¼×ÝÁ·ÓÒ²³ÆÎª1-ÝÁ·Ó»ò¦Á-ÝÁ·Ó£¬ËüÊÇÒ»ÖÖÖØÒªµÄºÏ³ÉÔÁϺÍÖмäÌ壬¹ã·ºÓ¦ÓÃÓÚȾÁϺÍÒ½Ò©ÐÐÒµ£¬ÊÀ½çÿÄêµÄ²úÁ¿Îª15 000 t¡£¼×ÝÁ·Ó·Ïˮɫ¶ÈÉî¡¢³É·Ö¸´ÔÓ£¬¶ÔÈËÌ彡¿µºÍ»·¾³Î£º¦´ó£¬ÓÐЧ´¦Àí¼×ÝÁ·Ó·ÏË®Êǵ±Ç°Ñо¿Õß¹Ø×¢µÄÈȵ㡣
¹èÔåÍÁÊÇÒ»ÖÖ³Á»ýÑÒ£¬³Á»ýÑÒÊÇÓɱ»³ÆÎªµ¥Ï¸°ûµË®Ö²ÎïµÄ¹èÔå¹Ç÷À¾¹ý³¤¾ÃµÄÑݱäµÃµ½µÄ¡£¹èÔåÍÁµÄ¿ÅÁ£½Ïϸ£¬ÊÇÒ»ÖÖÇáÖÊÎïÖÊ¡£¹èÔåÍÁ¾ßÓкܶà¶ÀÌØµÄÎïÀíºÍ»¯Ñ§ÌØÐÔ£¬ÈçÇ¿¿¹ËáÐÔ£¬¸ß¶È·¢´ïµÄ½é¿×½á¹¹£¬¸ß»úеǿ¶È£¬¾ßÓжèÐÔ£¬½ÏºÃµÄ¾øÈÈÐÔ£¬¸ß¿×϶Âʺ͵͵ÄÈÈ´«µ¼ÐÔ¡£ÕâÐ©ÌØÐÔʹµÃ¹èÔåÍÁ¹ã·ºÓ¦ÓÃÓÚÎü¸½ÖؽðÊô¡¢À¬»øÉøÂËÒº¡¢È¾ÁÏ·ÏË®ºÍ½¹»¯·ÏË®µÈÁìÓò¡£
RSM ÒÔͳ¼ÆÑ§Îª»ù´¡£¬ÓÃÓÚÉè¼ÆÊµÑ飬ÆÀ¹Àµ¥¸ö±äÁ¿ÒÔ¼°µ¥¸ö±äÁ¿Ö®¼äµÄÏ໥×÷Ó㬿ÉÔÚÓÐÏÞµÄʵÑé´ÎÊýÏ£¬Í¨¹ý·ÖÎö»Ø¹é·½³ÌÓÅ»¯ÊµÑé²Ù×÷µÄ²ÎÊý¡£
RSM ÒÑÔÚÖÆ½¬·ÏË®´¦Àí¡¢ÎïÖÊÌáÈ¡¡¢ÒûÓÃË®¾»»¯¡¢Ð²ÄÁϺϳÉ[17]ºÍµÈÁìÓòµÃµ½¹ã·ºµÄÓ¦Ó᣸ÃÊÔÑé²ÉÓÃRSM ·½·¨ÓÅ»¯¹¤ÒÕÌõ¼þ£¬ÒòΪRSM ¿ÉÒÔÔÚ½ÏÉÙµÄÊÔÑé´ÎÊýºÍ½Ï¶ÌµÄʱ¼ä¶ÔÊÔÑé²ÎÊý½øÐÐÑо¿£¬Í¬Ê±¿ÉÒÔ´ÓͼÐη½Ãæ·ÖÎöѰÇó×îÓÅÖµ£¬µÃµ½×î¼ÑµÄ¹¤ÒÕ²Ù×÷Ìõ¼þ¡£ÒÔÆÚΪ¹èÔåÍÁ´¦Àí¼×ÝÁ·Ó·ÏË®ÌṩÓÐЧµÄ¼¼Êõ²Î¿¼ºÍÖ§³Ö¡£
1 ²ÄÁϺͷ½·¨
1.1 ÊÔÑéÊÔ¼Á¡¢ÒÇÆ÷ºÍË®ÖÊ
