¸ù¾Ý¡¶2011 Äê¹úÃñ¾¼ÃºÍÉç»á·¢Õ¹Í³¼Æ¹«±¨¡·£¬2011 ÄêÄ©Öйú³ÇÊÐÎÛË®´¦Àí³§ÈÕ´¦ÀíÎÛË®µÄÄÜÁ¦Òѳ¬¹ý1.1 ÒÚm3£¬³ÇÊÐÎÛË®´¦ÀíÂÊ´ïµ½82.6%¡£Ëæ×ÅÎÛË®´¦ÀíÁ¿µÄÈÕÒæÔö¼Ó£¬»¹²úÉúÁË´óÁ¿µÄÎÛÄࡣĿǰ¶ÔÕâЩÎÛÄàµÄ´¦Àí¡¢´¦ÖÃÈÔÃæÁÙ×ÅÐí¶àÎÊÌ⣬´¦Àí²»µ±ÔòºÜÈÝÒײúÉú¶þ´ÎÎÛȾÎÊÌ⣬Òò´ËÓбØÒªÔÚÎÛÄàµÄ×îÖÕ´¦ÖÃǰ½øÐÐÎÛÄà¼õÁ¿µÄÔ¤´¦Àí¡£
ÎÛÄàÔ¤´¦Àí¼¼Êõ°üÀ¨»úе·¨£¨È糬Éù´¦Àí£©¡¢»¯Ñ§·¨£¨Èç¼î·¨µÈ£©¡¢ÈÈÁ¦Ñ§·¨£¨ÈçÈÈ´¦Àí¡¢¶³/ÈÚ´¦Àí£©ºÍÉúÎï·¨£¨ÈçÉúÎïø·¨£©µÈ¡£Ïà¶ÔÓÚ»úе·¨ÐèÒªÏûºÄ´óÁ¿ÄÜÁ¿»ò»¯Ñ§·¨ÐèÒªÌí¼Ó»¯Ñ§Ò©¼ÁµÄ¸ß³É±¾À´Ëµ£¬ÀäÈÚ·¨¿É×Ô·¢½øÐУ¬²»ÐèÒª¶îÍâÌí¼Ó¾ÛºÏÎ²¢ÇÒ×ÔÈ»ÀäÄÜ×÷ΪһÖÖÇå½àÄÜÔ´£¬¿É´ó´ó½µµÍÔËÐзÑÓá£
ÔçÔÚ19 ÊÀ¼Í£¬¼ÓÄôóÒÑÓаÑ×ÔÈ»Àä¶³·¨Ó¦ÓÃÓÚÎÛÄàÔ¤´¦ÀíµÄʵÀý£¬²¢ÈÏΪÆä´¦Àí·ÑÓÃÊÇÆÕͨ´¦Àí·½·¨µÄÊ®·ÖÖ®Ò»£¬Ö»Êǵ±Ê±ÓÉÓÚ¼¼ÊõÉϵÄÔÒò£¬×ÔÈ»Àä¶³·¨Ã»µÃµ½Íƹ㡣½üÄêÀ´£¬ÀäÈÚ·¨´¦ÀíÎÛÄàÔÚÃÀ¹ú¡¢ÈðµäµÈ¹ú¼ÒµÃµ½¹ã·ºµÄÓ¦Ó㬶øÀäÈÚ·¨´¦ÀíÎÛÄàÔÚ¹úÄÚÉд¦ÓÚ³õ²½Ì½Ë÷½×¶Î¡£ÀäÈÚ´¦ÀíÊÇÒ»ÖÖÓÐЧµÄÎÛÄàµ÷ÀíÊֶΣ¬²»½öÄܹ»¸ÄÉÆÎÛÄàµÄÍÑË®ÐÔÄÜ£¬Ê¹ÎÛÄà¿ÅÁ£½á¹¹¸ü¼Ó½ôÃÜ£¬»¹¿ÉÒÔ¼õÉÙ½áºÏË®º¬Á¿£¬Í¬Ê±ÊµÏÖÎÛÄàÆÆ½â£¬¼ÓËÙºóÐøµÄÑáÑõÏû»¯½ø³ÌµÈ¡£ÀäÈÚ¹ý³ÌÆÆ»µÁËÎÛÄེÌåÐÔÖÊ£¬Ê¹ÊèËɵĿÅÁ£½á¹¹×ª±äΪÖÂÃÜÐÎ̬½á¹¹£¬³Á½µËÙ¶ÈÓë¹ýÂËËÙ¶ÈÌá¸ß¡£ÀäÈÚ·¨Í¬Ê±Ò²ÊÇÒ»ÖÖÓÐЧÃð»îÎÛÄàϸ¾úµÄ·½·¨£¬ÓÐÑо¿±íÃ÷Æä¶ÔÒìÑø¾úȺ£¨HPC£©Ãð»îÂʿɴï95£¥£¬¶Ô´ó³¦¾úȺÃð»îÂʿɴï84£¥×óÓÒ¡£±ÊÕßÑо¿ÁËÊ£ÓàÎÛÄàÔÚ-18 ¡æÏÂÀä¶³²»Í¬Ê±¼äºó£¬ÎÛÄàÀí»¯ÐÔÖʵı仯Çé¿ö£¬²¢·ÖÎöÁËÀäÈÚºóÎÛÄàµÄ³Á½µÐÔÄܺÍÍÑË®ÐÔÄÜ¡£
1 ʵÑé²ÄÁÏÓë·½·¨
1.1 ÎÛÄàÀ´Ô´
ÊÔÑéËùÓõÄÊ£ÓàÎÛÄà²É¼¯ÓÚ½ÃÅÊÐÎIJýɳˮÖʾ»»¯³§£¬ÎÛÄà²É¼¯ºó¾²³Á12 h£¬ÆúÈ¥ÉÏÇåÒº£¬Æäº¬Ë®ÂʽµÖÁ97£¥×óÓÒ£¬Öü´æÔÚ4 ¡æ±ùÏäÖб¸Óá£Ê£ÓàÎÛÄàµÄTCOD ºÍSCOD ·Ö±ðΪ£¨30 126 ¡À237£© mg/L ºÍ£¨1 075¡À26£© mg/L£¬pH Ϊ6.82¡£
1.2 À䶳ʵÑé
½«Ê£ÓàÎÛÄàÖÃÓÚ-18 ¡æµÄ±ùÏäÖÐÀä¶³²»Í¬Ê±¼ä¡£Àä¶³½áÊøºó£¬ÔÚÏà¶Ôʪ¶ÈΪ41£¥¡«88£¥£¬ÊÒΣ¨Ô¼25 ¡æ£©Ìõ¼þϽøÐнⶳ£¬È»ºó·ÖÎöÆäÀí»¯ÐÔÖÊ¡¢ÍÑË®ÐÔÄܺͳÁ½µÐÔÄÜ¡£
1.3 ·ÖÎö·½·¨
½«¾ÀäÈÚ´¦ÀíµÄÎÛÄà50 mL ¼ÓÈëÁ¿Í²ÖУ¬Ã¿¸ôÒ»¶¨Ê±¼ä¼Ç¼һ´ÎÎÛÄàÌå»ý£¬¹²¼ÆÊ±1 h£¬±È½Ï¾²»Í¬ÊÔÑé´¦ÀíºóÎÛÄàµÄ³Á½µËÙ¶È¡£½«¾ÀäÈÚ´¦ÀíµÄ100 mL ÎÛÄ൹Èë²¼ÊÏ©¶·£¬ÔÚ0.04 ¡«0.05 MPa ϽøÐÐÕæ¿Õ³éÂË¡£Ö±ÖÁÕæ¿ÕÆÆ»µÊ±Í£Ö¹¹ýÂË£¬ÈçÕæ¿Õ³¤Ê±¼ä²»ÆÆ»µ£¬Ôò¹ýÂË20 minºó¼´Í£Ö¹¡£È»ºóÈ¡³ö²¿·ÖÎÛÄàÂ˱ýÖÃÓÚ±íÃæÃóÖУ¬ÓÚºæÏäÖÐ105 ¡æºãκæ¸ÉÖÁºãÖØ£¬·ÅÈë¸ÉÔïÆ÷ÖÐÀäÈ´ºó³ÆÆäÖÊÁ¿£¬×îºó¼ÆËãÂ˱ýµÄº¬Ë®ÂÊ¡£ÎÛÄàµÄTCOD¡¢SCOD ºÍpH °´ÕÕ¹ú¼Ò±ê×¼·½·¨²â¶¨¡£
2 ½á¹ûÓëÌÖÂÛ
2.1 À䶳ʱ¼ä¶ÔÎÛÄà³Á½µÐÔÄܵÄÓ°Ïì
ÎÛÄàÀä¶³²»Í¬Ê±¼ä£¬ÔÙ¾×ÔÈ»ÈÚ»¯ºó£¬Æä³Á½µÐÔÄܱ仯¼ûͼ 1¡£
