结构振动

以结构动力学的原理研究各种工程结构的振动问题。结构振动可以分为确定性和随机性两类。

确定性振动

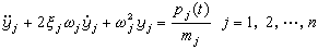
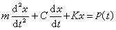
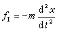
施加在结构上的荷载,随时间变化的规律是已知的,而且结构参数和初始条件也是确定的,则由该荷载所引起的振动称为确定性振动,简称结构振动。其基本特征是:外荷载随时间而变化,结构中各点的加速度不可忽略;因此在动力平衡方程中必须考虑惯性力。承受动力荷载的线弹性结构体系的主要物理特征是体系的质量、弹性特性(柔度或刚度)、能量耗散机理或阻尼以及外部扰力或荷载等。一个理想化的单自由度体系的力学模型(图1a),其质量块在某一瞬间的受力图,如图1b所示。其动力平衡方程为

公式 符号      (1)

上式可改写为

p(t)fIfDfS=0     (1′)

式中x 为质量块的位移坐标;p(t)为作用外荷载;fS=-Kx 称为弹性恢复力;公式 符号 称为惯性力;公式 符号公式 符号称为阻尼力。

图

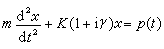
在线弹性体系中,恢复力fSx成正比,如果fS是与x2x3成正比,则fS便是非线性恢复力,体系的振动便是非线性振动。按粘性机理,阻尼力fD与速度成正比,C为阻尼常数。阻尼机理是一个复杂的问题,按复阻尼理论,式(1)应写成为如下的形式:

公式 符号      (2)

式中у为非弹性阻尼系数;公式 符号

若将(1)式中阻尼和外力忽略,就得到(1)式的特解,称自由振动的方程,其解为xAsin(ωt+嗚),式中A为振幅、ω为圆频率、嗚为相位角,是振动三要素。若不忽略阻尼和外力,便得到完全解,包括含有阻尼的自由振动及外力引起的强迫振动(又称响应)。由于阻尼的存在,自由振动将逐步消失。当外力为任意周期激励时,可将外力展开为傅里叶级数,而求得强迫振动。当外力为非周期性激振时,通常采用两种方法,一是傅里叶积分变换,另一是把非周期激振看作是一系列作用时间很短的脉冲,将其响应叠加后即得到非周期激振的响应。此法数学上称卷积。以上方法仅适用于线性系统。此外也可采用数值积分法求近似解,它对非线性系统也适用。

结构振动通常分为单自由度振动、有限自由度振动和无限自由度振动。自由度的数目就是整个体系所具有的独立广义坐标的数目。图2a表示单自由度体系。其自由振动方程为

-δ11m11y1        (3)

图2b表示两个自由度体系。y1y2表示两个广义坐标。它们是相互独立的。自由振动方程为

公式 符号      (4)

式中δ11、δ12……为柔度影响系数。公式 符号。求解两个自由度体系的固有频率可采用以下的方法。设IiAisin(ωt+嗘)(其中i=1,2),并代入式(4)可得

公式 符号      (5)

式中A1A1=0的解不适用于振动的情况。需要A1A1不同时为零的解,故令系数行列式等于零。即

公式 符号     (6)

式(6)称为频率方程。它的两个正实根ω1ω1称为主频率,ω值较小的ω1,即第一主频率;较大的ω1,即第二主频率。将这两个主频率回代到式(5),可得到对应ω1A1A1称为第一主振型。对应ω1的称为第二主振型。从式(5)只能求得振型的相对比值而不能求出其大小。上述概念可以推广到n个自由度体系的自由振动。 这时频率方程的行列式为n×n阶,有nω的正实根。可用幂法、雅可比法、QR法及其他许多方法求解频率方程。主振型具有正交的性质。利用主振型的正交性,可以方便地解决有限自由度体系的强迫振动问题。 n个自由度体系振动问题常用矩阵表达法表示:

公式 符号      (7)

式中的等线体字母代表矩阵或列阵,意义均与(1)式中对应的符号相同。其中质量矩阵m可以是堆聚质量矩阵,也可以是一致质量矩阵。

图

式(7)为n个联立的常微分方程,当一个方程中的未知位移函数vi(t)(i=1,2,…)个数大于1时,则称该方程中具有耦合项。利用主振型的正交性,可以将式(7)变换为每一个方程中只含有一个未知函数的常微分方程组,这个方法称为解耦:

公式 符号         (8)

式中Φ为振型矩阵,y为正则坐标列阵,Φn为第n振型列阵,Φ寣为Φn的转置。通过式(8)的变换,利用主振型的正交性,并假定

公式 符号

即可将方程组(7)解耦为以下n个独立的常微分方程组。

公式 符号   (9)

