ǰÑÔ
ÌìȻˮÌåÖг£º¬ÓÐÄàɰ¡¢Õ³ÍÁ¡¢¸¯Ö³ÖʵÈÐü¸¡ÎïºÍ½ºÌåÔÓÖʼ°Ï¸¾ú¡¢Õæ¾ú¡¢ÔåÀà¡¢²¡¶¾µÈ΢ÉúÎËüÃÇÔÚË®ÖоßÓУ¶¨µÄÎȶ¨ÐÔ£¬ÊÇÔì³ÉË®Ìå»ì×Ç¡¢ÑÕÉ«ºÍÒìζµÄÖ÷ÒªÔÒò¡£»ìÄý´¦Àí¾ÍÊÇÒÔ³ýÈ¥ÕâЩÔÓÖÊΪÖ÷ҪĿµÄ£¬Ê¹Ë®ÖÐÐü¸¡ÎïµÄº¬Á¿½µÖÁ5mg /l ÒÔÏ£¬¼´µÃµ½³ÎÇåË®£¬Ï°¹ßÉϳÆËüÃÇΪˮµÄÔ¤´¦Àí¡£¾¹ýÔ¤´¦ÀíºóµÄË®£¬¸ù¾Ý²»Í¬µÄÓÃ;ÔÙ½øÐÐÉî¶È´¦Àí¡£Èç×÷Ϊ¹øÂ¯ÓÃË®£¬»¹±ØÐëÓÃÀë×Ó½»»»µÄ·½·¨³ýȥˮÖÐÈܽâ¼þµÄÑÎÀ༰ÓüÓÈÈ»ò³éÕæ¿ÕºÍ¹Ä·çµÄ·½·¨³ýȥˮÖÐÈܽâÐÔµÄÆøÌå¡£Èç²»Ê×ÏȳýÈ¥ÕâЩÔÓÖÊ£®ºóÐø´¦Àí(Èç³ýÑεÈ) ½«ÎÞ·¨½øÐС£Òò´Ë£¬Ë®µÄ»ìÄý´¦ÀíÊÇË®´¦Àí¹¤ÒÕÁ÷³ÌÖеÄÒ»¸öÖØÒª»·½Ú¡£
ÐõÄý³Á½µ¼¼ÊõÔÚË®´¦Àí¹¤ÒÕÖÐÊÇÒ»Ïî¹ã·ºÓ¦Óõļ¼Êõ¡£Ëü²»½ö¿ÉÓÃÓÚ¸øË®´¦Àí£¬»¹¿ÉÓÃÓÚ¹¤Òµ·ÏË®´¦Àí¡£Ðí¶à¹¤Òµ·ÏË®¾ÐõÄý³ÎÇåºó¿É·µ»Ø¹¤ÒÕ¹ý³ÌʹÓá£ÕâÑù²»½ö³ä·ÖÀûÓÃÁËË®×ÊÔ´£¬¶øÇÒÓÐÀûÓÚ±£»¤»·¾³£¬Òò¶øÓÐÃ÷ÏԵľ¼ÃÉç»áÐ§Òæ¡£´ÓĿǰ¹úÄÚµÄÏÖ×´¿´£¬ÐõÄý³Á½µ¼¼ÊõËä»ñµÃÁ˹㷺ӦÓ㬵«Ò»°ãÐõÄý¼ÁºÄÁ¿½Ï¸ß£¬ÓеϹÒòÑ¡ÐͲ»ÒË»òʹÓ÷½·¨²»µ±£¬ÐõÄý³ÎÇåЧ¹û²»ÀíÏ룬Ϊ¸ÄÉÆÐõÄý³ÎÇåЧ¹û¡¢½µµÍÒ©¼ÁÏûºÄ·ÑÓãÛ1£Ý£¬Ä¾ÎĽ«Ó¦ÓÃÑо¿µÄÌå»á½éÉܸø´ó¼Ò£¬¹©´ó¼Ò²Î¿¼¡£
2 ÐõÄý¼ÁÀàÐÍÓëÊÊÓ÷¶Î§
2£®1 ÎÞ»úÐõÄý¼Á
