¡¡¡¡¶à¸ö³ÇÊÐÔ´½âÎö[1-3]½á¹ûÏÔʾ£¬PM10¡¢PM2.5ÖУ¬Ñï³¾ÊÇÖ÷ÒªµÄÎÛȾԴ£¬ÊÇ´óÆøÎÛȾ¿ØÖƵÄÖØµã¡£·À·çÒÖ³¾ÍøÀûÓÃ¿ÕÆø¶¯Á¦Ñ§ÔÀí£¬¸Ä±äÍøºó΢»·¾³[4]£¬´ïµ½½µµÍ·çËٺͼõСÑï³¾µÄÄ¿µÄ£¬ÊÇÒ»ÖÖÓÐЧÒÖÖÆ¿ª·ÅÐÔ¶Ìì¶Ñ³¡É¢³¾µÄ´ëÊ©£¬ÒÑÔÚһЩ´óÐͶѳ¡µÃµ½Á˳ɹ¦Ó¦ÓÃ[5-7]¡£
¡¡¡¡¹úÄÚÍâ¶Ô·À·çÒÖ³¾ÍøµÄÑо¿È¡µÃÁ˺ÜÓÐʵÓüÛÖµµÄ³É¹û¡£LeeµÈ[8£¬9]Ä£ÄâÁËÒÖ³¾Íøºó¶þάÁ϶ѱíÃæµÄѹÁ¦±ä»¯£¬µÃµ½¿×϶ÂÊΪ40% ¡«50%ʱѹÁ¦Ë¥¼õ×î´ó£¬²¢ÓÃÁ£×Ó¸ú×Ù²âËÙ¼¼ÊõÏÔʾÁËÍøºóÈýάÁ϶ѱíÃæ¿ÕÆøËÙ¶È¡¢ÍÄÁ÷Ç¿¶ÈºÍÍ͝ÄܵÄË¥¼õ;Pack-wood[10]½«·À·çÒÖ³¾ÍøÊýֵģÄâ½á¹ûÓë·ç¶´ÊÔÑé¶Ô±È£¬µÃ³öÁ˽ϺõÄÒ»ÖÂÐÔ;DongZhibaoµÈ[11]½«À´Á÷·ç·ÖÎªÉøÁ÷ºÍÈÆÁ÷£¬²¢¾ÝËÙ¶ÈÌݶȽ«Íøºó»®·ÖΪ7¸öÌØÐÔÇøÓò£¬²¢Ñо¿ÁË¿×϶ÂʶÔÇøÓòÁ÷³¡ºÍÇøÓòÊýµÄÓ°Ïì;À¡µÈ[12]Ñо¿ÁËÒÖ³¾Íø²»Í¬¿ª¿×ÐÎʽ¶ÔÁ÷³¡µÄÓ°Ï죬µÃ³öÔ²Ðοª¿×·À·çÍøµÄµ²·çЧ¹û×î¼Ñ;Áõ½¨÷ëµÈ[13]£¬Ì½¾¿ÁË×éºÏ·çÕ϶Դó³ß¶È²É¿óÇøÑï³¾À©É¢µÄ·À·çÊÕ³¾Ð§¹û¡£
¡¡¡¡Ä¿Ç°¶ÔÓÚ·À·çÒÖ³¾ÍøµÄÑо¿£¬¶àµ¥´¿¼¯ÖÐÓÚÒÖ³¾Íø¹ÂÁ¢×÷ÓÃÏÂÍøÇ°Íøºó¿ÕÆøÔ˶¯²ÎÊýµÄ±ä»¯ÌØÐԵȣ¬ÖÁÓÚÁ϶ѶÛÌåñîºÏÍøºóÍÄÁ÷³¡µ¼ÖÂÍøºó¿ÕÆøÁ÷³¡±ä»¯£¬ÓÈÆäÊǶÔÓ°ÏìÁÏ¶ÑÆð³¾µÄ±íÃæ·çËÙÀªÏß·Ö²¼µÄÓ°ÏìÏʼû±¨µÀ¡£¸ÃÑо¿Í¨¹