ÓÉͼ 1 ¿ÉÒÔ¿´³ö£ºÔÎÛÄà³Á½µºÜÂý£¬³Á½µ1 h ºóÎÛÄàÌå»ý»¹ÓÐ43 mL¡£¶øÀä¶³6 h µÄÎÛÄàÈÚ»¯ºó£¬1 min ÄھͳÁ½µÁË13 mL£¬³Á½µËÙ¶ÈÓÉÔÏȵÄ0.002mL/s ÉÏÉýÖÁ0.217 mL/s£¬³Á½µËÙ¶ÈÌá¸ßÁË108.5 ±¶£¬ÎÛÄà³Á½µËÙ¶È´ó·ù¶ÈÌá¸ß¡£ÕâÊÇÓÉÓÚÍêÈ«¶³ÈÚºóÎÛÄà¿ÅÁ£¼ä½áºÏË®ºÍ¼ä϶ˮ±»Åųö£¬ÎÛÄà¿ÅÁ£Ñ¸ËÙÄý¼¯³Á½µ¡£µ±ÎÛÄà¾13 h µÄÀä¶³ºó£¬1 min ÄڵijÁ½µËÙ¶ÈÓÖ±ÈÀä¶³6 h µÄÎÛÄà¿ìºÜ¶à£¬ËµÃ÷Ôö¼ÓÀ䶳ʱ¼äÓÐÖúÓÚ¸ÄÉÆÎÛÄà³Á½µÐÔÄÜ£¬µ«½«À䶳ʱ¼äÌá¸ßµ½22 h ʱ£¬³Á½µËÙ¶ÈȴûÄܽøÒ»²½Ìá¸ß£¬ÓÉ´Ë˵Ã÷£¬Àä¶³13 h ÊÇÌá¸ßÎÛÄà³Á½µÐԵļȾ¼ÃÓÖÓÐЧµÄ½Ï¼ÑÀ䶳ʱ¼ä¡£
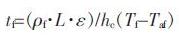
ÓÐÑо¿±íÃ÷¡²9¡³£¬ÍêÈ«Àä¶³ÊÇÎÛÄàÐÔ×´·¢Éú¸Ä±äµÄǰÌᣬP. A. Vesilind ¶¨ÒåµÄÍêÈ«À䶳ʱ¼äΪ£º
ʽÖУºtf¡ª¡ª¡ªÍêÈ«À䶳ʱ¼ä£¬h£»
¦Ñf¡ª¡ª¡ªÎÛÄàÀä¶³ºóµÄÃܶȣ¬kg/m3£»
L¡ª¡ª¡ªÈÛ»¯Ç±ÈÈ£¬W¡¤h/kg£»
¦Å¡ª¡ª¡ªÎÛÄà²ãºñ¶È£¬m£»
Tf¡ª¡ª¡ªÎÛÄàµÄ±ùµã£¬¡æ£»
Taf¡ª¡ª¡ªÀä¶³³¡µÄƽ¾ùζȣ¬¡æ£»
hc¡ª¡ª¡ªÆ½¾ù¶ÔÁ÷ϵÊý£¬W/£¨m2¡¤¡æ£©¡£
ÆäÖЦÑf£½917 kg/m3£¬L£½93 W¡¤h/kg£¬¦Å£½0.006 m£¬Tf£½0¡æ¡£¾ÍƵ¼£¬±¾ÊÔÑé×°ÖÃÆ½¾ù¶ÔÁ÷ϵÊýΪ2.368W/£¨m2¡¤¡æ£©¡£Óɴ˿ɼÆËã³ö-18 ¡æÍêÈ«¶³½áʱ¼äΪ12 h¡£Õâ¸öʱ¼äÓë±¾ÊÔÑéÈ·¶¨µÄ½Ï¼ÑÀ䶳ʱ¼ä13 h½ÏÎǺϡ£
2.2 À䶳ʱ¼ä¶ÔÎÛÄàÍÑË®ÐÔÄܵÄÓ°Ïì