ÎÞ»úÐõÄý¼ÁÖ÷ÒªÊÇÌúÑκÍÂÁÑΣ¬ÀýÈçÈýÂÈ»¯Ìú¡¢ÁòËáÑÇÌú¡¢ÁòËáÌú¡¢¾ÛºÏÁòËáÌú¡¢ÁòËáÂÁ¡¢Ã÷·¯¡¢¼îʽÂÈ»¯ÂÁ¡¢¾ÛºÏÂÈ»¯ÂÁµÈ¡£ËüÃǵÄ×÷ÓûúÀíÊÇͨ¹ýË®½âÐγɽº×´ÇâÑõ»¯ÎÕâЩÇâÑõ»¯ÎïÓëË®ÖеÄÐü¸¡Á£×ÓÏàÅöÎü¸½ÔÚÒ»Æð£¬ÐγÉÐõÄýÍÅ£¬´Ó¶ø¼ÓËÙ³Á½µ¹ý³Ì£¬´ËÍâÒ²¾ßÓÐÒ»¶¨µÄµçÐÔÖкÍ×÷Óá£ÕâÀàÒ©¼ÁÓ¦ÓÃÀúÊ·ÓÆ¾Ã£¬ÔÚÒûÓÃË®Ó빤ҵ¸øË®´¦ÀíÖÐÕ¼Ö÷µ¼µØÎ»¡£ÔÚ¹¤Òµ·ÏË®´¦ÀíÖÐÒ²»¹ÓÐÒ»¶¨µÄÊг¡£¬ÌرðÊǶÔÓÚijЩº¬ÓлúÖʵĹ¤Òµ·ÏË®£¬Í¨¹ý»ìÄý×÷Ó㬾³ÎÇåºó²»½ö¿É»ñµÃ½ÏÇåµÄË®ÖÊ£¬¶øÇÒ»¹ÄܳýÈ¥Ò»²¿·ÖÓлúÎï(COD) ¡£µ«ÕâÀàÒ©¼ÁºÄÁ¿½Ï´ó¡¢ÐγɵÄÐõÍÅС¡¢³Á½µËÙ¶ÈÂý²¢¾ßÓÐÒ»¶¨µÄ¸¯Ê´ÐÔ£¬²Ù×÷¹¤È˵ÄÀͶ¯Ç¿¶ÈÒ²½Ï´ó¡£¶ÔÓÚÒ»°ã¹¤Òµ·ÏË®µÄ¹ÌÒº·ÖÀ룬²ÉÓúϳÉÓлú¸ß·Ö×ÓÐõÄý¼ÁÈÕÒæÔö¶à¡£
2£®2 ÌìÈ»¸ß·Ö×ÓÐõÄý¼Á
ÌìÈ»¸ß·Ö×ÓÐõÄý¼ÁÖ÷ÒªÓÐÌïó佺(Æä×é³ÉÓëÐÔÄÜÓë¹úÍâµÄ¼Ó¶û½ºÏàËÆ) ¡¢µí·Û¡¢ôïÆ¤¡¢Öíʺ¶¹·Û¡¢´óÒ¶éªÄ¾Ò¶¡¢ÏÉÈËÕÆÖ¡¢F691 µÈ£¬ÒÔ¼°ÕâЩÎïÖʵĸÄÐÔ²úÎï¡£ÕâÀàÐõÄý¼ÁÔÚ¿óÎï¼Ó¹¤ÖÐÖ÷ÒªÓÃ×÷¿ó½¬¹ýÂ˵ÄÖúÂ˼Á£¬ÔÚ¹¤ÒµË®´¦ÀíÖÐÒ²ÓÐʹÓõġ£ÕâÀàÐõÄý¼Áµ¥ºÄÒ²½Ï¸ß¡¢ÐγɵÄÐõÍÅС£¬µ¥¶ÀÓÃÓÚÐõÄý³ÎÇ壬Ч¹ûÒ²²»ÀíÏ룬µ«½«ËüÓëÉÙÁ¿ÊÊÒ˵ĺϳÉÓлú¸ß·Ö×ÓÐõÄý¼ÁÁªºÏʹÓ㬲»½öÐõÄý³ÎÇåЧ¹ûºÃ£¬¶øÇÒÒ©¼ÁÏûºÄ·ÑÓÃÒ»°ãÒ²½ÏµÍ¡£
2£®3 ºÏ³ÉÓлú¸ß·Ö×ÓÐõÄý¼Á£¾Û±ûÏ©õ£°·
