¡¡¡¡1 ÒýÑÔ
¡¡¡¡2004 ÄêNovoselovºÍGeimÖÆ±¸³öµ¥¸öÔ×Ó²ãºñ¶ÈµÄʯīϩ£¬ÒòÆä¾ßÓо޴ó±È±íÃæ»ý(2630 m2 ¡¤ g-1)¡¢¸ßµÄÔØÁ÷×ÓÇ¨ÒÆÂÊ(10000 cm2 ¡¤ V-1 ¡¤ s-1)µÈ¶ÀÌØ½á¹¹ºÍÐÔÄÜ£¬ÒýÆðÈËÃǶԶþά̼²ÄÁϵļ«´ó¹Ø×¢.ĿǰʯīϩµÄÖÆ±¸·½·¨Ö÷ÒªÓУºÎ¢»úе°þÀë¡¢ÍâÑÓÉú³¤·¨¡¢»¯Ñ§ÆøÏó³Á»ý¡¢Ñõ»¯»¹Ô·¨µÈ.ÒÔHummers·¨ÖƱ¸GO£¬ÔÙͨ¹ý»¹Ô´¦Àí(ÈÈ»¹Ô¡¢»¯Ñ§ÊÔ¼Á¡¢¹â¼¤·¢¡¢Ë®ÈÈ·¨µÈ)È¥³ýº¬Ñõ»ùÍÅÊdz£ÓÃÖÆ±¸»¹ÔÑõ»¯Ê¯Ä«Ï©(RGO)¼¼ÊõÖ®Ò».×Ô1972ÄêFujishimaºÍHondaÑо¿TiO2·Ö½âË®ÖÆÑõÆøºÍÇâÆøÒÔÀ´£¬TiO2ÓÉÓÚ»·±£¡¢ÎÞ¶¾ºÍÎȶ¨Ð͹â´ß»¯²ÄÁϵõ½¹ã·ºÑо¿.ÓÉÓÚTiO2ÊÇ¿í´øÏ¶°ëµ¼Ì壬ÏÞÖÆÆä¶Ô¿É¼û¹âÇøÏìÓ¦.ͨ¹ýÖÆ±¸TiO2ÓëÆäËû²ÄÁϵĸ´ºÏÎïÊÇÌá¸ßTiO2µÄ´ß»¯ÐÔÄܵÄÓÐЧ·½·¨.ÒÔGO/TiO2 µÄÄý½º£¬ÔÚNH3/Ar Æø·ÕÖУ¬ÓÚ500¡«800 ¡æìÑÉÕ£¬Éú³ÉµÄRGO/N-TiO2Ôڿɼû¹âÇø¾ßÓнϸߵĹâ´ß»¯»îÐÔ.
¡¡¡¡2£¬4-¶þÂȱ½ÑõÒÒËá(2£¬4-D)£¬×÷Ϊ³ý²Ý¼Á¡¢Ö²ÎïÉú³¤µ÷½Ú¼ÁºÍ±£ÏʼÁµÃµ½¹ã·ºÓ¦ÓÃ.ÓÉÓÚ2£¬4-DµÄ´óÁ¿Ê¹Óã¬ÉúÎï½µ½â»ºÂýºÍ¶þ´Î·Ö½âÎÛȾ²úÎ¶ÔÈËÀàºÍ»·¾³²úÉú¼«´óΣº¦.Õë¶Ô2£¬4-DµÄ¿ØÖÆ´¦ÀíÖ÷Òª°üÀ¨Îü¸½ÁÜÈÜ¡¢Î¢ÉúÎï¼°Ö²ÎïÐÞ¸´¡¢¹â½µ½â¡¢µç»¯Ñ§»¹ÔµÈ·½·¨.ÖÆ±¸µÄCa-Ce-W-TiO2¸´ºÏ´ß»¯¼Á¶Ô2£¬4-D¾ßÓиßЧµÄ¹â´ß»¯½µ½âЧ¹û.
¡¡¡¡Ä¿Ç°ÒÔ×ÏÍâ¹â»¹ÔÑõ»¯Ê¯Ä«Ï©µÄÑо¿ÖУ¬Ö÷ÒªÀûÓÃTiO2ÒÒ´¼ÈܽºÖмÓÈëGO£¬ÒÔ×ÏÍâ¹â¼¤·¢ÖƱ¸Á½Õߵĸ´ºÏÎ²ÉÓÃ×ÏÍâ¹â/ÈÈ»¹ÔÖÆ±¸»¹ÔÑõ»¯Ê¯Ä«Ï©Ñо¿²»¶à£¬ÏÊÉÙ±¨µÀÒÔRGO/TiO2Ϊ¸´ºÏ²ÄÁϹâ´ß»¯½µ½â2£¬4-D¼°Æä½µ½â»úÖÆ.±¾ÊµÑéͨ¹ýHummers·¨ÖƱ¸ÁËGO£¬N2Æø·ÕÏÂÀûÓÃ×ÏÍâ¹â/ÈÈ»¹Ô¼¼ÊõÖÆ±¸Áù̼»·½á¹¹ÐÞ¸´½ÏºÃµÄRGO£¬ÓÃÈܽº-Äý½º-ìÑÉÕ·¨ÒÔ450 ¡æ¸ßÎÂÏÂÖÆ±¸RGO/TiO2¸´ºÏ¹â´ß»¯¼Á;ÒÔ2£¬4-DΪģÄâÓлú·ÏË®£¬ÑéÖ¤RGO/TiO2¹â´ß»¯Ñõ»¯ÐÔÄÜ£¬¿¼²é´ß»¯¼ÁͶ¼ÓÁ¿¡¢RGO¸ºÔØÁ¿¡¢pHÖµ¡¢³õʼŨ¶ÈµÈÒòËØ¶Ô½µ½âЧ¹ûµÄÓ°Ï죬·ÖÎö2£¬4-D¿ÉÄܵĽµ½â»úÖÆ.