ÎÛÄàÀä¶³²¢½âÈÚºó£¬ÓÃÕæ¿Õ±Ã¶ÔÆä³éÂ˲¢²â¶¨ÆäÂ˱ýµÄº¬Ë®ÂÊ£» Ϊ½øÒ»²½¿¼²ìÎÛÄàÀäÈÚºóµÄÍÑË®ÐÔÄܱ仯Çé¿ö£¬·Ö±ðÈ¡¾ÀäÈÚºóµÄ100 mL ÎÛÄàÑùÆ·ÔÚ4 000 r/min תËÙÏÂÀëÐÄ30 min£¬È»ºó²â¶¨Àä¶³ÎÛÄàÀëÐĺóµÄÉÏÇåÒºÌå»ý£¬½á¹û¼ûͼ 2¡£
ÓÉͼ 2 ¿ÉÒÔ¿´³ö£º ¾³éÂ˺óÔÎÛÄàµÄÂ˱ýº¬Ë®Âʸߴï88.2%£¬¶ø¾Àä¶³6¡¢13 h µÄÎÛÄàÂ˱ýº¬Ë®ÂÊÔòÓÐÁ˺ܴó³Ì¶ÈµÄ½µµÍ£¬·Ö±ð½µÖÁ73.8%ºÍ63.8%£¬¼ÌÐøÔö¼ÓÀ䶳ʱ¼äΪ22 h ʱ£¬Â˱ýº¬Ë®ÂÊûÓнøÒ»²½½µµÍ£¬ÕâÓëÇ°ÃæµÄÎÛÄà³Á½µÐÔÄÜʵÑé½á¹ûÏàËÆ¡£ÀäÈÚ¿ÉÓÐЧ½µµÍÂ˱ýº¬Ë®ÂÊ£¬ÊÇÒ»ÖÖÄÜÓÐЧÌá¸ßÎÛÄàÍÑË®ÐÔÄܵķ½Ê½¡£¶ø³Á½µÐÔÄܵõ½¸ÄÉÆµÄÀä¶³ÎÛÄàµÄÀëÐÄÉÏÇåÒºÌå»ýÒ²ÔÚÔö¼Ó£¬ËµÃ÷ÎÛÄà³Á½µÐԵõ½¸ÄÉÆµÄͬʱÆä¿ÉѹËõÐÔÒàµÃµ½¸ÄÉÆ£¬½øÒ»²½ËµÃ÷ÀäÈÚ´¦Àí¸ÄÉÆÁËÎÛÄàµÄÍÑË®ÐÔ¡£
2.3 À䶳ʱ¼ä¶ÔÎÛÄàÓлúÎﺬÁ¿¡¢pH µÄÓ°Ïì
ÊÔÑ黹²â¶¨ÁËÊ£ÓàÎÛÄà¾ÀäÈÚ´¦ÀíºóÓлúÎﺬÁ¿µÄ±ä»¯£¬ÀäÈÚǰºóTCOD »ù±¾Ã»Óиı䣬SCOD ±ä»¯Çé¿ö¼ûͼ 3¡£
ͼ 3 ±íÃ÷£ºSCOD Ëæ×ÅÀ䶳ʱ¼äµÄÑÓ³¤¶ø²»¶ÏÔö¼Ó£¬Õâ±íÃ÷Ëæ×ÅÀä¶³×÷ÓöÔÎÛÄà¹ÌÌåµÄÆÆ½â£¬ÎÛÄàÖеÄÓлúÎïÖð½¥±»Èܽ⣬½á¹ûµ¼ÖÂÎÛÄàÒºÏàÖÐÈܽâÐÔÎÛȾÎïÖð½¥Ôö¼Ó¡£
ÁíÍâÓÉͼ 3 »¹¿ÉÒÔ¿´³ö£º Ê£ÓàÎÛÄà¾ÀäÈÚ×÷Óúó£¬pH ÓÐËù½µµÍ¡£²¢ÇÒÎÛÄ྽϶Ìʱ¼äµÄÀä¶³ºó£¬ÎÛÄàpH µÄ½µµÍËÙÂÊÒª´óÓÚÎÛÄ྽ϳ¤Ê±¼äÀä¶³ºópHµÄ½µµÍËÙÂÊ¡£ÎÛÄàpH µÄϽµ±íÃ÷ÎÛÄàÖлӷ¢ÐÔÖ¬·¾ËᣨVFA£©º¬Á¿ÔÚÔö¼Ó£¬ÕâÖ÷ÒªÊÇÓÉÓÚϸ°ûÄÚºÍϸ°ûÍâµÄ±ùÔÚÐγɹý³ÌÖÐϸ°ûÆÆÁѶøÊͷųöϸ°ûÄÚº¬ÎïËùÖ¡£T. W. Jan µÈ¡²10¡³Ö¸³ö£¬pH¡Ö5.5 