Ê×ÏÈ·¢Ã÷ÓÚÃÀ¹ú£¬²¢ÓÚ1955 ÄêÔÚÓË¿ó¼Ó¹¤ÖлñµÃ³É¹¦Ó¦Óá£60 Äê´ú³õ¿ªÊ¼ÑÐÖÆ£¬ÓÚ60 Äê´úÖÐÆÚÊ×ÏÈÔÚ¹úÄÚÓËˮұ¹¤ÒÕÖÐÓ¦ÓÃÓã¬ËæºóÔÙÀ©Õ¹Ó¦Óõ½ÆäËüÐÐÒµ¡£Ä¿Ç°µÄºÏ³ÉÓлú¸ß·Ö×ÓÐõÄý¼Á¿É·ÖΪÒõÀë×Ó¡¢ÑôÀë×ӺͷÇÀë×ÓÐÍÈý´óÀ༰ÆäϵÁвúÆ·¡£
·ÇÀë×ÓÐ;۱ûÏ©Ëá°·ÊÇÓñûϩ̪°·µ¥ÌåÔÚÒ»¶¨Ìõ¼þϽøÐоۺÏÖÆ±¸µÄ¡£
ÒõÀë×ÓÐÍÐõÄý¼Á¼È¿ÉÓñûÏ©õ£°·µ¥Ìåͨ¹ý¾ÛºÏË®½â·´Ó¦À´ÖƱ¸£¬Ò²¿ÉÓñûÏ©õ£°·µ¥ÌåÓë±ûÏ©ËáÄÆ°´Ò»¶¨±ÈÀý½øÐй²¾ÛÀ´ÖƱ¸¡£Í¨¹ý¸Ä±äÁ½ÕßµÄÅä±È¿ÉÖÆ±¸²»Í¬ÒõÀë×ÓÇ¿¶ÈµÄϵÁвúÆ·£¬µ±±ûÏ©õ£°·º¬Á¿ÎªÁãʱ£¬¼´ÎªÇ¿ÒõÀë×ÓÐ;۱ûÏ©ËáÄÆ¡£
ÑôÀë×ÓÐÍÐõÄý¼ÁÒ»°ãÓñûÏ©õ£°·Óë¼¾ï§Ñε¥Ìå½øÐй²¾ÛÀ´ÖƱ¸£¬Í¨¹ý¸Ä±äÁ½ÕßµÄÅä±È£¬¿ÉÖÆµÃ²»Í¬ÑôÀë×ÓÇ¿¶ÈµÄϵÁвúÆ·¡£
·ÇÀë×ÓÐ;ÛÄÚÏ©õ£°·ÊÊÓÃÓÚ¹ÌÌå΢Á£±íÃæ¾»µçºÉµÍµÄÌåϵ£¬Ò»°ã¿ÉÓÃÓÚËáÐÔ»ò½üÖÐÐÔµÄÌåϵ¡£ÑôÀë×ÓÐÍÐõÄý¼ÁÊÊÓÃÓÚ¹ÌÌå΢Á£±íÃæ´ø¸ºµçºÉµÄÌåϵ£¬Ò»°ãÊÊÓÃÓÚijЩº¬ÓлúÖʵÄÌåϵ¡£ÒõÀë×ÓÐÍÐõÄý¼ÁÊÊÓÃÓÚ¹ÌÌå΢Á£±íÃæ´øÕýµçºÉµÄÌåϵ£¬Ò»°ãΪ¼îÐÔ»ò½üÖÐÐÔµÄÌåϵ¡£ÀýÈçÒ»°ãµÄÑ¡¿ó·ÏË®¡¢¸ßÂ¯ÃºÆøÏ´µÓË®¡¢×ªÂ¯Á¶¸Ö³ý³¾Ë®¡¢Éս᳧·ÏË®¼°Ä³Ð©º¬Ê¯»ÒÖʼ°Á½¼Û»òÈý¼Û½ðÊô»¯ºÏÎïµÄ·ÏË®µÈ¡£ÒõÀë×ÓÐÍÐõÄý¼ÁÓ¦Ó÷¶Î§½Ï¹ã£¬Ä¿Ç°Êг¡ÉϳöÊ۵ľ۱ûϩ̪°·¸É·Û£¬¾ø´ó²¿·Ö¶¼ÊÇÈõÒõÀë×ÓÐÍ£¬Ë®½â¶ÈΪ25-30%¡£´Ó±íÃæ¿´£¬ºÏ³ÉÓлú¸ß·Ö×ÓÐõÄý¼Á¼Û¸ñ½Ï¹ó£¬µ«·Ö×ÓÁ¿¸ß£¬Ö»ÒªÑ¡ÐÍÊÊÒË£¬Ò»°ãÓÃÁ¿ºÜÉÙ£¬ÇÒÐγɵÄÐõÍÅ´ó¡¢³Á½µËٶȿ졢³öË®Ç壬ÆäÒ©¼ÁÏûºÄ×Ü·ÑÓÃÒ»°ã±ÈÓÃÎÞ»úÐõÄý¼ÁµÍ¡£