¡¡¡¡2 ²ÄÁÏÓë·½·¨
¡¡¡¡2.1 ʵÑéÒÇÆ÷
¡¡¡¡FT-IR(Nicolet 5700£¬ÃÀ¹ú)£¬XRD(Bede£¬Ó¢¹ú)¶ÔGO¡¢RGO¡¢RGO/TiO2¸´ºÏ²ÄÁϽṹ×é³É±íÕ÷£¬¸ßЧҺÏàÉ«Æ×ÒÇ(Agilent 1200 TU-1901)£¬UV-Vis(TU-1901)£¬Àë×ÓÉ«Æ×ÒÇ(IC-861£¬ÈðÊ¿)µÈ¶Ô2£¬4-D½µ½â·ÖÎö²â¶¨.
¡¡¡¡2.2 ´ß»¯¼ÁÖÆ±¸
¡¡¡¡2.2.1 »¹ÔÑõ»¯Ê¯Ä«Ï©(RGO)ÖÆ±¸
¡¡¡¡ÒÔÁÛÆ¬Ê¯Ä«ÎªÔÁÏ£¬²ÉÓÃHummers·¨ÖƱ¸Ñõ»¯Ê¯Ä«Ï©(GO).ÒÔGOΪǰÇýÌ壬×ÏÍâ¹âñîºÏÈÈ»¹Ô¹¤ÒÕÖÆ±¸RGO£º½«Ò»¶¨Á¿µÄGO³¬Éù·ÖÉ¢2 h£¬½«Æä¼ÓÈë×°ÓÐ95%ÒÒ´¼µÄÔ²Öù×´²£Á§·´Ó¦Æ÷ÖУ¬ÔÚ×ÏÍâµÆ¼¤·¢Ï»¹Ô12 h£¬³éÂ˲¢ÇåÏ´3´Î£¬½«ËùµÃÑùÆ·ÓÚ60 ¡æÕæ¿Õ¸ÉÔï48 h£¬ÓÚN2Æø·Õ±£»¤ÏÂÔÚ¹Üʽ¯ÖÐ300 ¡æ(ÉýÎÂËÙÂÊ0.5 ¡æ ¡¤ min-1)ÈÈ»¹Ô1 h£¬ÑÐÄ¥±¸Ó㬱ê¼ÇΪRGO.
¡¡¡¡2.2.2 ¸´ºÏ²ÄÁÏRGO/TiO2µÄÖÆ±¸
¡¡¡¡²ÉÓÃÄý½º-Èܽº-ìÑÉÕ·¨£¬AÒºÅäÖÆ£ºîÑËá¶¡õ¥ ¡Ã ÎÞË®ÒÒ´¼ ¡Ã ÒÒËá(Ìå»ý±È)Ϊ8 ¡Ã 15 ¡Ã 1;BÒºÅäÖÆÒÔË® ¡Ã ŨÏõËá ¡Ã ÎÞË®ÒÒ´¼(Ìå»ý±È)Ϊ3 ¡Ã 1 ¡Ã 30£¬È¡Ò»¶¨Á¿µÄRGO¼ÓÈëµ½BÒºÖУ¬È»ºóÔÙ½«BÒºÂýËÙ¼ÓÈëµ½AÒºÖÐ.³Â»¯48 h³ÉÄý¹Ì̬²¢70 ¡æ¸ÉÔï.N2Æø·Õ±£»¤ÏÂÔÚ¹Üʽ¯ÖÐ450 ¡æ(300 ¡æÇ°ÉýÎÂËÙÂÊ0.5 ¡æ ¡¤ min-1)ìÑÉÕ2 h£¬µÃµ½»ÒºÚÉ«ÑùÆ·£¬ÑÐÄ¥±¸ÓÃ.¸Ä±äRGOµÄÁ¿£¬µÃµ½²»Í¬Ê¯Ä«Ï©¸ºÔØÁ¿µÄRGO/TiO2¸´ºÏ²ÄÁÏ£¬¼ÇΪRGO/TiO2(ÖÊÁ¿·ÖÊý).±¾Ñо¿ÖƱ¸ÁË1%¡¢2%¡¢3%¡¢4%RGO¸ºÔصÄRGO/TiO2¸´ºÏ²ÄÁÏ.
