壳聚糖(chitosan)是甲壳素(chitin)脱除乙酰基后的产物,又称脱乙酰甲壳素。甲壳素广泛存在于虾、蟹、昆虫的甲壳,以及真菌和植物的细胞壁中,在自然界存在的有机物中位居第三。
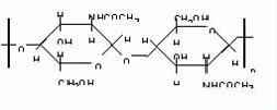
壳聚糖呈白色或灰白色,略带珍珠光泽,是一种半透明的片状固体,其分子量从数十万到数百万,它不溶于水、碱溶液和普通有机溶剂,可溶于稀盐酸、硝酸等无机酸,以及大多数有机酸,不溶于稀硫酸和稀磷酸。图1为甲壳素和壳聚糖的化学结构式,甲壳素分子链上存在-NHCOCH3,在OH-作用下可脱去-COCH3,成为壳聚糖,实际上,甲壳素的脱乙酰度超过70%时就为壳聚糖。从图1看出,壳聚糖分子结构链上具有游离的氨基,在氨基的氮原子上存在一对未结合电子,此氨基在水溶液中呈现弱碱性,能从溶液中结合一个氢质子,从而使壳聚糖成为带正电荷的聚电解质,因此壳聚糖属阳离子聚合物.


图1甲壳素和壳聚糖的化学结构式
二.应用形式
壳聚糖的分子结构形式决定它具有很好的吸附性、成膜性、成纤性。
1.分离膜
分离膜是指在以外界能量或化学位差位为推动力下,对双组分或多组分溶液具有分离作用的膜。壳聚糖是一种与纤维素结构类似的天然高分子材料,具有较好的物理机械性能,可以用来制备在饮水净化中常用的分离膜,如反渗透膜、超滤膜和微孔滤膜等。
反渗透膜膜材料大多选用含氧、氮等元素的高分子材料,可以通过氢键与水分子结合,加快水在膜中的迁移速度,提高水的透过率。用壳聚糖制备的反渗透膜,具有优异的透水性能及脱盐性能,对高分子及低分子物质的分离性能优异,而且具有很高的机械强度,尤其是抗张强度。壳聚糖反渗透膜耐酸碱,长期放置时膜的结构及性能变化较小,膜表面不宜滋生繁殖微生物。另外,用壳聚糖及其衍生物制备的超滤膜,其切割分子量为3000左右,可分离大分子和病毒,除胶体。微孔滤膜孔径范围一般为0.1mm~l0mm,通过筛分作用去除水中颗粒、细菌。由壳聚糖为主要材料制备的微孔滤膜,由于壳聚糖分子链上分布着大量的羟基和氨基,在水中容易质子化,使膜带正电荷,通过正负电荷之间的相互作用,可吸附分离比膜孔径小的细菌、病毒及胶体等物质。
2.吸附剂
吸附剂是一类能发生吸附和解吸作用的物质。壳聚糖具有吸附作用,是一种天然吸附剂。把壳聚糖与活性炭和凝固剂混合,可以制成絮状、颗粒状、纤维状、板状等形式的吸附剂。凝固剂有两类,一是阴离子高分子电解质,如羧甲基纤维素、羧甲基淀粉、褐藻酸、聚丙烯酸钾等。二是碱性物质,如氢氧化钠(钾)、碳酸钠(钾)等。除把壳聚糖与其它物质一起制成复合吸附剂外,还可用单一壳聚糖制备。
吸附纤维:壳聚糖是线性高分子物质,具有成纤性,可纺成纤维。壳聚糖纤维的制备方法为,把壳聚糖溶于稀酸中,经过滤、脱气消泡配成纺丝原液,用喷丝嘴将原液挤到凝固浴中凝固,然后经水洗、干燥即可。根据不同的净水需要可以制成多种规格壳聚糖纤维。
吸附纸:为了克服粉末吸附剂容易堵塞或泄露的缺点,将壳聚糖、吸附剂及纤维配制成混合悬浮液,通过调节固形物含量,使吸附剂固着在纤维上,形成浆状物,然后进行湿法抄纸,经脱水干燥制成吸附纸。
吸附颗粒:常见的吸附颗粒有壳聚糖-纤维素吸附颗粒、壳聚糖-活性炭-纤维素吸附颗粒。此类吸附剂吸附能力强,过滤效果好,使用寿命长,成本低。另外,可把壳聚糖制成微球,或把壳聚糖直接粉碎,制成颗粒吸附剂。
3.絮凝剂