¹èÔåÍÁÑ¡×ÔÒËÐËÊоýÁª¹«Ë¾£¬ÆäÖ÷ÒªÐÔÄܲÎÊý£ºÃܶÈ2.0 g/cm3£¬¶ÑÃܶÈ0.65 g/cm3£¬±È±íÃæ»ý55 m2/g£¬ÈÛµã1 650 ¡æ¡£K2Cr2O7£¨¹úÒ©¼¯ÍÅ»¯Ñ§ÊÔ¼ÁÓÐÏÞ¹«Ë¾£©¡¢£¨NH4£©2Fe£¨SO4£©2¡¤6H2O£¨¹úÒ©¼¯ÍÅ»¯Ñ§ÊÔ¼ÁÓÐÏÞ¹«Ë¾£©¡¢NaOH£¨¹úÒ©¼¯ÍÅ»¯Ñ§ÊÔ¼ÁÓÐÏÞ¹«Ë¾£©ºÍH2SO4£¨¹úÒ©¼¯ÍÅ»¯Ñ§ÊÔ¼ÁÓÐÏÞ¹«Ë¾£©¡£ËùÓÃÊÔ¼Á¾ùΪ·ÖÎö´¿¡£
6B-2000 ÐÍË®Öʶà²ÎÊýËÙ²âÒÇ£¨½ËÕÊ¢°Â»ª»·±£¿Æ¼¼ÓÐÏÞ¹«Ë¾£©¡¢PHB-9901 ÐÍpH Ëá¶È¼Æ£¨ÉϺ£¹âµçÆ÷¼þ×ܳ§£©¡£·Ïˮȡ×Ô³£ÖÝÊÐij»¯¹¤³§£¬¸ÃË®ÑùµÄË®ÖÊÖ¸±êΪ£ºCOD 1 052 mg/L£¬pH 4.05£¬TN 120.2 mg/L¡£
1.2 ÊÔÑé·½·¨
²ÉÓÃ1.00 mol/L NaOH ºÍ1.00 mol/L H2SO4 µ÷½ÚpH£¬Í¶¼Ó¹èÔåÍÁÎü¸½¼×ÝÁ·Ó·ÏË®£¬ºãÎÂÕñµ´4 h ºó£¬¾²ÖÃÈ¡ÆäÉÏÇåÒº£¬²ÉÓÃÖØ¸õËá¼Ø·¨¼ì²âCOD£¬¼ÆËãCODµÄÈ¥³ýÂÊ¡£TN ²ÉÓùýÁòËá¼ØÑõ»¯-×ÏÍâ·Ö¹â¹â¶È·¨²â¶¨£¬pH ²ÉÓÃPHB-9901 ÐÍpH Ëá¶È¼Æ²â¶¨¡£ÀûÓÃRSM½øÐÐÊÔÑéµÄÉè¼Æ¡¢²ÎÊýÓÅ»¯ºÍ½á¹ûÔ¤²â¡£
1.3 ÊÔÑéÉè¼Æ
ÊÔÑéѡȡ¹èÔåÍÁÓÃÁ¿¡¢pH ºÍζÈΪÊÔÑéÒòËØ£¬ÒÔCOD È¥³ýÂÊΪÏìÓ¦Öµ£¬°´ÕÕCCD ·¨Éè¼ÆÁËÒ»¸öÈýÒòËØÎåˮƽµÄÊÔÑé·½°¸¡£¸÷ÒòËØË®Æ½ºÍ±àÂë¼û±í1¡£
¹èÔåÍÁÓÃÁ¿¡¢pH ºÍζÈ×÷Ϊ×Ô±äÁ¿£¬ÒÔ¼×ÝÁ·Ó·ÏË®µÄCOD È¥³ýÂÊ£¨y£©ÎªÏìÓ¦Öµ£¬ÓöàÏîʽ»Ø¹é·ÖÎö¶ÔʵÑéÊý¾Ý½øÐÐÄâºÏ£¬¿ÉÒԵõ½¶þ´Î¶àÏîʽģÐÍ£¬ÆäÄ£ÐÍÈçÏÂËùʾ[18]£º
ʽ£¨1£©ÖУºy ΪÏìÓ¦Öµ£»xi¡¢xj ΪʵÑéÒòËØ£»¦Â0 Ϊ³£ÏµÊý£»¦Âi ΪÏßÐÔϵÊý£»¦Âii Ϊ¶þ´ÎÏîϵÊý£»¦Âij Ϊ½»»¥ÏîϵÊý£»¦ÅÎªËæ»úÎó²î¡£