¡¡¡¡2.3 ʵÑé·½·¨
¡¡¡¡¹â´ß»¯½µ½âʵÑéÔÚÔ²Öù×´²£Á§·´Ó¦ÈÝÆ÷ÖнøÐУ¬Ê¯Ó¢×ÏÍâµÆÎª¹âÔ´.³ÆÈ¡2£¬4-DÑùÆ·ÈܽâÅä³ÉÄ£Äâ·ÏË®£¬½«Æäµ¹Èë·´Ó¦Æ÷ÖУ¬¼ÓÈë¹â´ß»¯¼Á£¬ÏÈÔÚºÚ°µÖдÅÁ¦½Á°è30 minºóʹ֮´ïµ½Îü¸½-½âÎüƽºâºó²»Í¬Ê±¼äµãÈ¡Ñù;·Ö±ð̽ÌÖ´ß»¯¼ÁͶ¼ÓÁ¿¡¢Ê¯Ä«Ï©¸ºÔØÁ¿¡¢pHÖµ¡¢³õʼŨ¶ÈµÈÒòËØ¶Ô½µ½âЧ¹ûµÄÓ°Ïì.È¡Ñù¾0.22 ¦ÌmÂËĤ¹ýÂË·ÖÎö.ʵÑé»ù×¼Ìõ¼þΪRGO/TiO2(2%)1.2 g ¡¤ L-1£¬pHΪ3£¬³õʼŨ¶ÈΪ50 mg ¡¤ L-1.
¡¡¡¡3 ½á¹ûÓëÌÖÂÛ
¡¡¡¡3.1 ¾§Ïà½á¹¹·ÖÎö(XRD)
¡¡¡¡´Óͼ 1(B)µÄGOͼÆ×¿ÉÒÔ¿´³ö£¬¾¹ýÑõ»¯ºó£¬Ö»ÔÚ2¦È=10.2¡ã×óÓÒ³öÏÖ(001)Ç¿ÑÜÉä·å£¬ÓÉBragg ·½³Ì¼ÆËã²ã¼ä¾àΪ8.6642 nm£¬Ê¯Ä«(2¦È=26.5¡ã)¾¹ý»¯Ñ§Ñõ»¯£¬Ôö¼ÓµÄº¬Ñõ»ùÍżõÈõÁË̼²ã¼äµÄÏ໥×÷Ó㬵õ½¾ßÓÐÁ¼ºÃ²ã×´½á¹¹µÄGO;ͼ 1(C)ÊǾ¹ý×ÏÍâ¹â/ÈÈ»¹ÔºóµÄRGOͼÆ×£¬´ÓͼÖпÉÒÔ¿´³ö£¬GOµÄ(001)ÌØÕ÷·åÏûʧ£¬ÔÚ 2¦È=24.5¡ã¸½½ü³öÏÖÁËRGOÌØÕ÷ÑÜÉä·å.´Óͼ 1(E)RGO/TiO2µÄͼÆ×¿ÉÒÔ¿´³ö£¬¾¹ý450 ¡æ ¸ßÎÂìÑÉÕºó£¬ÔÚ2¦È= 25.1¡ã(101)¡¢37.6¡ã(004)¡¢47.7¡ã(200)¡¢53.8¡ã(105)¡¢54.6¡ã(211)¡¢62.5¡ã(204)¡¢68.6¡ã(116)µÈ´¦ÓëÈñîÑÐͶþÑõ»¯îѳö·åÒ»Ö£¬¸´ºÏ²ÄÁϾ§»¯£¬ÓÉScherrer·½³Ì¼ÆËãÆäÁ£¾¶Ô¼Îª18¡«42 nm£¬µ«ÔÚ2¦È= 24.5¡ã¸½½üµÄÑÜÉä·å²»Ã÷ÏÔ£¬Õâ¿ÉÄÜÊÇÓÉÓÚʯīϩµÄº¬Á¿µÍ£¬ÑÜÉä·å²»Ã÷ÏÔ£¬±»2¦È=25.1¡ã´¦µÄTiO2ÌØÕ÷·åËùÑÚ¸Ç.