ÊDzú¼×Íé»î¶¯¿ÉÒÔÆô¶¯µÄÁÙ½çpH£¬²»¿ÉµÍÓÚ¸ÃÖµ¡£¶øÔÚ±¾ÊÔÑéÖУ¬Ê£ÓàÎÛÄà¾13 h ÀäÈÚ´¦ÀíºóµÄ×îµÍpH Ϊ6.39£¬ÄÜÂú×ã²ú¼×Íé»î¶¯Æô¶¯µÄ±ß½çÌõ¼þ¡£Õâ±íÃ÷ÎÛÄà¾ÀäÈÚÔ¤´¦Àí²»»á·Áº¦ºóÐøµÄÑáÑõÏû»¯´¦ÀíЧ¹û¡£
3 ½áÂÛ
ÀäÈÚ·¨µ÷ÀíÎÛÄàÓÐÀûÓÚÎÛÄàÍÑË®£¬Ê¹ÎÛÄàÒ×ÓÚ³Á½µ¡£ÕâÊÇÓÉÓÚÀä¶³¹ý³ÌÖÐëϸ¹ÜÒýÁ¦ÖÂϸ°û»úеÍÑË®£¬½áºÏË®µÄº¬Á¿Óдó·ù¶È½µµÍ£¬ÍÑË®µÄЧ¹ûÓÐÃ÷ÏÔÌá¸ß¡£ÁíÍâÀäÈÚ´¦Àí¿ÉÒÔÆÆ½âÎÛÄ࣬½«°ûÄÚ¹ÌÌåÎïÖÊת»¯ÎªÒºÏà³É·Ö¡£ÀäÈÚ·¨×÷ΪһÖÖÐÂÐÍÎÛÄà´¦Àí·½·¨£¬¶ÔÓÚ½ÚÔ¼×ÊÔ´£¬½¨Á¢»·¾³ÓѺÃÐÍÉç»áÓÐÌØÊâÖØÒªµÄÒâÒå¡£ÀäÈÚ´¦ÀíÊÇÒ»ÖÖÓÐЧµÄÎÛÄàÔ¤´¦Àí¼¼Êõ£¬Ê£ÓàÎÛÄྐྵýÀäÈÚ´¦Àíºó£¬ÎÛÄàµÄÀí»¯ÐÔÖÊÓÐËù¸Ä±ä£¬Ëæ×ÅÀ䶳ʱ¼äµÄÔö¼Ó£¬ÎÛÄàpH Ͻµ£¬¶øSCODÓÐËùÉÏÉý¡£¡£
£¨1£©ÀäÈÚµ÷ÀíºóÎÛÄàµÄ³Á½µÐÔÄÜÏÔÖøÌá¸ß£¬-18 ¡æÏÂÀä¶³13 h£¬½â¶³ºó³Á½µËÙ¶ÈÓÉÔÎÛÄàµÄ0.002 mL/s ÉÏÉýÖÁ0.442 mL/s¡£
£¨2£©ÀäÈÚºóÎÛÄàÍÑË®ÐÔÄܸÄÉÆÃ÷ÏÔ£¬-18 ¡æÏÂÀä¶³13 h ºó£¬Â˱ýº¬Ë®ÂʽµÎª63.8%£¬º¬¹ÌÂÊ£¾30%¡£
£¨3£©ÀäÈÚ´¦ÀíÔÚʹÎÛÄàµÄ³Á½µºÍÍÑË®ÐÔÄܶ¼µÃµ½¸ÄÉÆµÄͬʱҲ¸Ä±äÁËÎÛÄàµÄÀí»¯ÐÔÖÊ¡£ÀäÈÚºóÎÛÄàµÄSCOD Ëæ×ÅÀ䶳ʱ¼äµÄÑÓ³¤¶ø²»¶ÏÔö¼Ó£¬Àä¶³13 h ÎÛÄàµÄSCOD ´ÓÔÏȵģ¨1 075¡À26£© mg/L Ôö¼Óµ½£¨2 458¡À33£© mg/L£»ÎÛÄàµÄpH ´ÓÔÎÛÄàµÄ6.82½µµ½6.39£¬µ«ÈÔ¸ßÓÚ²ú¼×Íé»î¶¯¿ÉÒÔÆô¶¯µÄÁÙ½çpH¡£