求解常微分方程组(9)相当于解n个独立的单自由度振动,因而并不困难。一经解得Ij,并回代到(8),就可得到强迫振动的解v

当所取的 n值无限增大时,原来离散的 n个集中质量便转化成为无穷多个连续的质量。这时,梁就成为具有连续分布质量的连续体,这和实际情况是一致的。考虑连续体梁的振动称为具有无限自由度体系的振动,此时运动方程由常微分方程转化为偏微分方程。求解自由振动时可采用分离变量法,首先可求得本征方程,这相当于有限自由度振动的频率方程,从而得到本征值(固有频率)。由本征值可求得本征向量,由本征向量可求得本征函数即振型函数。和求解有限自由度振动问题一样,利用振型函数的正交性,可以较方便地解决强迫振动问题。其基本思想是将梁的挠度I 用振型函数展开成公式 符号。若取一项n=1,是一级近似,相当于一个自由度。若取两项n=1,2,相当于两个自由度。这是从另一条途径将无限自由度振动问题简化为有限自由度振动问题。解决结构振动问题除了采用精确的解析法以外,各种近似方法得到广泛的应用,其中以能量法(见能量原理)和有限元法用得最多。在机械和航空工程中,模态综合法已得到广泛的应用,在土木建筑工程中也在应用。

连续梁和刚架的振动

在结构静力学中分析连续梁和刚架时,常用到力法和位移法。在解决连续梁和刚架的自由振动时,同样也可以用上述方法。若采用力法,则有

δ公式 符号=0         (10)

令上式中与矩阵δ相对应的行列式等于零,即得到频率方程。若采用位移法,则有

KZ=0         (11)

式(10)、(11)及系数 δijKij 的物理概念均和结构静力学中一样,只是现在的系数δijKij 需要根据自由振动的动力微分方程求得。在求解连续梁振动时,(10)式可简化为三弯矩方程。值得注意的是,当求解等跨连续梁振动时,由(10)式所构成的频率方程中一般不包含零解X1X1=…=Xn=0。但当等跨连续梁两端为铰支时,支座弯矩等于零(X1=X1=…=Xn=0)的零解具有实际意义,它相应于支座处为反弯点的振型曲线(图3a),该振型所相应的频率是连续梁的基频,等于单跨简支梁的基频。两跨和三跨等跨的连续梁,其基频和跨度为l的单跨简支梁一样。 在使用与(11)式相对应的频率方程时,同样也会缺少对应于节点变形刚好等于零的振动形式的频率方程(图3b)。和(10)、(11)式所对应的频率方程比较复杂,可用电子计算机求解。连续梁和单跨梁不同,存在着频率分布的密集区。当解出自由振动后,就可采用振型叠加法求解强迫振动。

图 桁架的振动

对于桁架的自由振动的计算方法有:

(1)解析法。将桁架的杆件考虑为两力杆,忽略弯曲变形,将杆件的质量集中在桁架的节点上,这样就简化成为有限自由度体系。在每一节点上分别列出自由振动方程后,就可求得频率方程,从而求得桁架的固有频率和振型。

(2)能量法。由于求解频率方程工作最较大。在工程上有时只需要前面几个频率,于是可以采用能量法求固有频率。用能量法求得的基频是相当准确的。自由振动问题解决以后,求解强迫振动就没有什么困难。此外,还可采用有限元法求解,用时可计及桁架构件的弯曲变形。

拱的振动

拱与梁的区别在于拱是曲杆。在动力分析中,必须计及轴力的影响。等截面圆拱可以获得精确的解析解。梁自由振动的动力方程是四阶偏微分方程,而拱是六阶的。单跨梁的第一主振型是正对称的,而圆拱的第一主振型却是反对称的且具有一个节点。圆拱的第二主振型是正对称的而没有节点。如果直接用曲杆的单元刚度矩阵,通过有限元法解拱的自由振动和强迫振动将更为有利。

板的振动

一般包括单块板的振动和连续板的振动。单块板的振动有圆板、椭圆板、三角形板、矩形板以及其他形状板的振动。在土木建筑工程中,矩形板使用得比较多。当单块矩形板两对边为铰支时,可以较容易地获得精确的解析解。至于其他支承情况,可以用能量法求解,其精度比较好。也可以用其他方法进行计算。关于连续板的振动,有一个方向连续的单列板振动(如肋形楼盖),和沿两个方向均为连续的连续板的振动(如多层工业厂房的楼板)。如果考虑单列板的肋梁是刚性支座,它就和连续梁相类似。当肋梁刚度不大时,肋梁不能当作刚性支座,必须计及梁和板的共同作用。对于这种情况,已获得解析解。分析结果表明:当肋梁刚度较小时,第一主振型不具有节线,但当肋梁的刚度比较大但还不是无穷大时,弹性支座单列板的基频有可能和刚性支座单列板的基频相等,但以后各阶的频率和振型分布次序两者是不一样的,而且弹性支座单列板的振型分布发生次序颠倒的现象。在这种情况下,所解得的强迫振动响应两者也不一样,其差别随着肋梁刚度的增加而减小。对于双向连续的连续板振动的分析,在理论上并不存在困难,但是计算工作相当繁复。