ͼ1 ÑùÆ·GO¡¢RGO¡¢RGO/TiO2¡¢TiO2µÄXRDͼÆ×
¡¡¡¡3.2 ºìÍâ¹âÆ×·ÖÎö(FT-IR)
¡¡¡¡Í¼ 2ÊÇGO¡¢RGOºÍRGO/TiO2µÄºìÍâ¹âÆ×ͼ£¬´Óͼ 2(B)¿ÉÒÔ¿´³ö£¬GOµÄͼÆ×ÔÚ3408 cm-1¸½½ü¶ÔÓ¦ÓÚOHÎüÊշ壬1722 cm-1¸½½ü¹éÊôÓÚC OÉìËõÕñ¶¯·å£¬1614 cm-1¹éÊôC CÕñ¶¯£¬1246 cm-1¹éÊôC¡ªOHÎüÊշ壬1021 cm-1¹éÊôC¡ªOµÈÎüÊÕ·å.´Óͼ 2(C)ÖеÄRGOͼÆ×¿ÉÒÔ¿´³ö£¬ÔÚ×ÏÍâ¹â¼¤·¢Ï£¬ÔÚGOÖÐ3408 cm-1(OHÉìËõÕñ¶¯·å)¡¢1722 cm-1¡¢ 1246 cm-1¡¢1021 cm-1µÈ´¦¸½½üµÄÕñ¶¯ÎüÊÕ·åÖð½¥¼õÈõ£¬300 ¡æÈÈ»¹Ô½øÒ»²½½«GOδ³ýÈ¥µÄº¬Ñõ»ùÍÅÒÔCO2¡¢H2O¡¢COµÈÆøÌå´Ó²ã¼äÒݳö£¬1614 cm-1¸½½ü³öÏÖʯīϩ½á¹¹Õñ¶¯·å£¬²úÎïÖÐʯīϡ½á¹¹µÄ³öÏÖʹÆä»Ö¸´¹²éî¦Ð¼ü.´Óͼ 2(D)µÄRGO/TiO2µÄºìÍâ¹âÆ×ͼ¿ÉÒÔ¿´³ö£¬1614 cm-1¶ÔӦʯīϩµÄ¹Ç¼ÜÕ𶯷å.ÐγÉRGO/TiO2¸´ºÏ²ÄÁϺó£¬ÔÚ570 cm-1¸½½ü¹éÊôÓÚʯīϩÓëTiO2²úÉú»¯Ñ§½áºÏÐγÉÁËTi¡ªO¡ªC¼üÉìËõÕñ¶¯·å£¬ÇÒ´Ë·¶Î§ÄÚµÄÎüÊÕ·å¿í»¯£¬Á½Õß·¢ÉúÁËÎȶ¨½áºÏ.
ͼ2 ÑùÆ·GO¡¢RGO¡¢TiO2/RGOµÄºìÍâ¹âÆ×ͼ
¡¡¡¡3.3 Ë®ÌåÖÐ2£¬4-DµÄ¹â´ß»¯½µ½âʵÑé
¡¡¡¡3.3.1 ´ß»¯¼ÁͶ¼ÓÁ¿¶Ô¹â´ß»¯½µ½â2£¬4-DµÄÓ°Ïì
¡¡¡¡Í¼ 3Ϊ´ß»¯¼ÁͶ¼ÓÁ¿¶Ô2£¬4-D½µ½âµÄÓ°Ïì.ʵÑé»ù×¼Ìõ¼þÏ£¬ÉèÖÃRGO/TiO2Ͷ¼ÓÁ¿·Ö±ðΪ0.6¡¢0.8¡¢1.2¡¢1.8 g ¡¤ L-1£¬²¢Í¬Ê±ÉèÖò»Í¬µÄ¹âÔ´Ìõ¼þ×÷Ϊ¶ÔÕÕʵÑ飬·Ö±ðΪºÚ°µ±Ü¹â¡¢´¿ÊµÑéÊÒ×ÔÈ»¹âÔ´ºÍ´¿×ϹâÔ´.´ÓͼÖпÉÒÔ¿´³ö£¬¸´ºÏ´ß»¯¼ÁRGO/TiO2¶Ô2£¬4-D¾ßÓнϺõÄÎü¸½ÄÜÁ¦£¬ÔÚ30 minºó´ïµ½Îü¸½±¥ºÍ£¬Îü¸½ÂÊԼΪ26.8%;ʵÑé½á¹û±íÃ÷ÔÚ»ù×¼Ìõ¼þÏ£¬ÊµÑéÊÒ΢ÈõµÄ×ÔÈ»¹âÕÕ¶Ô2£¬4-DµÄ½µ½â¼¸ºõÎÞÓ°Ïì;ͬʱ£¬Ëæ×Ÿ´ºÏ´ß»¯¼ÁRGO/TiO2¼ÓÈëÁ¿Ôö¼Ó£¬2£¬4-D·ÏË®½µ½âÂÊÖð½¥Éý¸ß£¬Í¶¼ÓÁ¿Îª1.2 g ¡¤ L-1·´Ó¦12 hʱ2£¬4-DÈ¥³ýÂÊ´ïµ½×î¸ßµÄ98.75%£¬¶øRGO/TiO2¼ÓÈëÁ¿´ï1.8 g ¡¤ L-1ʱ£¬2£¬4-DµÄ½µ½âÂʲ»ÔÙÉý¸ß£¬·´¶øÓë1.2 g ¡¤ L-1ʱµÄ½µ½âÂÊÏ൱ÉõÖÁ¼õÉÙ£¬±íÃ÷µ±´ß»¯¼Á¹ý¸ß»òÊǹýµÍ¶¼¶Ô2£¬4-DµÄ½µ½âÓв»ÀûÓ°Ï죬ÕâÊÇÓÉÓÚ¹ýÁ¿µÄ´ß»¯¼ÁÔÚÈÜÒºÖлá·ÖÉ¢²»¾ùÔÈ£¬Ôì³É½á¿éÍžۣ¬½µµÍÁË»îÐÔ×é·ÖµÄÀûÓÃÂÊʹµÃ×ÔÓÉ»ùδÓëµ×Îï·´Ó¦¾Í·¢Éú·Ö½â¶øÒýÆð·´´ß»¯×÷ÓÃ.ͬʱ˵Ã÷¸´ºÏ¹â´ß»¯¼ÁRGO/TiO2½µ½â2£¬4-DÓÐ×î¼ÑͶ¼ÓÁ¿ÎÊÌ⣬µ±ÆäÓÃÁ¿³¬¹ýÒ»¶¨·¶Î§Ê±£¬2£¬4-DµÄ½µ½âËÙÂÊÓÉÆäËûÌõ¼þËù¿ØÖÆ.±¾ÊµÑé¹â´ß»¯¼ÁRGO/TiO2µÄ×î¼ÑÓÃÁ¿ÊÇ1.2 g ¡¤ L-1.