壳聚糖分子链上氨基的质子化,使壳聚糖分子带正电荷,而使其成为可溶性的聚电解质,具有阳离子型絮凝剂的作用。壳聚糖絮凝剂可同时发挥电中和及黏结架桥絮凝的双重作用,即高分子链上的阳离子活性基团与带负电荷的胶体微粒相互吸引,降低及中和了胶体微粒的表面电荷,同时压缩了胶体微粒的扩散层而使胶体微粒凝聚脱稳,并借助于高分子链的黏结架桥作用而产生絮凝沉降。壳聚糖的絮凝效果与其脱已酰度及其分子量大小有关,实验证明,脱已酰度高,分子量大,絮凝效果就好。壳聚糖的絮凝机理与一般絮凝剂的絮凝机理有所不同,目前还在深入研究之中。
三.净水作用
1.除细菌、病毒
饮水卫生标准中,细菌总数有严格限定,水中微生物超标对人体健康有严重影响。用壳聚糖制备的反渗透膜及超滤膜通过截留作用可以除去水中细菌、病毒,本文主要介绍用壳聚糖制备的荷正电微孔滤膜除细菌、病毒的性能。
实验结果显示,孔径小于1.2mm的荷正电微孔滤膜能够完全除去水中的大肠杆菌,脱除率为100%。孔径为1.6mm的荷正电微孔滤膜除大肠杆菌的LRV为6.75(原水中大肠杆菌浓度为7.0×106cfu/ml),而相同实验条件下,孔径为1.6mm的普通混合纤维素微孔滤膜的LRV为2.31。这说明较大孔径的壳聚糖荷电微孔滤膜对细菌的去除作用主要是靠吸附作用实现的。
病毒一般小于0.1mm,因此常用的普通微孔滤膜对病毒基本没有分离作用,只有孔径为0.01mm~0.03mm的膜才对噬菌体及较大的病毒有分离作用。在一般条件下病毒带负电荷,这样就可以用较大孔径的正电性微孔滤膜通过静电引力吸附病毒,以达到分离和去除的目的。实验结果表明,荷正电微孔滤膜对水中的病毒具有很好的吸附效果,在一定操作条件下,0.45mm~1.6mm孔径的膜对中大肠杆菌噬菌体f2的去除率达100%。
2.除有机物
水中含有的有机硝基化合物、有机胺基化合及有机卤素化合物等有机物,可能引起癌症、不孕症、神经系统和免疫系统失调等症状,正越来越严重威胁人体健康。
目前,自来水消毒普遍采用氯制剂,水中余氯与水中残余的有机化合物反应,产生已证明是致癌物或潜在致癌物的氯代烃,如三氯甲烷、邻二氯苯、氯代酚等。壳聚糖的氨基有结合水中卤代物的作用,能有效除去水中的三氯甲烷。实验结果表明,壳聚糖纤维能除自来水中的三氯甲烷,其效果比活性炭好。
另外,壳聚糖可吸附苯酚、多氯联苯、农药、表面活性剂等有机物,还可去除蛋白质、核酸、多糖等生物大分子物质。壳聚糖能有效降低水的COD含量,已被美国环保局批准用于饮水净化。
3.除重金属
水体受重金属及其它有毒无机物的污染,会引起各种中毒和疾病。从壳聚糖分子结构中可看出,C2上的氨基和C3上的羟基,容易形成季铵盐,可通过离子交换、吸附和螯合等作用结合金属离子。壳聚糖对重金属离子的螯合作用与pH值、金属离子的离子半径等因素有关,因此,壳聚糖对碱金属离子、碱土金属离子和铵离子的吸附和螯合作用很弱,几乎没有作用,而对过渡金属离子有螯合作用,螯合容量按以下顺序递降:
Pd2+>Au3+>Hg2+>Pt4+>Zn2+>Ag+>Ni2+>Cu2+>Cd2+>Co2+>Mn2+>Fe2+>Cr3+。
另外,壳聚糖还能除去水中由某些过渡金属形成的含氧阴离子,如CrO42-、MoO43-等。
总之,由于化肥、杀虫剂的大量使用,工业废气、废水的超标排放,人们日常生活污水的大量增加,以及人类生存环境的破坏,导致水源污染日益加剧,严重影响人体健康。壳聚糖由于其独特的分子结构,可有效去除水中的微生物、有机物及重金属离子,随着对壳聚糖及其衍生物结构及性能研究的不断深入,作为一种新型功能净水材料,必将在饮水净化中起到越来越重要的作用。