随机性振动

简称随机振动。20世纪50年代以来,概率论开始更多地被引入工程领域处理随机荷载作用下的各种振动问题,并逐渐形成一门很有实用价值的新兴学科──随机振动。从力学的角度看,它是古典振动理论的新发展,从数学的角度看,它是随机过程理论在振动领域里的应用。随机振动理论早期应用于高速飞行,50年代以后才开始应用于土木、机械等工程领域以解决在随机激励(如地震、海浪、风暴等)作用下的结构振动分析、疲劳强度设计(见疲劳)、结构的动力可靠性(见结构可靠度)、噪声与隔振及随机振动实验等一系列动力学问题。随机振动尚有很多理论问题和实际问题有待解决,现在处在发展阶段中。

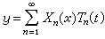
在客观世界有许多随时间变化的量x(t),如作用在结构物上的风压力、地震时的地面运动加速度等,如果在一定条件下,对任何给定的时间tx(t)有一确定的值,则x(t)称为确定函数。如果在一定条件下,对任何给定的时间tX(t)的值不确定,或是一个随机变量,则x(t)称为随机过程,并用Xt)表示。如同一地基上的地震仪即使遭到相同震级的地震振动(这是固定的条件),也决不会画出相同的时程曲线x(t),即x(t)具有非重复性。可以认为,某一特定的时程曲线是受概率法则支配而出现的。因此,地震时地面运动引起的结构振动是一种随机振动。随机振动本身也是随机过程。其确切定义:随机过程X(t)是指在一定条件下,所有可能发生的xi(t)(i=1,2,…)的集合(图4),其中任意一个xi(t)(集合中的一个元素)称为样本函数。样本函数本身是一个确定函数。

图

对于一个随机过程,可以从幅域、时域和频域三个侧面进行描述。

幅域描述

主要是描述随机过程的概率特征。一个随机过程X(t)的概率性质,可由它的各阶概率密度函数确定。各阶概率密度函数是指下列诸函数: p(x1t1),p(x1t1;x1t1),p(x1t1;x1t1;x3t3),…式中xix(ti)表示x(t)在时刻tti时的值(i=1,2,3,…),它们是随机变量。

如用E[X(t)]表示Xt)的期望值或称均值,则随机过程X(t)的期望值为

公式 符号     (12)

时域描述

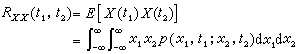
主要是描述过程在不同时刻取值的相关性,描述过程在任意两个时刻t1t2取值的相关程度,寻求随机过程X(t)的自相关函数,故也称相关分析。随机过程X(t)的自相关函数被定义为

公式 符号  (13)

t1t2tRXX(tt)=E[X2(t)]称均方值。

频域描述

主要是描述随机过程的频率结构,分析过程由一些具有什么样的频率的简谐分量所构成,寻求该过程的功率谱密度函数,故也称功率谱分析,简称谱分析。功率谱密度函数和自相关函数有其内在联系,在数学上是通过傅里叶变换来联系的。

随机过程可分为两大类:一类是平稳随机过程,另一类是非平稳随机过程。

平稳随机过程按其严格定义是指其整个概率性质,即它的各阶概率密度函数,与时间参数的原点选择无关。

如果随机过程X(t)仅满足下列二个条件

公式 符号   (14)

式中τ=t2t1(图4),则称广义(或弱)平稳随机过程。一般在工程技术问题中所谓平稳过程是指弱平稳过程。

如果平稳随机过程的期望值式(12)和自相关函数式(14)可以由它的任意一个样本函数的相应的时间平均值代替,则这个平稳过程称为各态历经过程。各态历经过程的物理意义是,平稳过程有足够长的样本记录,包含了关于这个随机过程的全部统计信息。各态历经过程一定是平稳过程但其逆不真。

在随机振动分析中,期望值和自相关函数是描述一个随机过程的统计特性的两个非常重要的量。虽然,它们不能完全刻划一个随机过程,但它们仍包含了一个随机过程的最重要的信息。

和确定性振动问题一样,随机振动问题也是通过求解随机微分方程解决的。

最近30年来,随机微分方程的理论和应用有了迅速的发展,内容十分丰富。根据问题的物理起源和数学特点,有三大类随机微分方程。最简单的一类只有初始条件是随机的,如在空间弹道问题分析中会出现这一类方程。第二类是随机元素只出现在方程的非齐次项或输入项。第三类是指在方程的左边具有随机系数的微分方程。这类方程的研究是最近才开始的,其应用包括非均匀介质中波的传播和物理、工程、生物、医学中不完全确定的系统的动力学。由实际问题提出的方程,可能同时并有上述三类或其中两类随机因素。

随机振动所研究的各种振动现象都是随机的,其特点是,要对未来某一时刻的振动状态作出确定的预言是不可能的。但如果有了随机荷载(一般称随机激励或随机输入)的统计特性,便可用概率论和振动理论的方法算出随机响应的重要统计特性。

参考书目
  1. 钱培风:《结构动力学》,中国工业出版社,北京,1964。
  2. R.W.克拉夫、J.彭津著,王光远等译:《结构动力学》,科学出版社,北京,1981。(R.W.Clough,J.Penzien,Dynamics of Structures,McGraw-Hill,New York,1975.)
  3. N.C.尼格姆著、何成慧等译:《随机振动概论》,上海交通大学出版社,上海,1985。(N.C.Nigam,Introduction to Random  Vibrations,MIT Press,Cambridge,Massachusetts,1983.)