ýCFD(computation-alfluiddynamics)ÊýֵģÄ⣬¶Ô±È²»Í¬¿×϶ÂÊ(0£¬0.2£¬0.3£¬0.4£¬0.6£¬1.0)Ï£¬Á϶Ñǰºó²»Í¬¶ÏÃæ´¦µÄ·çËÙÀªÏߣ¬17m(¶Ñ¸ß)£¬22m(Íø¸ß)£¬30m£¬40m£¬60mºÍ80m¸ß¶ÈѹÁ¦ÏµÊý£¬·ÖÎöÁ϶ÑÖÜΧµÄ¿ÕÆø¶¯Á¦½á¹¹£¬´Ó¶øÎªÒÖ³¾ÍøµÄÓÅ»¯Éè¼ÆÌṩÊý¾ÝÖ§³Ö¡£
¡¡¡¡1¡¡ÊýֵģÄâ
¡¡¡¡1.1¡¡ÎïÀíÄ£ÐÍ
¡¡¡¡Á϶ÑÊÇÒÔÒ»¸öµäÐÍÈýάÀą̂ΪģÐͽøÐÐÊýֵģÄâ¡£Àą̂²ÎÊý[14]ÉèÖÃΪ£ºÏ±íÃæ³¤154m£¬¿í51m;Àą̂¸ß17m£¬ÉϱíÃæ³¤113m£¬¿í10m¡£ÒÖ³¾Íø¾àÁ϶ѾàÀëΪ1±¶¶Ñ¸ß£¬Íø³¤µÈÓڶѳ¤¡£Ïà¹ØÑо¿[15£¬16]±íÃ÷£¬×î¼ÑÍø¸ßÔÚ1¡«1.5±¶µÄ¶Ñ¸ß·¶Î§ÄÚ£¬¹ÊÍø¸ßÈ¡22m(1.3±¶¶Ñ¸ß)¡£¼ÆËãÇøÓòµÄÑ¡Ôñ¶ÔÊýֵģÄâµÄ½á¹û¼°¾«¶ÈÖÁ¹ØÖØÒª£¬Ö±½ÓÓ°Ïì½á¹û¿É¿¿ÐÔ¡£¼ÆËãÇøÓò¹ý´ó»áÍø¸ñÊý¶à£¬Ôö¼Ó²»±ØÒªµÄ¼ÆËãʱ¼ä;¼ÆËãÇøÓò¹ýС£¬±ß½çÓ°Ïì¼ÆËã½á¹ûµÄ׼ȷÐÔ¡£Õë¶Ô¼ÆËãÓòÎÊÌ⣬¿ÎÌâ×éǰÆÚ×öÁËÏà¹ØÑо¿[17]µÃ³ö£¬µ±¼ÆËãÇøÓò³¤È¡14±¶¶Ñ¿í£¬¿í¶ÈÈ¡2±¶¶Ñ³¤£¬¸ß¶ÈÈ¡7±¶µÄ¶Ñ¸ß£¬¶Ñǰ6±¶¶Ñ¿íʱÁ϶ѱíÃæ¼ôÇÐÁ¦ÕâÒ»ºê¹ÛÁ¿²»Ôٱ仯¡£ËùÒÔ¼ÆËãÇøÓòȡΪ714m¡Á119m¡Á308mµÄ³¤·½Ìå¡£x·½ÏòÑØ¶Ñ¿í·½Ïò£¬y·½ÏòÑØ¶Ñ¸ß·½Ïò£¬z·½ÏòÑØ¶Ñ³¤·½Ïò£¬À´Á÷·½ÏòÑØxÕý·½Ïò£¬Èçͼ1Ëùʾ¡£
¡¡¡¡1.2¡¡ÊýѧģÐÍ