¶þÏîʽģÐÍÄâºÏÖÊÁ¿µÄÓÅÁÓÊÇÓɾö¶¨ÏµÊý£¨R2£©Ëù¾ö¶¨µÄ£¬Ê¹ÓöþÏîʽģÐͺͷ½²î·ÖÎö£¨ANOVA£©¶ÔÊý¾Ý½øÐÐÄâºÏºÍ·ÖÎö£¬ÒÔ»ñµÃ×Ô±äÁ¿ºÍÏìÓ¦±äÁ¿Ö®¼äµÄ¹ØÏµÊ½¡£
2 ½á¹ûºÍÌÖÂÛ
2.1 »Ø¹é·½³ÌºÍÊý¾Ý·ÖÎö
Ò»¹²½øÐÐ20 ´ÎÊÔÑ飬ÿ´ÎÊÔÑé°´ÕÕÉè¼Æ·½°¸½øÐУ¬È»ºó²â¶¨COD£¬×îºó¼ÆËãµÃµ½COD È¥³ýÂÊ£¬ÊÔÑéÉè¼Æ·½°¸ºÍ½á¹û¼û±í2¡£
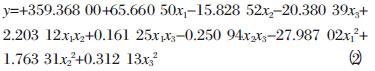
ʵÑéÐòºÅ6¡¢7¡¢8¡¢11¡¢13 ºÍ19 µÄʵÑéÒòËØµÄÌõ¼þ¶¼ÊÇÏàͬµÄ£¬Ö÷ÒªÊÇΪÑé֤ʵÑéµÄPure error£¨´¿Îó²î£©[19]£¬ÀûÓÃDesign Expert Èí¼þ¶Ô±í2 µÄʵÑéÊý¾Ý½øÐжàÔª»Ø¹éÄâºÏ£¬×îºóµÃµ½Îü¸½¼ÁÓÃÁ¿¡¢pH ºÍζÈÓë¼×ÝÁ·Ó·ÏË®COD µÄÈ¥³ýÂÊÖ®¼äµÄ¶þ´Î¶àÏîʽ»Ø¹é·½³Ì£¬Æä±í´ïʽÈçÏÂËùʾ£º
ʽ£¨2£©ÖУºy Ϊ¹èÔåÍÁÎü¸½½µ½â¼×ÝÁ·Ó·ÏË®4 h ºóCOD µÄÈ¥³ýÂÊ£»x1¡¢x2¡¢x3 ·Ö±ðΪ¹èÔåÍÁÓÃÁ¿¡¢pH¡¢Î¶ȡ£RSM µÄ·½²î·ÖÎö½á¹û¼û±í3¡£
±í3 ¸ø³öÁ˶ÔÉÏÊö»Ø¹é·½³Ì½øÐеķ½²î·ÖÎö½á¹û¡£Ä£Ð͵Äͳ¼ÆÏÔÖøÐÔÊÇÓÉF-value È·¶¨£¬F-value Ô½´ó£¬Ôò±íÃ÷Ä£ÐÍÊÇÏÔÖøµÄ¡££¨Prob>F£©Ð¡ÓÚ0.050 0£¬±íÃ÷Ä£ÐÍÒòËØÏî¾ßÓÐÏÔÖøÐÔ[20]£¬£¨Prob>F£©´óÓÚ0.100 0£¬ÈÏΪģÐÍÒòËØÏîÊÇ·ÇÏÔÖøÐԵġ£Óɱí3 ¿ÉÖª£¬¶þ´Î¶àÏîʽģÐ͵ÄF-value Ϊ11.19 Ô¶´óÓÚ1£¬£¨Prob>F£©Ð¡ÓÚ0.050 0£¬ËµÃ÷»Ø¹éÊÇÏÔÖøµÄ¡£R2 Ϊ0.909 7£¬ËµÃ÷¸Ã»Ø¹é·½³ÌÄܽϺõØÄ£ÄâÕæÊµµÄÇúÃæ¡£
