þÏÂÓÉÓÚ½øÈëȱÑõÇø¿É½µ½âµÄCOD ½ÏÉÙ£¬´ËÌõ¼þÏ·´Ïõ»¯³ýÁ×Ч¹û×îºÃ£¬È±Ñõ³öË®¦Ñ(NO3--N) ºÍ¦Ñ(TP) ¼¸ºõΪÁ㣮
NO2--N: NO2--N±ä»¯²»Ã÷ÏÔ£®Óɴ˿ɼû£¬¹¤¿ö¢óµÄÈÝ»ý±ÈÊÇ×î¼ÑA2O-BAF ÁªºÏ¹¤ÒÕÖÐA2O µÄÈÝ»ý±È£®
ͼ5 ¸ø³öÁËA2OÖи÷ÇøÈÝ»ý±È·Ö±ðÊǹ¤¿ö¢ñ¡«¢óʱȱÑõÇø³öË®ºÍ×îÖÕ³öË®¦Ñ(NO3--N) ÒÔ¼°TN È¥³ýÂʵı仯£®´ÓͼÖпɿ´³ö¹¤¿ö¢ñʱ£¬È±ÑõÇø³öË®ºÍ×îÖÕ³öË®µÄ¦Ñ(NO3--N) ¶¼ÊÇ×î¸ßµÄ£®3 ÖÖ¹¤¿öÏÂÆ½¾ù×îÖÕ³öË®¦Ñ(NO3--N)·Ö±ðΪ19. 05¡¢16. 15 ºÍ11. 94mg/L£¬ËµÃ÷A2O ϵͳ¸÷ÇøµÄ±ÈÀýÔ½´ó£¬³öË®¦Ñ(NO3--N) Ô½µÍ£¬Ö÷ÒªÊÇÓÉÓÚÑáÑõÇøÈÝ»ýÔ½´ó£¬¾ÛÁ×¾úµÄÊÍÁ××÷ÓÃÔ½³ä·Ö£¬È±ÑõÇøÈÝ»ýÔ½´ó£¬·´Ïõ»¯³ýÁ××÷ÓÃÔ½Ã÷ÏÔ£¬¹¤¿ö¢óÌõ¼þÏÂȱÑõÇø³öË®¦Ñ(NO3--N)¼¸ºõΪ0£¬¶Ô±ÈÉÏͼTP µÄÈ¥³ýÖ÷Òª·¢ÉúÔÚȱÑõÇø£®3ÖÖ¹¤¿öÏ£¬³öË®¦Ñ(TN) µÄ±ä»¯Á¿¼¸ºõÓëȱÑõÇø³öË®¦Ñ(NO3--N) µÄ±ä»¯Á¿Ïàͬ£®Ëæ×źÃÑõÇøÈÝ»ýµÄ¼õÉÙ¡¢ÑáÑõÇøÓëȱÑõÇøµÄÔö¼Ó£¬TN µÄÈ¥³ýÂÊÒ²ÏàÓ¦Ôö¼Ó£®
ͼ5 ²»Í¬µÄ¸÷ÇøÈÝ»ý±ÈÏÂÏõ̬µªµÄ±ä»¯Óë×ܵªµÄÈ¥³ýÂÊ
Fig£®5 Change of nitrate and the removal rate of total nitrogen under the condition of different volume ratio
2. 2 Ïõ»¯Òº»ØÁ÷±È¶ÔϵͳÍѵª³ýÁ×Ч¹ûµÄÓ°Ïì
Ïõ»¯Òº»ØÁ÷±ÈÔö´ó¶Ô·´Ïõ»¯³ýÁ×ÓÐÀû£¬ÒòΪÌá¸ß»ØÁ÷±ÈÄÜΪ·´Ïõ»¯³ýÁ×¾úÌṩ×ã¹»¶àµç×ÓÊÜÌ壬µ±ÆäÁ¿³¬¹ý·´Ïõ»¯¾úËùÄܳÐÊܵķ¶Î§Ê±£¬¾ÍÄܴ̼¤·´Ïõ»¯³ýÁ×¾úµÄ·±Ö³£®Í¼6 ÊÇά³ÖÑáÑõÇø¡¢È±ÑõÇøÓëºÃÑõÇøµÄÈÝ»ý±ÈΪ3¡Ã4¡Ã2£¬ÆäËûµÄÌõ¼þ²»±ä£¬¸Ä±äÏõ»¯Òº»ØÁ÷±ÈΪ100%¡¢200%¡¢250% ºÍ300% ʱ×ܵªÓë×ÜÁ×È¥³ýÂʱ仯Çé¿ö£®´ÓͼÖпɿ´³öËæ×ÅÏõ»¯Òº»ØÁ÷±ÈµÄÔö¼Ó£¬×ܵªºÍ×ÜÁ×µÄÈ¥³ýÂʱ仯Ç÷ÊÆ¶¼ÊÇÏÈÔö´óºó¼õС£¬ÒÔ250%ΪתÕ۵㣬Ïõ»¯Òº»ØÁ÷±ÈΪ250% ʱ£¬×ܵªºÍ×ÜÁ×µÄÈ¥³ýÂÊ×î¸ß£¬·Ö±ðΪ74. 