ͼ3 RGO/TiO2¼ÓÈëÁ¿¶Ô2£¬4-D½µ½âÂʵÄÓ°Ïì(ͼbΪ2£¬4-DŨ¶È·ÖÎö±ê×¼ÇúÏß)
¡¡¡¡3.3.2 ʯīϩ¸ºÔØÁ¿¶Ô¹â´ß»¯½µ½â2£¬4-DµÄÓ°Ïì
¡¡¡¡Í¼ 4ÊÇʵÑé»ù×¼Ìõ¼þÏ£¬TiO2¡¢P25¡¢RGO/TiO2½µ½â2£¬4-DͼºÍCODCrÈ¥³ýÂÊͼ.´Óͼ 4(a)ÖпÉÒÔ¿´³ö£¬¸´ºÏ¹â´ß»¯¼ÁRGO/TiO2¶Ô2£¬4-DµÄ¹â´ß»¯»îÐÔÏÔÖøÓÅÓÚ×ÔÖÆTiO2ºÍP25.RGOµÄ¸ºÔØÁ¿Îª2%ʱ½µ½âЧ¹û×îºÃ£¬Óëͼ 4(b)ÖÐCODCrÈ¥³ý½á¹ûÒ»Ö£¬½µ½â·´Ó¦4 hºó2£¬4-D½µ½âÂÊΪ75.65%£¬½µ½â12 hÒÑ»ù±¾Éϼì²â²»µ½2£¬4-D£¬CODCrÈ¥³ýÂÊ´ïµ½62.75%;¶øRGO¸ºÔØÁ¿Îª1%ʱ£¬½µ½â4 hµÄ½µ½âÂÊΪ68.82%£¬µÍÓÚRGO¸ºÔØÁ¿Îª2%ʱЧ¹û£¬½µ½â12 h CODCrÈ¥³ýÂÊΪ54.6%;µ±RGO¸ºÔØÁ¿3%ʱ£¬·´Ó¦4 h½µ½âÂÊΪ70.8%£¬Ïà±È1%ʱȥ³ýÂÊÓÐËùÌá¸ß£¬½µ½â12 h CODCrÈ¥³ýÂÊΪ55.76%;µ±RGO¸ºÔØÁ¿4%ʱ£¬·´Ó¦4 h½µ½âÂÊΪ65.8%£¬±È½Ï3%ʱ2£¬4-DÈ¥³ýÂÊÓÐËùϽµ£¬·´Ó¦12 hµÄ½µ½âÂÊΪ95.2%£¬CODCrÈ¥³ýÂÊΪ52.3%.ʵÑé˵Ã÷ÔÚÒ»¶¨·¶Î§ÄÚ£¬Ê¯Ä«Ï©¸ºÔØÁ¿Îª2%µÄ¸´ºÏ´ß»¯¼Á´ß»¯½µ½âЧ¹û×îºÃ.ÕâÊÇÒòΪRGOÌá¸ßµç×Ó×ªÒÆÐ§ÂÊ£¬×è°µç×Ó-¿ÕѨ¸´ºÏ£¬Ê¹RGO/TiO2¼ÓËÙ¶Ô2£¬4-D¼°ÆäÖмä²úÎïµÄ´ß»¯½µ½â£¬Í¬Ê±RGOÌ«¶à¿ÉÄÜ»áÓ°Ïì¹âµÄ·Ö²¼£¬µ¼Ö¹â´ß»¯ÐÔÄÜϽµ.