3 Ó¦ÓÃÑо¿ÊµÀý
»ìÄý´¦Àí°üÀ¨Ò©¼Á¡¢Ë®µÄ»ìºÏ¼°·´Ó¦(°üÀ¨ÍÑÎÈ¡¢Äý¾Û¡¢ÐõÄý) Á½¸ö½×¶Î¡£ÎªÁËÌá¸ß»ìÄý´¦ÀíµÄЧ¹û£¬±ØÐëÑ¡ÓÃÐÔÄÜÁ¼ºÃµÄÒ©¼Á£¬´´ÔìÊÊÒ˵Ļ¯Ñ§ºÍË®Á¦Ñ§Ìõ¼þ¡£
ÔÚĿǰµÄË®´¦ÀíÉè¼ÆÖУ¬¸÷ÖÖ»ìÄý¼ÁµÄ¼ÓÒ©Á¿¿É²Î¿¼ÒÔÏÂÊý¾Ý: ÁòËáÑÇÌú40-100mg/l; ÈýÂÈ»¯Ìú25-60mg/l; ÁòËáÂÁ35-80mg/l; ¾ÛºÏÂÁ5-10mg/l¡£±¾ÊµÑé²ÉÓÃÃ÷·¯(ÁòËáÂÁ¼ØKAl(SO4)2¡¤12H2O) ¡£
3£®1 ʵÑéÒÇÆ÷
(1) ZR4-6 ÐÍ»ìÄýÊÔÑé½Á°èÆ÷
(2) wzs-180 µÍ×ǶÈÒÇ
3£®2 ʵÑé·½·¨£Û3£Ý
(1) ÓÃ1000ml Á¿Í²È¡6 ¸öË®Ñù(ÔÆÁúºþË®) ÖÁ6 ¸ö1000mlÉÕ±ÖС£ËùȡˮÑùÒª½Á°è¾ùÔÈ£¬ÒªÒ»´ÎÁ¿È¡£¬ÒÔ¾¡Á¿¼õÉÙÈ¡ÑùŨ¶ÈÉϵÄÎó²î¡£
(2) ͶҩÁ¿: ±¾ÊµÑé²ÉÓÃÃ÷·¯(ÁòËáÂÁ¼ØKAl (SO4)2¡¤12H2O) 30-230mg /l¡£
(3) ½«µÚÒ»×éË®ÑùÖÃÓÚZR4-6 ÐÍ»ìÄýÊÔÑé½Á°èÆ÷Ï¡£(½Á°èʱ¼äºÍ³ÌÐòÒѰ´ËµÃ÷ÊéÔ¤ÏÈÉ趨ºÃ) Óë´Ëͬʱ£¬°´¼ÆËãºÃµÄͶҩÁ¿£¬ÓÃÒÆÒº¹Ü·Ö±ðÒÆÈ¡²»Í¬Á¿µÄÒ©ÒºÖÁ¼ÓÒ©¹ÜÖС£
(4) ¿ª¶¯»úÆ÷£¬ÔÚµÚÒ»´Î×Ô¶¯¼ÓÒ©ºó£¬ÓÃÕôÁóË®³åÏ´¼ÓÒ©ÊÔ¹Ü2 ´Î¡£
(5) »ìÄýʵÑé½Á°èÆ÷ÒÔ500r /min µÄËٶȽÁ°è30s£¬150r /min µÄËٶȽÁ°è5min£¬ 80r /min µÄËٶȽÁ10min¡£