4%ºÍ98. 2%£¬´ËʱȱÑõÎüÁ×ÂÊ×î¸ß£®µ±Ïõ»¯Òº»ØÁ÷±ÈСÓÚ250%ʱ£¬×ܵªºÍ×ÜÁ×µÄÈ¥³ýÂÊÉý¸ß£¬ÕâÊÇÓÉÓÚÌá¸ßÁËȱÑõÇøµÄ¦Ñ(NO 3--N) £¬·´Ïõ»¯³ýÁ×ЧÂÊÌá¸ß£¬´Ó¶øÍѵª³ýÁ×Ч¹ûÒ²Ìá¸ß£®µ«µ±Ïõ»¯Òº»ØÁ÷±ÈΪ300%ʱ£¬×ܵªºÍ×ÜÁ×µÄÈ¥³ýÂÊ·´¶øÏ½µ£¬Õâ¿ÉÄÜÊÇÓÉÓÚ»ØÁ÷±ÈµÄÔö´ó£¬È±ÑõÇøµÄË®Á¦Í£Áôʱ¼ä¼õÉÙ£¬·´Ïõ»¯³ýÁ×Ч¹û½µµÍ£®
ͼ6 ²»Í¬Ïõ»¯Òº»ØÁ÷±È×ܵªºÍ×ÜÁ×È¥³ýÂʵı仯
Fig£®6 Removal radio change of TN and TP at different nitrate recycle radios
²»Í¬Ïõ»¯Òº»ØÁ÷±ÈÌõ¼þÏÂȱÑõÇø³öË®¦Ñ(NO3--N)ÓëȱÑõÎüÁ×Âʵı仯Çé¿öÈçͼ7 Ëùʾ£¬¿ÉÒÔ¿´³ö£¬µ±Ïõ»¯Òº»ØÁ÷±ÈΪ250% ʱ£¬È±ÑõÎüÁ×ÂÊ×î´óΪ87. 3%£¬ÆäȱÑõ³öË®¦Ñ(NO3--N) ºÍ¦Ñ(TP) ·Ö±ðΪ0. 78 ºÍ0. 67mg/L£¬¼´È±Ñõ³öË®µÄ¦Ñ(NO3--N) ºÍ¦Ñ(TP) ¶¼Ð¡ÓÚ1mg/L£¬´ËÌõ¼þϼÈûÓÐÒòΪȱÑõ³öË®¦Ñ(NO3--N) = 0 ¶øÊ¹µÃȱÑõÇøµÄÑáÑõ״̬ÒýÆð¡°¶þ´ÎÊÍÁס±£¬Í¬Ê±»¹Äܱ£Ö¤×î¼ÑµÄÎüÁ×ÂÊ£®Óɴ˿ɱíÃ÷A2O-BAF ÁªºÏ¹¤ÒÕÔÚ´¦Àí¦Ñ(C) /¦Ñ(N) = 3. 21µÄÉú»îÎÛˮʱ£¬A2O Öи÷ÇøÈÝ»ý±ÈΪ3¡Ã4¡Ã2£¬Ïõ»¯Òº»ØÁ÷±ÈΪ250%µÄÌõ¼þÏÂʱ£¬³öˮЧ¹û×îºÃ£®
2. 3 A2O ÎÛÄàÌØÐÔÊÔÑé