ͼ4 RGO¸ºÔØÁ¿¶Ô2£¬4-D½µ½âÂʵÄÓ°Ïì
¡¡¡¡3.3.3 ³õʼpH¶ÔÈ¥³ý2£¬4-DµÄÓ°Ïì
¡¡¡¡ÊµÑé»ù×¼Ìõ¼þÏ£¬ÉèÖ÷ÏË®pH·Ö±ðΪ3¡¢4¡¢5¡¢7¡¢9¡¢10£¬Ì½ÌÖ²»Í¬pH¶ÔÈ¥³ý2£¬4-DµÄÓ°Ï죬½á¹ûÈçͼ 5Ëùʾ.´Óͼ 5¿´³ö£¬pHµÄÉý¸ß²»ÀûÓÚ2£¬4-DµÄ½µ½â»¹Ô£¬µ±pHΪ10ʱ2£¬4-D½µ½âЧ¹ûºÜ²î£¬12 hºó2£¬4-D½µ½âÂʽöΪ69.4%£¬¶øÔÚpHÔÚ4ÒÔÏÂʱ£¬2£¬4-DÈ¥³ýЧ¹û¼«ºÃ£¬12 hºó»ù±¾¼ì²â²»µ½2£¬4-D.ÕâÊÇÓÉÓڵ͵ÄpHÓÐÀûÓÚʹÔÀ´¶Ñ»ýµÄTiO2·ÖÉ¢¿ª(ÖܺìÒյȣ¬2013)£¬TiO2±íÃæ»á²úÉúÖÊ×Ó»¯´Ó¶ø´øÕýµçºÉʹÆäÓëʯīϩ¸ü¶àµÄ½Ó´¥£¬ÓÐÀûÓÚ¹âÉúµç×Ó´«Ê䣬ͬʱÔÚpH½ÏµÍʱÓÐÀûÓÚ2£¬4-DµÄ¸ü¶àÎü¸½²¢Óë´ß»¯¼Á·´Ó¦½µ½â£¬Òò´ËËáÐÔÌõ¼þÏ´߻¯¼Á¶Ô2£¬4-DÓиüºÃµÄÈ¥³ýЧÂÊ.±¾ÊµÑéÓÐЧÀ©¿íÁËͬÀà¹â´ß»¯¼Á´¦Àí2£¬4-D·ÏË®pH·¶Î§.
ͼ5 ³õʼpH¶Ô2£¬4-D½µ½âÂʵÄÓ°Ïì
¡¡¡¡3.3.4 ³õʼŨ¶È¶Ô¹â´ß»¯½µ½â2£¬4-DµÄÓ°Ïì
¡¡¡¡ÊµÑé»ù×¼Ìõ¼þÏ£¬ÉèÖÃ2£¬4-D³õʼŨ¶È·Ö±ðΪ50¡¢70¡¢90¡¢110 mg ¡¤ L-1£¬¿¼²éRGO/TiO2¶Ô²»Í¬³õʼŨ¶È2£¬4-DµÄ½µ½âЧ¹û£¬½á¹ûÈçͼ 6Ëùʾ.´ÓͼÖпÉÒÔ¿´³ö£¬Ëæ×Å2£¬4-DµÄ³õʼŨ¶ÈÔö´ó£¬·ÏË®½µ½âÂÊÖð½¥½µµÍ£¬µ±2£¬4-DŨ¶ÈΪ110 mg ¡¤ L-1ʱ£¬·´Ó¦12 hÈ¥³ýÂʽöΪ84.3%£¬±íÃ÷ÔÚÒ»¶¨µÄ´ß»¯¼ÁŨ¶ÈÏ£¬·ÏË®µÄ½µ½âЧ¹ûËæµ×ÎïŨ¶ÈµÄÔö´ó¶ø½µµÍ.ÕâÊÇÒòΪ2£¬4-DŨ¶È½Ï¸ßʱ£¬±»ÄÉÃ×´ß»¯¼ÁÎü¸½µÄ2£¬4-D·Ö×Ó´óÁ¿Ôö¼Ó£¬´ß»¯¼Á±íÃæµÄ»îÐÔλµãÊýÊÇÒ»¶¨µÄ£¬ÓÉÓÚÖ»ÓÐÓë´ß»¯¼Á±íÃæ½Ó´¥µÄ·Ö×ӲŻᱻÎü¸½½µ½â£¬Òò´Ë2£¬4-DŨ¶ÈµÄÔö¼Ó·´¶øÒÖÖÆÁËÆä½µ½â.
ͼ6 2£¬4-D³õʼŨ¶È¶Ô½µ½âÂʵÄÓ°Ïì
¡¡¡¡3.3.5 ¹â´ß»¯½µ½â2£¬4-D²úÎïÓë;¾¶·ÖÎö
¡¡¡¡Í¼ 7bÊÇ»ù×¼Ìõ¼þϹ⽵½â2£¬4-DµÄÂÈÀë×ÓŨ¶È±ä»¯Í¼.´ÓͼÖпÉÒÔ¿´³ö£¬Ëæ×޵½â·´Ó¦µÄ½øÐУ¬2£¬4-DµÄŨ¶ÈÖð½¥½µµÍ£¬¶ø·´Ó¦ÌåϵÖÐCl-Ũ¶ÈÖð½¥Éý¸ß£¬½µ½â12 hʱµÄÂÈÀë×ÓŨ¶È´ïµ½8.57 mg ¡¤ L-1£¬ÂÈÀë×ÓÍѳýÂÊΪ52.96%.