¡¡¡¡ÎïÀíÄ£ÐÍÑ¡¶¨ºó¸ù¾Ý»·¾³´óÆøÍÄÁ÷¼ÙÉ轨Á¢ÊýѧģÐÍ¡£Á϶ÑÖÜΧµÄ¿ÕÆøÁ÷¿ÉÊÓΪ²»¿ÉѹËõºã¶¨Á÷£¬Á÷¶¯ÊÇÎÈ̬¾øÈȵġ£¿ØÖÆ·½³Ì×é°üÀ¨ÖÊÁ¿Êغ㷽³Ì¡¢¶¯Á¿Êغ㷽³Ì¡¢Í͝ÄÜ·½³ÌºÍºÄÉ¢ÂÊ·½³Ì¡£ÈçÏÂËùʾ¡£
¡¡¡¡ÖÊÁ¿Êغ㷽³Ì£º
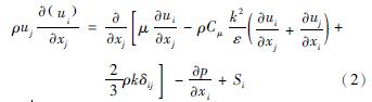
¡¡¡¡¶¯Á¿Êغ㷽³Ì£º
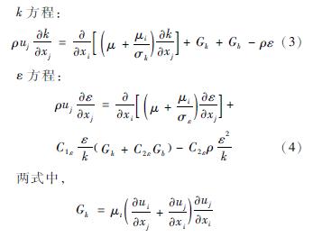
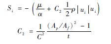
¡¡¡¡Ê½ÖУºSiΪԴÏ¸ÃÖµÔÚ·À·çÒÖ³¾ÍøÇøÓòÄÚÄ£ÄâΪ¶à¿×½éÖʵÄ×÷Óã¬Ô´ÏîÓÉð¤ÐÔËðʧÏîºÍ¹ßÐÔËðʧÏîÁ½²¿·Ö×é³É£º
¡¡¡¡Ê½ÖУº¦ÁΪ¶à¿×½éÖʵÄÉøÍ¸ÏµÊý£¬m¡¤s;C2 Ϊ¹ßÐÔ×èÁ¦Òò×Ó£¬m-1;Ap Ϊ°åµÄ×ÜÃæ»ý£¬m2;AfΪ¿×µÄ×ÜÃæ»ý£¬m2;tΪÒÖ³¾Íøºñ¶È£¬m£¬±¾ÎÄÈ¡0.002m;C½üËÆµÈÓÚ0.98¡£
¡¡¡¡²ÉÓñê×¼k-¦Å·½³Ì[18]À´Ä£ÄâÈýάÁ÷³¡£¬ÆäÖаüÀ¨Í͝ÄÜk·½³ÌºÍºÄÉ¢Âʦŷ½³Ì¡£


¡¡¡¡Ê½ÖУº¦ÑΪ¿ÕÆøÃܶÈ;ui¡¢uj·Ö±ðΪi·½ÏòºÍj·½ÏòËÙ¶È·ÖÁ¿;xi¡¢xj´ú±íx¡¢y·½ÏòµÄ×ø±ê;¦ÌΪ¿ÕÆø¶¯Á¦Õ³ÐÔϵÊý;¦ÄijΪ¿ËÂÞÄڿ˶ûÕÅÁ¿¡£¡£
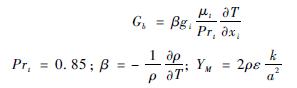
¡¡¡¡¶Ô²»¿ÉѹËõÁ÷Ì壬Gb=0£¬YM =0£¬G3¦Å =0¡£
¡¡¡¡ÎÉÁ÷ϵÊýC1¦Å¡¢C2¦Å¡¢C3¦Å¡¢¦Ò¦Å ºÍ¦ÒkµÄȡֵ½ÏÒ»Ö£¬·Ö±ðΪ1.44¡¢1.92¡¢0.09¡¢1.0ºÍ1.3¡£
ÏêÇéÇëÏÂÔØ£ºÂ¶Ìì¶Ñ³¡·À·çÒÖ³¾ÍøÕÚ±ÎЧ¹ûµÄÊýֵģÄâ