¾ÛÁ×¾ú·ÖΪ2 À࣬ºÃÑõ¾ÛÁ×¾úºÍ·´Ïõ»¯¾ÛÁ×¾ú£¬ºÃÑõ¾ÛÁ×¾úÀûÓÃÑõ»òÕßÏõ̬µªÎªµç×ÓÊÜÌ壬·´Ïõ»¯¾ÛÁ×¾úÒÔÏõ̬µª»òÑÇÏõ̬µªÎªµç×ÓÊÜÌå[13-14]£®´Óͼ8 ¿É¿´³ö£¬¾¹ýµÍ¦Ñ(C)/¦Ñ(N) ±ÈÉú»îÎÛË®¼¸¸öÎÛÄàÁäµÄѱ»¯£¬·´Ïõ»¯³ýÁ×¾úÕ¼¾ÛÁ×¾úµÄ±ÈÀý¼Ó´ó£¬ºÃÑõÌõ¼þÏÂÿg »Ó·¢ÐÔÐü¸¡¹ÌÌå΢ÉúÎï1 h ÎüÁ×19. 78 mg£¬È±ÑõÌõ¼þÏÂÿg »Ó·¢ÐÔÐü¸¡¹ÌÌå΢ÉúÎï1h ÊÍÁ×15. 24 mg£¬¼´È±ÑõºÍºÃÑõ×î´óÎüÁ×ÂʱÈΪ0. 771£¬¸Ã¹¤ÒÕΪ·´Ïõ»¯³ýÁ×¾úÌṩÁ¼ºÃµÄ·±Ö³»·¾³£¬Ê¹µÃ¾ø´ó¶àÊýµÄ¾ÛÁ×¾ú¾ßÓз´Ïõ»¯³ýÁ×µÄÄÜÁ¦£®ÒÔÉϽá¹û˵Ã÷A2O-BAF ÁªºÏ¹¤ÒÕÔÚµÍ̼µª±ÈÆô¶¯µÄ¹ý³ÌÖÐÁ×Ö÷ÒªÊÇ¿¿·´Ïõ»¯³ýÁ×È¥³ý£¬Õâ¾Í½ÚÊ¡Á˺ÃÑõÇøÈÝ»ý£¬´Ó¶øÏ÷ÈõÁËA2O ·´Ó¦¶ÎµÄÏõ»¯×÷Óã®
ͼ7 ²»Í¬Ïõ»¯Òº»ØÁ÷±ÈȱÑõÇø³öË®Ïõ̬µªÓëȱÑõÎüÁ×Âʵı仯
Fig£® 7 Change of the anoxic nitrate effluent and anoxic uptake ratio at different nitrate recycle ratios
ͼ8 ÑáÑõÊÍÁ׺ͺÃÑõ¡¢È±ÑõÎüÁ×ÊÔÑé
Fig£®8 Phosphorus release and uptake under anaerobicanoxic and anaerobic-aerobic conditions
3 ½áÂÛ
1) A2O-BAF ÁªºÏ¹¤ÒÕ´¦Àí¦Ñ(C)/¦Ñ(N) Ϊ3. 21µÄÉú»îÎÛË®£¬A2O ¹¤Òնθ÷ÇøÈÝ»ý±ÈΪ3¡Ã4¡Ã2ʱ£¬ÏµÍ³µÄÍѵª³ýÁ×ЧÂÊ×î¼Ñ£¬×ܵªºÍ×ÜÁ×µÄÈ¥³ýÂÊ·Ö±ðÊÇ67. 4%ºÍ98. 6%£®
2) ±£³ÖA2O ¹¤ÒÕ¶ÎÖи÷ÇøÈÝ»ý±ÈΪ3¡Ã4¡Ã2²»±ä£¬µ÷½ÚÏõ»¯Òº»ØÁ÷±ÈÆäֵΪ250% ʱϵͳµÄÍѵª³ýÁ××î¼Ñ£¬¾ø´ó¶àÊýµÄ¾ÛÁ×¾ú¾ßÓз´Ïõ»¯³ýÁ×µÄÄÜÁ¦£¬²¢±£Ö¤È±ÑõÇø³öË®¦Ñ(NO3--N)ºÍ¦Ñ(TP) ¼¸ºõΪ0£¬ÊµÏÖÁË̼ԴµÄ×î¼Ñ·ÖÅäºÍÀûÓ㮡£
3) Ìá¸ßÑáÑõÇøµÄÈÝ»ý£¬¾ÛÁ×¾úµÄÊÍÁ×Á¿Ôö¼Ó;Ìá¸ßȱÑõÇøµÄÈÝ»ý£¬·´Ïõ»¯³ýÁ×±ÈÀýÔö´ó£®Í¨¹ý¼õÉÙºÃÑõ¶ÎµÄÈÝ»ý¿ÉʵÏÖÒÔÉÏ2·½Ã棬¸Ã¹¤ÒÕÓÃÓÚ´¦Àí̼µª±ÈµÍµÄÉú»îÎÛË®£¬¿É×î´óЧÂʵط¢»ÓϵͳµÄ·´Ïõ»¯³ýÁ××÷Óã®