ͼ7 2£¬4-D½µ½âÖмä²úÎï·ÖÎö(a. ¸ßЧҺÏàÉ«Æ×ͼ£»b. ½µ½âʱÂÈÀë×ÓŨ¶È±ä»¯Í¼)
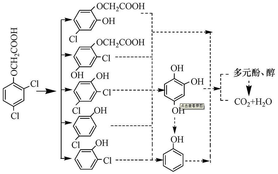
¡¡¡¡2£¬4-D½µ½âµÄÖмä²úÎïÓÃHPLCͨ¹ý·ÖÎöÿ¸ö·åËù¶ÔÓ¦µÄ±£Áôʱ¼äËùµÃµ½£¬Í¼ 7Ϊ»ù×¼Ìõ¼þÏ·´Ó¦4 hµÄͼÆ×.´ÓͼÖпÉÒÔ¿´³ö£¬2£¬4-DµÄ³ö·åʱ¼äÔÚ4.28 min.Ëæ×Źâ´ß»¯·´Ó¦µÄ½øÐУ¬Õâ¸ö·åÖð½¥¼õС£¬Í¬Ê±ÔÚ2.80£¬3.80ºÍ6.12 minµÄ±£Áôʱ¼äÃ÷ÏÔ³öÏÖеķ壬ͨ¹ýÓë±ê×¼ÎïÖʵÄHPLCÉ«Æ×ͼ¶Ô±È£¬¶ÔÓ¦µÄÎïÖÊ·Ö±ðÊDZ½·Ó¡¢4-ÂÈ·Ó¡¢2£¬4-¶þÂÈ·Ó.ÆäËü³ö·åÓÃHPLCÔÝʱÄÑÒÔ·ÖÎö.ÓÉ2£¬4-DµÄ²úÎïͼÆ×¼°ÂÈÀë×ÓŨ¶ÈµÄ±ä»¯Ç÷ÊÆ£¬¿ÉÒÔÍÆ¶Ï³ö2£¬4-D¿ÉÄܵĽµ½â;¾¶Èçͼ 8Ëùʾ.
ͼ8 2£¬4-D¿ÉÄܵĽµ½â;¾¶ºÍÖмä²úÎï·ÖÎö½á¹û
¡¡¡¡3.3.6 RGO/TiO2¹â´ß»¯½µ½â2£¬4-D·ÏË®»úÀíÌÖÂÛ
¡¡¡¡RGO/TiO2¸´ºÏ²ÄÁ϶Ô2£¬4-D·ÏË®½µ½â»úÖÆÈçͼ 9Ëùʾ.²Î¿¼ÒÑÓеÄÎÄÏ×±¨µÀ(Zhang et al., 2010; Lee et al., 2012)£¬RGO/TiO2¸´ºÏ¹â´ß»¯¼Á¾ßÓÐÓÅÁ¼´ß»¯»îÐÔ£¬Ò»ÊÇʯīϩ±íÃæÓдóÁ¿µÄ¦Ð-¦Ð¹²éîË«¼ü£¬2£¬4-D·Ö×ÓÓëÆäÏ໥×÷Óã¬Í¬Ê±¸´ºÏ´ß»¯¼ÁRGO/TiO2¸ßµÄ±È±íÃæ»ýµÈ(Íõ˼ÓêµÈ£¬2014; Wang et al., 2011)ʹÆä±È´¿TiO2¶Ô2£¬4-D¾ßÓиüºÃµÄÎü¸½;¶þÊÇÊÜ×ÏÍâ¹âÔ´¼¤·¢Ê±£¬TiO2²úÉúµç×Ó(e-)ºÍ¿ÕѨ¶Ô(h¦Í)£¬ÓÉÓÚʯīϩ¸ßµÄµ¼µçÐԺͶÀÌØµÄ¶þά¹²éî½á¹¹£¬³ÉΪ¹âÉúµç×Ó¸ßÁ÷ËÙͨµÀ½«TiO2¹âÉúÔØÁ÷×Ó¿ìËÙ×ªÒÆ£¬Ê¹TiO2»îÐÔµç×ÓÒ»²¿·ÖÔÚ±íÃæ¿Õ¼äµçºÉ²ãµç³¡µÄ×÷ÓÃÏ¿ìËÙÇ¨ÒÆµ½Á£×Ó±íÃæ±»Ë®·Ö×ÓÖÐÈܽâÑõ²¶»ñ£¬Éú³É HO2 ¡¤ µÈ×ÔÓÉ»ù£¬Í¬Ê±Îü¸½ÔÚ¿ÅÁ£±íÃæµÄË®»òÇâÑõ»ùÍÅÒ²Óë¿ÕѨ·¢Éú·´Ó¦£¬Éú³ÉH2O2¡¢HO ¡¤ µÈ×ÔÓÉ»ù(Hoffmann et al., 1995)£¬Óë±»Îü¸½µ½¸´ºÏ²ÄÁϱíÃæµÄ2£¬4-D·¢ÉúÑõ»¯½µ½â£¬»îÐÔ»ùÍŵÄÉú³ÉºÍ¿ÕѨÑõ»¯×÷Óôó´ó¼ÓËÙÁ˹â´ß»¯2£¬4-DµÄ·´Ó¦ËÙÂÊ.