(6) ½Á°è¹ý³ÌÖУ¬×¢Òâ¹Û²ì²¢¼Ç¼¡°·¯»¨¡±ÐγɵĹý³Ì£¬¡°·¯»¨¡±Íâ¹Û¡¢´óС¶ÈµÈ¡£
(7) ½Á°è¹ý³ÌÍê³Éºó£¬Í£»ú£¬¾²³Á15min£¬¹Û²ì²¢¼Ç¼¡°·¯»¨¡±³ÁµíµÄ¹ý³Ì¡£
(8) µÚÒ»×é6 ¸öË®Ñù£¬¾²Ö¹15min ºó£®ÓÃÒ½ÓÃÕëͲȡ³öÔ¼100ml µÄÉÏÇåÒº£¬ÖÃÓÚ6 ¸öÏ´¾»µÄ125ml ÉÕ±ÖУ¬²¢·Ö±ðÓÃ×ǶÈÒDzâ³öÊ£Óà×Ƕȣ¬¼Ç¼¡£
(9) ±È½ÏµÚÒ»×éʵÑé½á¹û£¬¸ù¾Ý6 ¸öË®ÑùËù²âµÃµÄÊ£Óà×ǶÈÖµ£¬ÒÔ¼°Ë®Ñù»ìÄý³ÁµíʱÏÖÏó¹Û²ì¼Ç¼µÄ·ÖÎö£¬¶Ô×î¼ÑͶҩÁ¿ËùÔÚÇø¼ä×÷³öÅжϣ¬ËõСʵÑ鷶Χ(¼ÓÒ©Á¿·¶Î§) £¬ÖØÐÂÉ趨(µÚ¶þ×é) ʵÑéµÄ×î´óºÍ×îСͶҩÁ¿Öµa¡¢b Ö®¼äµÄX1¡¢X2¡¢X3¡¢X4Öµ£¬Öظ´ÒÔÉÏÊÔÑé¡£
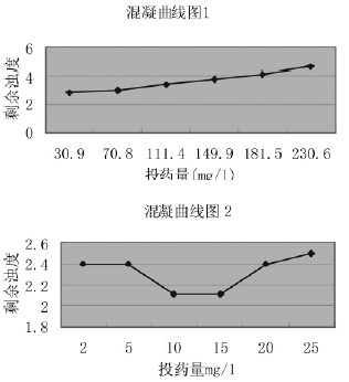
ÓÉÓÚµÚÒ»×éʵÑéÊ£Óà×ǶȳʵÝÔöÇ÷ÊÆ(¼ûͼ1) £¬ËùÒÔÖØÐÂÉ趨µÚ¶þ×éʵÑéŨ¶È·¶Î§Îª2-30 mg /l(¼ûͼ2) ¡£
3£®3 ½á¹ûÕûÀí
ÒÔͶҩÁ¿Îªºá×ø±ê£¬ÒÔÊ£Óà×ǶÈΪ×Ý×ù±ê£¬»æÖÆÍ¶Ò©Á¿Ê£Óà×ǶÈÇúÏߣ¬´ÓÇúÏßÉÏ¿ÉÇóµÃ10mg /l Ϊ×î¼ÑͶҩÁ¿Öµ¡£
4 ½áÂÛ
4£®1 »ìÄý¼Á¼ÁÁ¿
»ìÄý¼ÁµÄ¼ÁÁ¿ÊÇÓ°Ïì»ìÄýЧ¹ûµÄÖØÒªÒòËØ¡£Í¼3 ʾ³öÁË»ìÄý¼Á¼ÁÁ¿Óë³öˮʣÓà×ǶÈÖ®¼äµÄ¹ØÏµ£Û4£Ý¡£¡£
ÇúÏß·Ö³ÉËĸöÇøÓò¡£ÔÚµÚÒ»Çø£¬Òò¼ÁÁ¿²»×㣬ÉÐδÆðµ½ÍÑÎÈ×÷Óã¬Ê£Óà×ǶȽϸß; ÔÚµÚ¶þÇø£¬Òò¼ÁÁ¿Êʵ±£¬²úÉú¿ìËÙÄý¾Û£¬³öˮʣÓà×Ƕȼ±¾çϽµ; ÔÚµÚÈýÇø£¬¼ÁÁ¿¼ÌÐøÔö¼Ó£¬ÓÉÓÚ½ºÌå¿ÅÁ£Îü¸½Á˹ýÁ¿µÄ»ìÄý¼ÁË®