ͼ1 Ϊ¼×ÝÁ·Ó·ÏË®COD È¥³ýÂʵÄʵ¼ÊÖµÓëÔ¤²âÖµµÄ¹ØÏµÍ¼£¬ÓÉͼ1 ¿ÉÖª£¬Õâ20 ¸öµã£¬»ù±¾·Ö²¼ÔÚÖ±ÏßÉÏ£¬¼×ÝÁ·Ó·ÏË®COD È¥³ýÂʵÄʵ¼ÊÖµºÍÔ¤²âÖµµÄƤ¶ûÑ·Ïà¹ØÏµÊý£¨pearson correlation coefficient£©Îª0.954£¬½øÒ»²½Ö¤Ã÷ÁËÔ¤²âÖµÓëʵ¼ÊÖµÄܽϺõķûºÏ¡£
ÓÉÒÔÉϵķÖÎö½á¹û¿ÉÖª£¬Ä£ÄâµÄ¶þ´ÎÄ£Ð;ßÓÐÏÔÖøÐÔ¡£
2.2 ÏìÓ¦Ãæ·ÖÎö
ΪÁ˸üºÃµØ¿¼²ì¹èÔåÍÁÓÃÁ¿¡¢pH ¼°Î¶ÈÈýÒòËØ¼°ÆäÏ໥×÷ÓöԴ¦Àí¼×ÝÁ·Ó·ÏË®µÄÓ°Ï죬»æÖÆÁËÈýάÇúÃæÍ¼¡£½á¹û¼ûͼ2¡¢Í¼3 ºÍͼ4 Ëùʾ¡£
ÓÉͼ2 ¿ÉÖª£¬Ëæ×ŹèÔåÍÁÓÃÁ¿µÄÔö¼Ó£¬COD È¥³ýÂÊÏÈÔö¼Óºó½µµÍ¡£µ±¹èÔåÍÁÓÃÁ¿Îª1.5 gʱ£¬È¥³ýЧ¹û×îºÃ£¬ÔÙ¼ÌÐøÔö¼Ó¹èÔåÍÁÓÃÁ¿Ê±£¬È¥³ýÂÊÂÔÓÐϽµ¡£ÕâÊÇÒòÎªËæ×ŹèÔåÍÁÓÃÁ¿µÄÔö¼Ó£¬Îü¸½¼Á»áÌṩ¸ü¶àµÄÎü¸½µã£¬Òò¶øCOD È¥³ýÂÊÉý¸ß£¬µ«ÊÇËæ×ŹèÔåÍÁÓÃÁ¿µÄ¼ÌÐøÔö¼Ó£¬¹èÔåÍÁÎü¸½¸ººÉ¼õÉÙ£¬½âÎü¸½Á¦±ä´ó£¬Ôì³Éµ¥Î»ÖÊÁ¿µÄ¹èÔåÍÁÎü¸½ÓлúÎï¼õÉÙ£¬COD È¥³ýÂÊ·´¶ø½µµÍ¡£
ÓÉͼ3 ¿ÉÖª£¬Ëæ×ÅζȵÄÉý¸ß£¬COD µÄÈ¥³ýÂÊÔÚ½µµÍ£»¶øµ±Î¶ȼÌÐøÔö¼Óʱ£¬Ç÷ÊÆ³öÏÖÁËÄæ×ª£¬COD ·´¶ø¿ªÊ¼ÉÏÉý¡£ÆäÖУ¬È¥³ýÂÊÔÚ35 ¡æÊ±´ïµ½×îµÍ¡£ÕâÊÇÓÉÓÚÔÚζȽϵÍʱ£¬Îü¸½·´Ó¦ÒÔ·ÅÈÈ·´Ó¦ÎªÖ÷£¬Òò¶øËæ×ÅζÈÉý¸ß£¬È¥³ýЧ¹ûÔÚ½µµÍ£»¶øÔÚζȽϸßʱ£¬Îü¸½·´Ó¦ÒÔÎüÈÈ·´Ó¦ÎªÖ÷£¬Òò¶øËæ×ÅζÈÉý¸ß£¬È¥³ýЧ¹û±äºÃ£»ÆäÖÐ35 ¡æ¼´ÎªÒ»¸öתÕ۵㡣