ÁíÒ»²¿·Öͨ¹ýÉøÁ÷»úÀí´Óµ¼´øÔ¾Ç¨µ½Ê¯Ä«Ï©ÉÏ£¬ÓÐЧÑÓ³¤¹âµç×ÓµÄÊÙÃü¼°ÒÖÖÆÁ˵ç×Ó-¿ÕѨ¸´ºÏ£¬Õⲿ·Öµç×Ó½«Ö±½Ó¹©¸ø2£¬4-D±½»·ÉϵÄÂÈ£¬Ê¹ÂÈ·¢Éú¹â»¹Ô·´Ó¦´Ó±½»·ÉÏÍѳý(Xu et al., 2013).Òò´ËRGO/TiO2¸´ºÏ²ÄÁÏÄÜÓÐЧÌá¸ßÁ¿×Ó»¯Ð§ÂÊ£¬ÑÓ³¤µç×ÓÊÙÃü£¬¶Ô2£¬4-D¾ßÓиßЧµÄ¹â½µ½âËÙÂʺÍÑõ»¯»¹ÔЧ¹û.
ͼ9 RGO/TiO2¹â´ß»¯½µ½â2£¬4-D»úÖÆ
¡¡¡¡4 ½áÂÛ
¡¡¡¡1)ÒÔHummers·¨ÖƱ¸GO£¬N2Æø·ÕÖвÉÓû·±£µÄ×ÏÍâ¹â/ÈÈ»¹Ô·¨ÄÜÓÐЧȥ³ýGOº¬Ñõ»ùÍÅ£¬Ê¹ÁùԪ̼»·µÃµ½Á¼ºÃÐÞ¸´£¬»Ö¸´¶þά¹²éî½á¹¹ÖƱ¸³öRGO£¬Í¨¹ýÈܽº-Äý½º-ìÑÉÕ·¨450 ¡æÖƱ¸µÃµ½RGO/TiO2¸´ºÏÄÉÃײÄÁÏ;¸ºÔØRGOÌṩµç×Ó×ªÒÆ¸ßËÙͨµÀ£¬ÒÖÖÆµç×Ó-¿ÕѨ¶Ô¸´ºÏ£¬Ê¹RGO/TiO2¶Ô2£¬4-DµÄ¹â´ß»¯»îÐÔÏÔÖøÓÅÓÚ´¿TiO2.
¡¡¡¡2)¶Ô±È²»Í¬ÒòËØÌåϵȥ³ý2£¬4-D·ÖÎö£¬½á¹û±íÃ÷£¬µ±RGO/TiO2Ͷ¼ÓÁ¿Îª1.2 g ¡¤ L-1¡¢RGO¸ºÔØÁ¿Îª2%¡¢pHΪ3¡¢³õʼŨ¶ÈΪ50 mg ¡¤ L-1Ìõ¼þÏ£¬¹â´ß»¯·´Ó¦12 h£¬2£¬4-DÈ¥³ýÂÊ´ïµ½98.75%.2£¬4-D½µ½âÂÊËæ×ÅRGO/TiO2Ͷ¼ÓÁ¿ÏÈÔö´óºó¼õС;µÍµÄpHÌõ¼þºÍRGO¸ºÔØÁ¿2%ʱ¸ü¼ÓÓÐÀûÓÚ2£¬4-DµÄ´ß»¯½µ½â.
¡¡¡¡3)×ÏÍâ¹â¼¤·¢Ï£¬RGO/TiO2Ò»²¿·Ö¹âÉúÔØÁ÷×Ó±»Ë®ÌåÖÐO2²¶»ñÉú³ÉH2O2¡¢HO ¡¤ µÈ×ÔÓÉ»ù£¬»îÐÔ»ùÍŵÄÉú³ÉºÍ¿ÕѨÑõ»¯×÷ÓüÓËÙÁËÑõ»¯½µ½â2£¬4-D£¬Ò»²¿·Öµç×ÓÖ±½Ó×÷ÓÃ2£¬4-D·Ö×ÓʹÆä·¢Éú»¹ÔÍÑÂȹý³Ì£¬Éú³É±½·Ó¡¢4-ÂÈ·Ó¡¢2£¬4-¶þÂÈ·ÓµÈÖмä²úÎ²¿·Ö½µ½âΪCO2ºÍH2O.±¾Ñо¿Îª2£¬4-D·ÏË®ÖÎÀíÌṩһÖÖÁ¼ºÃ¹â´ß»¯¼¼ÊõºÍ²ÄÁÏ.














