汞对人体具有较强的危害,汞可通过呼吸道、消化道、皮肤等途径进入人体,可引起人体器官发生病变。我国是以煤炭为主要燃料能源的国家,燃煤过程中造成的汞污染也越来越受到人们的重视。
目前烟气脱汞技术分为燃烧前脱汞技术、燃烧中脱汞技术和燃烧后脱汞技术[1]。燃烧前脱汞是通过选煤、洗煤和煤的热处理等一系列技术手段来达到减少汞排放目的[2,3]。燃烧中脱汞主要是通过改变燃烧条件、转换燃烧方式、喷入固体吸附剂等技术方法来降低烟气中汞的含量[4-6]。当前工业生产中主要的脱汞方式是对燃烧后的烟气进行脱汞处理,包括以活性炭为代表的吸附方法、脱硫除尘装置脱汞处理法、电晕放电离子脱汞法、电催化氧化联合处理脱汞法和SCR选择性催化还原技术等[5-9]。目前主要使用的吸附剂有以活性炭为代表的碳基吸附剂、钙基吸附剂、石焦油、燃煤飞灰和新型的吸附剂[10]。活性炭作为吸附剂对汞的吸附效率较高,Wu等[11]对载硫活性炭进行了脱汞性能研究,发现载硫活性炭具有较好的脱汞性能。虽然活性炭的脱汞效率高,但是其成本较高。为了控制吸附脱汞成本,崔夏等[12]进行了蛭石、丝光沸石、膨润土及经改性后各物质为吸附剂吸附气态汞的研究。
另外,粉煤灰作为燃煤电厂主要固体废弃物,具有来源广,成本低的特点,因此较多学者针对粉煤灰烟气吸附脱汞进行了研究。匡俊艳等[13]在粉煤灰物化性质对单质汞吸附性能的影响的研究中,观察到粉煤灰对汞的吸附率可达到92%,并且发现随着时间的延长,吸附率出现降低,因此提出未燃尽碳含量和粉煤灰粒径是影响粉煤灰对汞的吸附能力的主要影响因素。赵毅等[14]在改性粉煤灰吸收剂对单质汞的脱除研究中发现含有不同添加剂的粉煤灰对汞的脱出效率影响比较大,并且最高吸附率达到43%。这表明改性粉煤灰具有较好的汞脱除能力,并且粉煤灰由于其来源广,成本低廉,使得其具有工业应用的成本优势。
笔者实验室前期工作[15]分别研究了用NaBr,NaCl溶液对粉煤灰基烟气脱汞吸附剂进行浸渍改性,并得知在实验室条件下吸附剂对汞的氧化率可达79.43%。为了进一步论证卤素元素改性粉煤灰的脱汞特性以及研究其在工业应用上的脱汞效率等,笔者设计了2000m3/h的改性粉煤灰的中试实验,通过数值模拟的方法研究不同条件下的脱汞效率,并进行了中试实验研究。
1 实验原料及方法
1.1 实验原料
实验所采用粉煤灰来自于重庆双槐电厂,粉煤灰的主要化学组成为SiO2,Al2O3,Fe2O3 和CaO,其含量分别为46.74%、25.01%、8.46% 和5.58%。另外,粉煤灰中含有少量Mg、K、Na及S元素。粉煤灰的烧失量为10.37%。
粉煤灰基吸附剂原料配比为12%粘土,2%聚乙烯、3%稻壳,15%石灰,粉煤灰余量。通过圆盘造球机造球,晾干后在1100℃焙烧4h。脱汞吸附剂采用5%的卤盐溶液室温条件下浸渍改性3h后通风晾干的粉煤灰基吸附剂[15],粉煤灰基吸附剂的粒径为10.0~40.0mm,堆积密度为623.2kg/m3,自由水含量为4.0%,抗压强度为14.3MPa。吸附剂耐磨强度按照GB/T20451-2006介绍方法测定,结果为87.9%。其比表面积通过Micromeritics公司生产的ASAP2000吸附仪测定,结果表明,其比表面积为242.8m2/g。
中试实验过程中采用的煤中汞含量为184.11μg/kg,属于高汞煤种。煤中硫含量为2.57%。
1.2 烟气吸附脱汞数值模拟
通过对吸附剂脱汞过程进行模拟研究,讨论烟气流量、吸附剂料层厚度以及吸附剂粒径大小对吸附剂脱汞效率的影响。模拟的结果将指导中试实验参数设定。
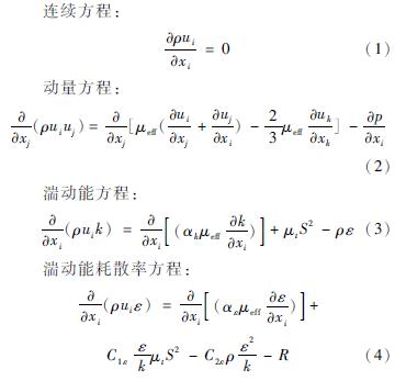
脱汞反应器内为多组分、包含物理化学吸附过程的三维湍流流动过程。湍流流动采用RNGk-ε双方程湍流模型进行处理。在三维笛卡尔坐标系中,以张量形式表示的湍流对流换热控制微分方程如下:
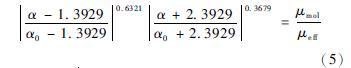
有效粘度μeff可由
公式(5)中α0 在计算αT,αk 和αε 时分别取1/Pr,1.0和1.0。式(3)和式(4)中S为平均应变率张量的模,定义式为
式中:Ri是化学反应的净产生速率,Si为离散相及定义的源项导致的额外产生速率。在脱汞反应器内,烟气是质量分数最大的物质。为简化,本实验中假定烟气中所有的汞都以单质汞的气态形态存在。烟气中的气态汞在吸附剂填料层内的吸附过程以多孔介质内表面反应模型进行模拟。其实际模拟过程中汞的吸附量在公式(6)中以源项Ri进行计算。
化学物质i的化学反应净源项通过有其参加的Nr个化学反应的Arrhenius反应源的和计算得到:
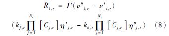
式中:Mw,i是第i种物质的分子量,^Ri,r为第i种物质在第r个反应中的产生/分解速率。反应中物质i的产生/分解摩尔速度以如下公式给出:
式中:Nr为反应r的化学物质数目;Cj,r为反应r中每种反应物或生成物j的摩尔浓度;η′j,r为反应r中每种反应物或生成物j的正向反应速度指数;η″j,r为反应r中每种反应物或生成物j的逆向反应速度指数;Γ表示第三体对反应速率的净影响。这一项由下式给出:
反应r的前向速率常数kf,r通过Arrhenius公式计算:
式中:Ar为指数前因子(恒定单位);βr为温度指数(无量纲);Er为反应活化能(J/kmol);R为气体常数(J/(kmol·K))。
对于脱汞反应器的不同吸附反应性能,通过温度指数βr来进行调节。其具体数值通过实验确定。。
在Fluent软件中,需要给定吸附剂颗粒填料层的比表面积,即单位体积多孔材料内吸附剂的表面积。对于填料层内规则圆形颗粒,规则排列时,其比表面积按下式计算:
详情请下载:改性粉煤灰基吸附剂烟气脱汞