½âÖмä²úÎÒýÆð½ºÌå¿ÅÁ£µçÐÔ±äºÅ£¬·¢ÉúÔÙÎÈÏÖÏ󣬳öˮʣÓà×ǶÈÖØÐÂÔö¼Ó; ÔÚµÚËÄÇø£¬½øÒ»²½Ìá¸ß¼ÁÁ¿£¬Ê¹»ìÄý¼Á¹ý±¥ºÍ³Ì¶ÈÔö´ó£¬Éú³É´óÁ¿ÄÑÈܵÄÇâÑõ»¯Îï³Áµí£¬Í¨¹ýÎü¸½¡¢Íø²¶µÈ×÷Óã¬ÒýÆð¶þ´ÎÄý¾Û£¬³öˮʣÓà×ǶÈÒåÒ»´Î½µµÍ¡£
ͼ3 »ìÄý¼Á¼ÁÁ¿¶Ô»ìÄýЧ¹ûµÄÓ°Ïì
¦Ñ1£¬¦Ñ2£¬¦Ñ3£¬¦Ñ4·Ö±ðΪ½ºÌåŨ¶È
4£®2 Ðü¸¡ÎﺬÁ¿
ÓÃÔÆÁúºþСÄϺþË®·ÖÎö±íÃ÷£¬¼Ó»ìÄý¼Áǰ£¬×ÜÐü¸¡ÎﺬÁ¿Îª260 mg /l£¬¼Ó»ìÄý¼Áºó£¬×ÜÐü¸¡ÎﺬÁ¿Îª52mg /l£¬±ÈÔÀ´½µµÍÁË80%£¬±íÃ÷£¬²»½öÐõÄý³ÎÇåЧ¹ûºÃ£¬¶øÇÒÒ©¼ÁÏûºÄ·ÑÓõͣ¬¾¼Ã¡¢Éç»áÐ§ÒæÏÔÖø¡£×ÛÉÏËùÊö£¬ÐõÄý³Á½µ¼¼ÊõÔÚË®´¦ÀíÖеÄÓ¦ÓÃǰ¾°¹ãÀ«£¬Õë¶Ô²»Í¬µÄË®ÖÊÌØÐÔ£¬Ñ¡ÔñµçºÉÐÔÖÊÓëÃܶÈÊÊÒ˵ÄÐõÄý¼Á¼°ºÏÊʵÄʹÓ÷½·¨ÊÇ»ñµÃ×î¼Ñ¹ÌÒº·ÖÀëЧ¹û¡¢½µµÍÏûºÄ·ÑÓõĹؼü¡£
²Î¿¼ÎÄÏ×
£Û1£ÝÀîÖ¾»ª£®ÐõÄý³Á½µ¼¼ÊõÔÚË®´¦ÀíÖеÄÓ¦ÓÃÑо¿£®¾»Ë®¼¼Êõ£¬1994£¬47(1) : 13-18£®
£Û2£ÝHunter T£®K£®ÐõÄý¼ÁºÍ±íÃæ»îÐÔ¼ÁÔÚ¿óÎï¼Ó¹¤ÖеÄÓ¦Óã®Êª·¨Ò±½ð£¬1984£¬1£¬2£®
£Û3£ÝÕſɷ½£®Ë®´¦ÀíʵÑé¼¼Êõ£®ôßÄÏ´óѧ³ö°æÉ磬¹ãÖÝ£¬2003£®8: 1-4£®
£Û4£ÝÀîÅàÔª£®»ðÁ¦·¢µç³§Ë®´¦Àí¼°Ë®ÖÊ¿ØÖÆÎ人ˮÀûµçÁ¦´óѧ£®ÖйúµçÁ¦³ö°æÉ磬1999£¬(11) : 48-49£®
×÷Õß¼ò½é£ºÀîÐ¡ÔÆ(1972-) £¬Å®£¬Ë¶Ê¿£¬¹¤³Ìʦ£¬Ö÷ÒªÑо¿·½ÏòΪˮÎÛȾ¿ØÖÆ¡£