ÓÉ4 ͼ¿ÉÖª£¬Ëæ×ÅpH µÄÔö¼Ó£¬COD È¥³ýÂÊÏÈÊǽµµÍ£»È»¶øµ±pH ¼ÌÐøÔö¼Óʱ£¬Çé¿ö·¢ÉúÁËתÕÛ£¬CODÈ¥³ýÂÊ·´¶ø¿ªÊ¼Ôö¼Ó£¬ÇÒбÂÊÖð½¥Ôö´ó£¬È¥³ýЧ¹ûÔ½À´Ô½ºÃ¡£ÆäÖУ¬µ±pH Ϊ6 ʱ£¬È¥³ýÂÊ´ïµ½×îµÍ¡£ÕâÊÇÓÉÓÚÔÚpH ½ÏµÍʱ£¬¹èÔåÍÁ±íÃæÖÊ×Ó»¯ÑÏÖØ£¬³ÊÕýµçÐÔ£¬Ò×ÓÚÎü¸½·ÏË®ÖеĸºÀë×Ó£¬¶øËæ×ÅpH Éý¸ß£¬ÖÊ×Ó»¯³Ì¶È±äµÍ£¬Îü¸½Ð§¹û½µµÍ¡£
2.3 Ä£ÐÍÓÅ»¯
ÀûÓÃDesign Expert Èí¼þ½øÐÐÓÅ»¯£¬µÃµ½×î¼ÑÌõ¼þ£º¹èÔåÍÁÁ¿Îª0.5 g£¬pH Ϊ1£¬Î¶ÈΪ45 ¡æ¡£ºãÎÂÕñµ´Ê±¼äΪ4 h ʱ£¬COD È¥³ýÂÊ×î´ó£¬Êµ²âֵΪ78.2%£¬Ô¤²âֵΪ79.5%¡£ÓÉ´Ë¿ÉÖªÔ¤²âÖµºÍʵ¼ÊÖµ½ÏΪ½Ó½ü£¬Õâ˵Ã÷»Ø¹éµÃµ½µÄ¶þ´Î¶àÏîʽģÐÍÄܹ»ÓÐЧԤ²âCODÈ¥³ýÂÊ¡£¡£
3 ½áÂÛ
£¨1£©ÀûÓÃDesign Expert Èí¼þ½¨Á¢µÄÏìÓ¦ÃæÊýѧģÐÍ£¬Æä£¨Prob>F£©<0.000 1£¬R2=0.909 7£¬±íÃ÷Ä£ÐÍÊÇÏÔÖøµÄ£¬»Ø¹é·½³ÌÄܽϺõØÄ£ÄâÕæÊµµÄÇúÃæ¡££¨2£©²ÉÓÃÏìÓ¦Ãæ·½·¨£¨RSM£©ÓÅ»¯¹èÔåÍÁÎü¸½´¦Àí¼×ÝÁ·Ó·ÏË®µÄʵÑ飬×î¼Ñ¹¤ÒÕÌõ¼þΪ£º¹èÔåÍÁÓÃÁ¿Îª0.5 g£¬pH Ϊ1£¬Î¶ÈΪ45 ¡æ¡£ºãÎÂÕñµ´4 h£¬·ÏË®µÄCOD Ũ¶ÈÓÉÔʼ1 052 mg/L ½µµÍÖÁ229 mg/L£¬¹èÔåÍÁ¶ÔCOD ±¥ºÍÎü¸½Á¿×î´ó´ïµ½ÁË91.6 mg/g¡£È¥³ýÂÊ´ïµ½78.2%£¬ÓëÔ¤²âÖµ79.5%½Ó½ü£¬±íÃ÷»Ø¹éµÃµ½µÄ¶þ´Î¶àÏîʽģÐÍÄܹ»ÓÐЧԤ²âCOD È¥³ýÂÊ¡£














